Номер 2.29, страница 88 - гдз по алгебре 9 класс учебник Арефьева, Пирютко

Алгебра, 9 класс Учебник, авторы: Арефьева Ирина Глебовна, Пирютко Ольга Николаевна, издательство Народная асвета, Минск, 2019, голубого цвета

Авторы: Арефьева И. Г., Пирютко О. Н.

Тип: Учебник

Издательство: Народная асвета

Год издания: 2019 - 2025

Цвет обложки: голубой, синий с графиком

ISBN: 978-985-03-3077-2

Допущено Министерством образования Республики Беларусь

Популярные ГДЗ в 9 классе

Глава 2. Функции. Параграф 6. Функция числового аргумента. Область определения, множество значений. Способы задания функции - номер 2.29, страница 88.

№2.29 (с. 88)
Условие. №2.29 (с. 88)
скриншот условия
Алгебра, 9 класс Учебник, авторы: Арефьева Ирина Глебовна, Пирютко Ольга Николаевна, издательство Народная асвета, Минск, 2019, голубого цвета, страница 88, номер 2.29, Условие

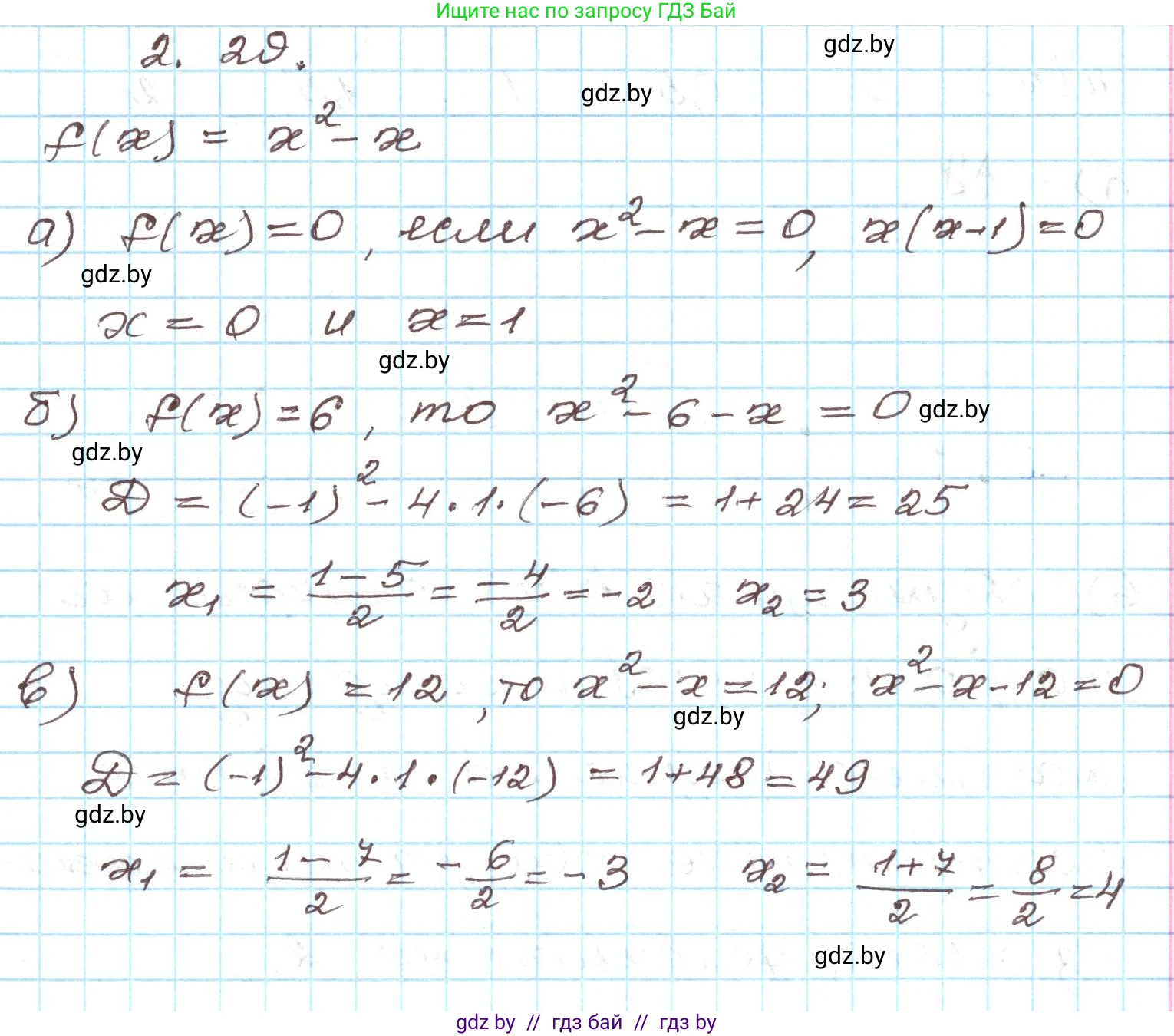
2.29. Известно, что $f(x) = x^2 - x$. Найдите значения аргумента, при которых:

а) $f(x) = 0$;

б) $f(x) = 6$;

в) $f(x) = 12$.

Решение. №2.29 (с. 88)
Алгебра, 9 класс Учебник, авторы: Арефьева Ирина Глебовна, Пирютко Ольга Николаевна, издательство Народная асвета, Минск, 2019, голубого цвета, страница 88, номер 2.29, Решение
Решение 2. №2.29 (с. 88)

Для нахождения значений аргумента $x$, при которых функция $f(x) = x^2 - x$ принимает заданные значения, необходимо подставить эти значения в уравнение и решить его относительно $x$.

а) f(x) = 0;
Подставляем значение функции в уравнение:$x^2 - x = 0$
Это неполное квадратное уравнение. Вынесем общий множитель $x$ за скобки:$x(x - 1) = 0$
Произведение равно нулю тогда и только тогда, когда хотя бы один из множителей равен нулю. Поэтому:$x_1 = 0$
или
$x - 1 = 0 \implies x_2 = 1$
Значения аргумента: 0 и 1.
Ответ: 0; 1.

б) f(x) = 6;
Подставляем значение функции в уравнение:$x^2 - x = 6$
Переносим все члены в левую часть, чтобы получить стандартное квадратное уравнение $ax^2 + bx + c = 0$:$x^2 - x - 6 = 0$
Решим это уравнение с помощью дискриминанта. Коэффициенты: $a=1, b=-1, c=-6$.$D = b^2 - 4ac = (-1)^2 - 4 \cdot 1 \cdot (-6) = 1 + 24 = 25$
Поскольку $D > 0$, уравнение имеет два действительных корня. Найдем их по формуле $x = \frac{-b \pm \sqrt{D}}{2a}$:$x_1 = \frac{-(-1) + \sqrt{25}}{2 \cdot 1} = \frac{1 + 5}{2} = \frac{6}{2} = 3$
$x_2 = \frac{-(-1) - \sqrt{25}}{2 \cdot 1} = \frac{1 - 5}{2} = \frac{-4}{2} = -2$
Значения аргумента: 3 и -2.
Ответ: 3; -2.

в) f(x) = 12.
Подставляем значение функции в уравнение:$x^2 - x = 12$
Приводим к стандартному виду:$x^2 - x - 12 = 0$
Решим это квадратное уравнение. Коэффициенты: $a=1, b=-1, c=-12$. Найдем дискриминант:$D = b^2 - 4ac = (-1)^2 - 4 \cdot 1 \cdot (-12) = 1 + 48 = 49$
Найдем корни уравнения:$x_1 = \frac{-(-1) + \sqrt{49}}{2 \cdot 1} = \frac{1 + 7}{2} = \frac{8}{2} = 4$
$x_2 = \frac{-(-1) - \sqrt{49}}{2 \cdot 1} = \frac{1 - 7}{2} = \frac{-6}{2} = -3$
Значения аргумента: 4 и -3.
Ответ: 4; -3.

Помогло решение? Оставьте отзыв в комментариях ниже.

Присоединяйтесь к Телеграм-группе @gdz_by_belarus

Присоединиться

Мы подготовили для вас ответ c подробным объяснением домашего задания по алгебре за 9 класс, для упражнения номер 2.29 расположенного на странице 88 к учебнику 2019 года издания для учащихся школ и гимназий.

Теперь на нашем сайте ГДЗ.ТОП вы всегда легко и бесплатно найдёте условие с правильным ответом на вопрос «Как решить ДЗ» и «Как сделать» задание по алгебре к упражнению №2.29 (с. 88), авторов: Арефьева (Ирина Глебовна), Пирютко (Ольга Николаевна), учебного пособия издательства Народная асвета.