Номер 2.37, страница 89 - гдз по алгебре 9 класс учебник Арефьева, Пирютко

Алгебра, 9 класс Учебник, авторы: Арефьева Ирина Глебовна, Пирютко Ольга Николаевна, издательство Народная асвета, Минск, 2019, голубого цвета

Авторы: Арефьева И. Г., Пирютко О. Н.

Тип: Учебник

Издательство: Народная асвета

Год издания: 2019 - 2025

Цвет обложки: голубой, синий с графиком

ISBN: 978-985-03-3077-2

Допущено Министерством образования Республики Беларусь

Популярные ГДЗ в 9 классе

Глава 2. Функции. Параграф 6. Функция числового аргумента. Область определения, множество значений. Способы задания функции - номер 2.37, страница 89.

№2.37 (с. 89)
Условие. №2.37 (с. 89)
скриншот условия
Алгебра, 9 класс Учебник, авторы: Арефьева Ирина Глебовна, Пирютко Ольга Николаевна, издательство Народная асвета, Минск, 2019, голубого цвета, страница 89, номер 2.37, Условие

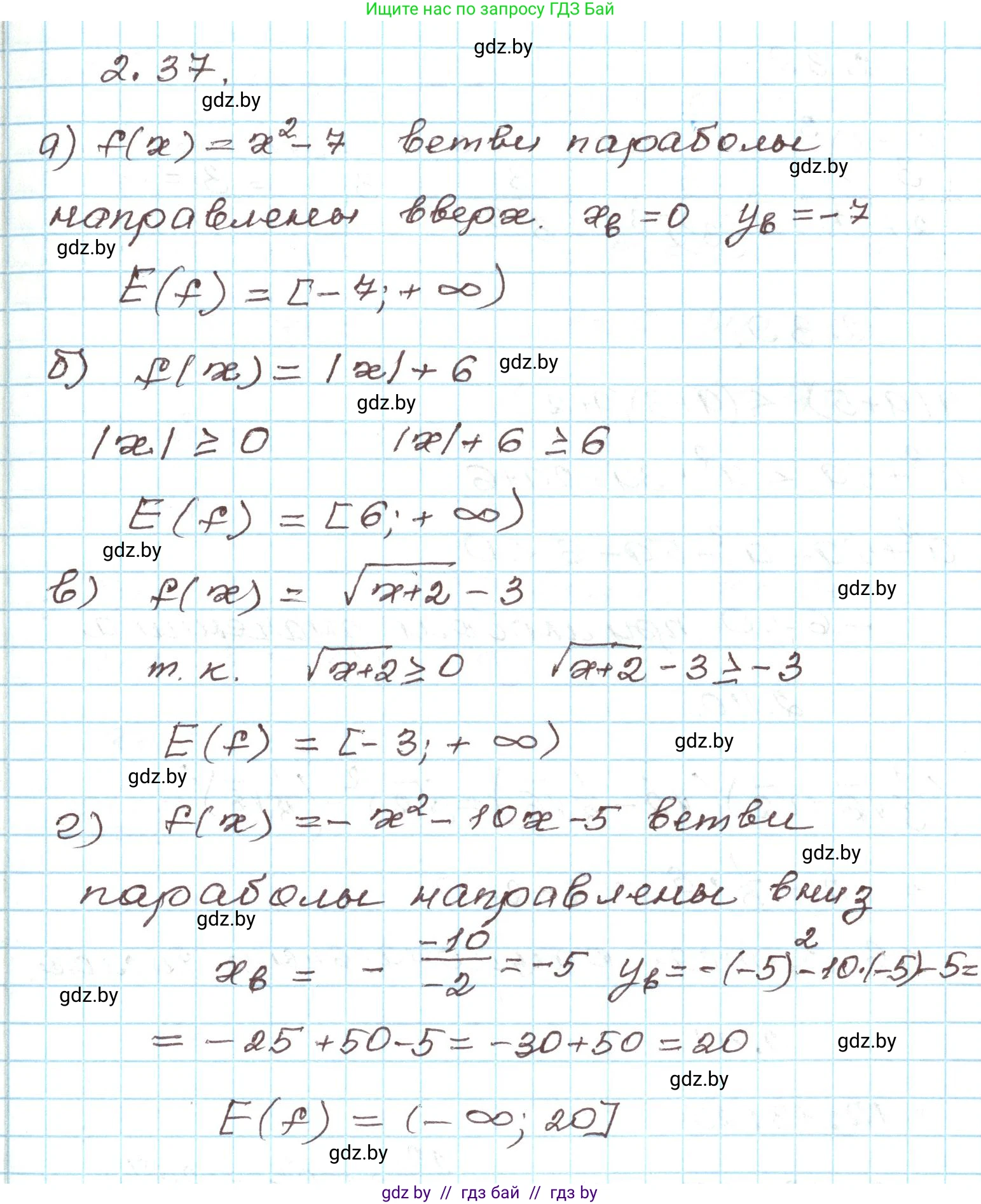
2.37. Найдите множество значений функции:

а) $f(x) = x^2 - 7;$

б) $f(x) = |x| + 6;$

в) $f(x) = \sqrt{x+2} - 3;$

г) $f(x) = -x^2 - 10x - 5.$

Решение. №2.37 (с. 89)
Алгебра, 9 класс Учебник, авторы: Арефьева Ирина Глебовна, Пирютко Ольга Николаевна, издательство Народная асвета, Минск, 2019, голубого цвета, страница 89, номер 2.37, Решение
Решение 2. №2.37 (с. 89)

а) $f(x) = x^2 - 7$

Это квадратичная функция, график которой — парабола. Коэффициент при $x^2$ равен 1 (положительный), следовательно, ветви параболы направлены вверх. Множество значений такой функции ограничено снизу ординатой вершины параболы, которая является наименьшим значением функции.

Существует несколько способов найти это значение.

Способ 1: Анализ выражения.

Известно, что выражение $x^2$ всегда неотрицательно, то есть $x^2 \ge 0$ для любого действительного числа $x$.

Вычитая 7 из обеих частей неравенства, получаем:

$x^2 - 7 \ge 0 - 7$

$f(x) \ge -7$

Таким образом, наименьшее значение функции равно -7. Оно достигается при $x^2=0$, то есть при $x=0$. Поскольку ветви параболы уходят в бесконечность, наибольшего значения не существует.

Способ 2: Нахождение вершины параболы.

Координаты вершины параболы $y = ax^2 + bx + c$ находятся по формулам $x_0 = -\frac{b}{2a}$, $y_0 = f(x_0)$.

Для функции $f(x) = x^2 - 7$ имеем $a=1, b=0, c=-7$.

$x_0 = -\frac{0}{2 \cdot 1} = 0$

$y_0 = f(0) = 0^2 - 7 = -7$

Наименьшее значение функции равно -7.

Ответ: Множество значений функции: $E(f) = [-7; +\infty)$.

б) $f(x) = |x| + 6$

По определению модуля, значение $|x|$ всегда неотрицательно для любого действительного числа $x$, то есть $|x| \ge 0$.

Прибавив 6 к обеим частям этого неравенства, получим:

$|x| + 6 \ge 0 + 6$

$f(x) \ge 6$

Наименьшее значение функции равно 6, и оно достигается при $|x|=0$, то есть при $x=0$. Так как $|x|$ может принимать сколь угодно большие значения, наибольшего значения у функции нет.

Ответ: Множество значений функции: $E(f) = [6; +\infty)$.

в) $f(x) = \sqrt{x+2} - 3$

Область определения функции задается условием, что выражение под знаком корня должно быть неотрицательным:

$x+2 \ge 0 \Rightarrow x \ge -2$

По определению, арифметический квадратный корень $\sqrt{t}$ принимает только неотрицательные значения, то есть $\sqrt{x+2} \ge 0$.

Вычитая 3 из обеих частей неравенства, получаем оценку для значений функции:

$\sqrt{x+2} - 3 \ge 0 - 3$

$f(x) \ge -3$

Наименьшее значение функции равно -3, и оно достигается при $\sqrt{x+2}=0$, то есть при $x=-2$. Наибольшего значения не существует, так как $\sqrt{x+2}$ может быть сколь угодно большим.

Ответ: Множество значений функции: $E(f) = [-3; +\infty)$.

г) $f(x) = -x^2 - 10x - 5$

Это квадратичная функция, график которой — парабола. Коэффициент при $x^2$ равен -1 (отрицательный), следовательно, ветви параболы направлены вниз. Множество значений такой функции ограничено сверху ординатой вершины параболы, которая является наибольшим значением функции.

Способ 1: Нахождение вершины параболы.

Координаты вершины параболы $(x_0, y_0)$ для $y = ax^2 + bx + c$ находятся по формулам $x_0 = -\frac{b}{2a}$, $y_0 = f(x_0)$.

Для функции $f(x) = -x^2 - 10x - 5$ имеем $a=-1, b=-10, c=-5$.

$x_0 = -\frac{-10}{2 \cdot (-1)} = \frac{10}{-2} = -5$

$y_0 = f(-5) = -(-5)^2 - 10(-5) - 5 = -25 + 50 - 5 = 20$

Наибольшее значение функции равно 20.

Способ 2: Выделение полного квадрата.

$f(x) = -x^2 - 10x - 5 = -(x^2 + 10x) - 5$

Дополним выражение в скобках до полного квадрата, прибавив и вычтя $(10/2)^2 = 25$:

$f(x) = -(x^2 + 10x + 25 - 25) - 5 = -((x+5)^2 - 25) - 5 = -(x+5)^2 + 25 - 5 = 20 - (x+5)^2$

Так как $(x+5)^2 \ge 0$, то $-(x+5)^2 \le 0$.

Следовательно, $20 - (x+5)^2 \le 20$, то есть $f(x) \le 20$.

Наибольшее значение функции равно 20, а наименьшего значения не существует.

Ответ: Множество значений функции: $E(f) = (-\infty; 20]$.

Помогло решение? Оставьте отзыв в комментариях ниже.

Присоединяйтесь к Телеграм-группе @gdz_by_belarus

Присоединиться

Мы подготовили для вас ответ c подробным объяснением домашего задания по алгебре за 9 класс, для упражнения номер 2.37 расположенного на странице 89 к учебнику 2019 года издания для учащихся школ и гимназий.

Теперь на нашем сайте ГДЗ.ТОП вы всегда легко и бесплатно найдёте условие с правильным ответом на вопрос «Как решить ДЗ» и «Как сделать» задание по алгебре к упражнению №2.37 (с. 89), авторов: Арефьева (Ирина Глебовна), Пирютко (Ольга Николаевна), учебного пособия издательства Народная асвета.