Номер 2.116, страница 117 - гдз по алгебре 9 класс учебник Арефьева, Пирютко

Алгебра, 9 класс Учебник, авторы: Арефьева Ирина Глебовна, Пирютко Ольга Николаевна, издательство Народная асвета, Минск, 2019, голубого цвета

Авторы: Арефьева И. Г., Пирютко О. Н.

Тип: Учебник

Издательство: Народная асвета

Год издания: 2019 - 2025

Цвет обложки: голубой, синий с графиком

ISBN: 978-985-03-3077-2

Допущено Министерством образования Республики Беларусь

Популярные ГДЗ в 9 классе

Глава 2. Функции. Параграф 8. Четные и нечетные функции - номер 2.116, страница 117.

№2.116 (с. 117)
Условие. №2.116 (с. 117)
скриншот условия
Алгебра, 9 класс Учебник, авторы: Арефьева Ирина Глебовна, Пирютко Ольга Николаевна, издательство Народная асвета, Минск, 2019, голубого цвета, страница 117, номер 2.116, Условие

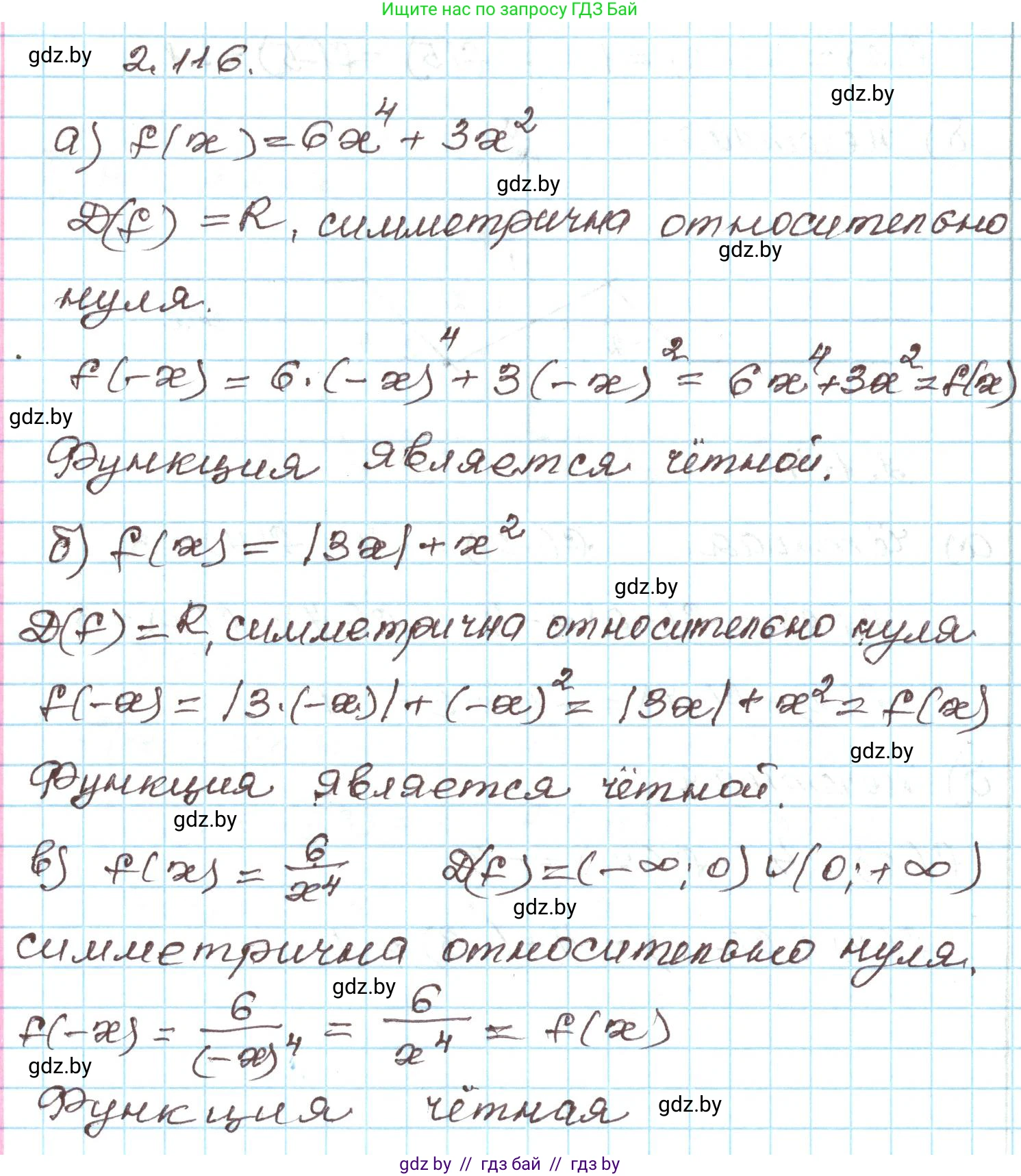
2.116. Используя алгоритм, докажите, что функция является четной:

а) $f(x) = 6x^4 + 3x^2;$

б) $f(x) = |3x| + x^2;$

в) $f(x) = \frac{6}{x^4}.$

Решение. №2.116 (с. 117)
Алгебра, 9 класс Учебник, авторы: Арефьева Ирина Глебовна, Пирютко Ольга Николаевна, издательство Народная асвета, Минск, 2019, голубого цвета, страница 117, номер 2.116, Решение
Решение 2. №2.116 (с. 117)

Для доказательства того, что функция является четной, необходимо использовать следующий алгоритм:

  1. Убедиться, что область определения функции $D(f)$ симметрична относительно начала координат. Это означает, что если $x$ принадлежит области определения, то и $-x$ также принадлежит ей.
  2. Проверить выполнение равенства $f(-x) = f(x)$ для всех $x$ из области определения функции.

Если оба условия выполняются, функция является четной.

а) Рассмотрим функцию $f(x) = 6x^4 + 3x^2$.

1. Область определения данной функции — все действительные числа, $D(f) = (-\infty; +\infty)$, так как это многочлен. Эта область симметрична относительно нуля.

2. Найдем значение функции в точке $-x$:

$f(-x) = 6(-x)^4 + 3(-x)^2$.

Поскольку четная степень отрицательного числа равна четной степени положительного числа, то $(-x)^4 = x^4$ и $(-x)^2 = x^2$.

Следовательно, $f(-x) = 6x^4 + 3x^2 = f(x)$.

Оба условия выполнены, значит, функция является четной.

Ответ: Доказано, что функция $f(x) = 6x^4 + 3x^2$ является четной.

б) Рассмотрим функцию $f(x) = |3x| + x^2$.

1. Область определения данной функции — все действительные числа, $D(f) = (-\infty; +\infty)$, так как и модуль, и квадрат числа определены для любого действительного $x$. Эта область симметрична относительно нуля.

2. Найдем значение функции в точке $-x$:

$f(-x) = |3(-x)| + (-x)^2$.

Используя свойство модуля $|-a| = |a|$ и свойство степени $(-x)^2 = x^2$, получаем:

$f(-x) = |3x| + x^2 = f(x)$.

Оба условия выполнены, значит, функция является четной.

Ответ: Доказано, что функция $f(x) = |3x| + x^2$ является четной.

в) Рассмотрим функцию $f(x) = \frac{6}{x^4}$.

1. Область определения данной функции — все действительные числа, кроме тех, при которых знаменатель равен нулю. Решаем уравнение $x^4 = 0$, получаем $x=0$. Таким образом, область определения $D(f) = (-\infty; 0) \cup (0; +\infty)$. Эта область симметрична относительно нуля (если $x \neq 0$, то и $-x \neq 0$).

2. Найдем значение функции в точке $-x$:

$f(-x) = \frac{6}{(-x)^4}$.

Так как $(-x)^4 = x^4$, получаем:

$f(-x) = \frac{6}{x^4} = f(x)$.

Оба условия выполнены, значит, функция является четной.

Ответ: Доказано, что функция $f(x) = \frac{6}{x^4}$ является четной.

Помогло решение? Оставьте отзыв в комментариях ниже.

Присоединяйтесь к Телеграм-группе @gdz_by_belarus

Присоединиться

Мы подготовили для вас ответ c подробным объяснением домашего задания по алгебре за 9 класс, для упражнения номер 2.116 расположенного на странице 117 к учебнику 2019 года издания для учащихся школ и гимназий.

Теперь на нашем сайте ГДЗ.ТОП вы всегда легко и бесплатно найдёте условие с правильным ответом на вопрос «Как решить ДЗ» и «Как сделать» задание по алгебре к упражнению №2.116 (с. 117), авторов: Арефьева (Ирина Глебовна), Пирютко (Ольга Николаевна), учебного пособия издательства Народная асвета.