Номер 2.19, страница 86 - гдз по алгебре 9 класс учебник Арефьева, Пирютко

Алгебра, 9 класс Учебник, авторы: Арефьева Ирина Глебовна, Пирютко Ольга Николаевна, издательство Народная асвета, Минск, 2019, голубого цвета

Авторы: Арефьева И. Г., Пирютко О. Н.

Тип: Учебник

Издательство: Народная асвета

Год издания: 2019 - 2025

Цвет обложки: голубой, синий с графиком

ISBN: 978-985-03-3077-2

Допущено Министерством образования Республики Беларусь

Популярные ГДЗ в 9 классе

Глава 2. Функции. Параграф 6. Функция числового аргумента. Область определения, множество значений. Способы задания функции - номер 2.19, страница 86.

№2.19 (с. 86)
Условие. №2.19 (с. 86)
скриншот условия
Алгебра, 9 класс Учебник, авторы: Арефьева Ирина Глебовна, Пирютко Ольга Николаевна, издательство Народная асвета, Минск, 2019, голубого цвета, страница 86, номер 2.19, Условие

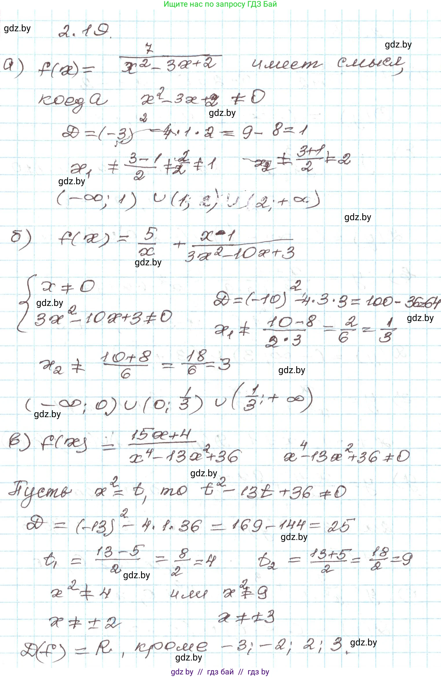
2.19. Определите, при каких значениях переменной выражение, задающее функцию, имеет смысл:

а) $f(x) = \frac{7}{x^2 - 3x + 2}$;

б) $f(x) = \frac{5}{x} + \frac{x - 1}{3x^2 - 10x + 3}$;

в) $f(x) = \frac{15x + 4}{x^4 - 13x^2 + 36}$.

Решение. №2.19 (с. 86)
Алгебра, 9 класс Учебник, авторы: Арефьева Ирина Глебовна, Пирютко Ольга Николаевна, издательство Народная асвета, Минск, 2019, голубого цвета, страница 86, номер 2.19, Решение
Решение 2. №2.19 (с. 86)

а) Выражение, задающее функцию $f(x) = \frac{7}{x^2 - 3x + 2}$, имеет смысл (определено), когда знаменатель дроби не равен нулю. Найдем значения переменной $x$, при которых знаменатель обращается в ноль.

Приравняем знаменатель к нулю и решим полученное уравнение: $x^2 - 3x + 2 = 0$

Это квадратное уравнение. Его корни можно найти, используя теорему Виета. Сумма корней равна 3, а их произведение равно 2. Подбором находим корни: $x_1 = 1$ $x_2 = 2$

Таким образом, знаменатель равен нулю при $x=1$ и $x=2$. Эти значения необходимо исключить из области определения функции.

Ответ: выражение имеет смысл при всех значениях $x$, кроме $x = 1$ и $x = 2$.


б) Выражение $f(x) = \frac{5}{x} + \frac{x-1}{3x^2 - 10x + 3}$ представляет собой сумму двух дробей. Оно имеет смысл, когда знаменатели обеих дробей одновременно не равны нулю.

1. Для первой дроби $\frac{5}{x}$ знаменатель не должен быть равен нулю: $x \neq 0$

2. для второй дроби $\frac{x-1}{3x^2 - 10x + 3}$ знаменатель не должен быть равен нулю: $3x^2 - 10x + 3 \neq 0$

Найдем корни квадратного уравнения $3x^2 - 10x + 3 = 0$ с помощью дискриминанта. $D = b^2 - 4ac = (-10)^2 - 4 \cdot 3 \cdot 3 = 100 - 36 = 64$

Корни уравнения: $x_1 = \frac{-b - \sqrt{D}}{2a} = \frac{10 - \sqrt{64}}{2 \cdot 3} = \frac{10 - 8}{6} = \frac{2}{6} = \frac{1}{3}$ $x_2 = \frac{-b + \sqrt{D}}{2a} = \frac{10 + \sqrt{64}}{2 \cdot 3} = \frac{10 + 8}{6} = \frac{18}{6} = 3$

Следовательно, знаменатель второй дроби обращается в ноль при $x = \frac{1}{3}$ и $x = 3$.

Объединяя все условия, получаем, что выражение имеет смысл при всех значениях $x$, кроме $0$, $\frac{1}{3}$ и $3$.

Ответ: выражение имеет смысл при всех значениях $x$, кроме $x = 0$, $x = \frac{1}{3}$ и $x = 3$.


в) Выражение, задающее функцию $f(x) = \frac{15x + 4}{x^4 - 13x^2 + 36}$, имеет смысл, когда его знаменатель не равен нулю. $x^4 - 13x^2 + 36 \neq 0$

Найдем значения $x$, при которых знаменатель равен нулю, решив биквадратное уравнение: $x^4 - 13x^2 + 36 = 0$

Введем замену переменной. Пусть $t = x^2$. Так как $x^2 \ge 0$, то и $t \ge 0$. Уравнение принимает вид: $t^2 - 13t + 36 = 0$

Решим это квадратное уравнение относительно $t$ с помощью теоремы Виета. Сумма корней равна 13, произведение равно 36. $t_1 = 4$ $t_2 = 9$ Оба значения положительны, поэтому удовлетворяют условию $t \ge 0$.

Теперь выполним обратную замену:

1. $x^2 = t_1 = 4 \implies x = \pm\sqrt{4} \implies x_1 = 2, x_2 = -2$.

2. $x^2 = t_2 = 9 \implies x = \pm\sqrt{9} \implies x_3 = 3, x_4 = -3$.

Знаменатель равен нулю при $x = -3, -2, 2, 3$. Эти значения должны быть исключены.

Ответ: выражение имеет смысл при всех значениях $x$, кроме $x = \pm 2$ и $x = \pm 3$.

Помогло решение? Оставьте отзыв в комментариях ниже.

Присоединяйтесь к Телеграм-группе @gdz_by_belarus

Присоединиться

Мы подготовили для вас ответ c подробным объяснением домашего задания по алгебре за 9 класс, для упражнения номер 2.19 расположенного на странице 86 к учебнику 2019 года издания для учащихся школ и гимназий.

Теперь на нашем сайте ГДЗ.ТОП вы всегда легко и бесплатно найдёте условие с правильным ответом на вопрос «Как решить ДЗ» и «Как сделать» задание по алгебре к упражнению №2.19 (с. 86), авторов: Арефьева (Ирина Глебовна), Пирютко (Ольга Николаевна), учебного пособия издательства Народная асвета.