Номер 2.52, страница 99 - гдз по алгебре 9 класс учебник Арефьева, Пирютко

Алгебра, 9 класс Учебник, авторы: Арефьева Ирина Глебовна, Пирютко Ольга Николаевна, издательство Народная асвета, Минск, 2019, голубого цвета

Авторы: Арефьева И. Г., Пирютко О. Н.

Тип: Учебник

Издательство: Народная асвета

Год издания: 2019 - 2025

Цвет обложки: голубой, синий с графиком

ISBN: 978-985-03-3077-2

Допущено Министерством образования Республики Беларусь

Популярные ГДЗ в 9 классе

Глава 2. Функции. Параграф 7. Свойства функции - номер 2.52, страница 99.

№2.52 (с. 99)
Условие. №2.52 (с. 99)
скриншот условия
Алгебра, 9 класс Учебник, авторы: Арефьева Ирина Глебовна, Пирютко Ольга Николаевна, издательство Народная асвета, Минск, 2019, голубого цвета, страница 99, номер 2.52, Условие

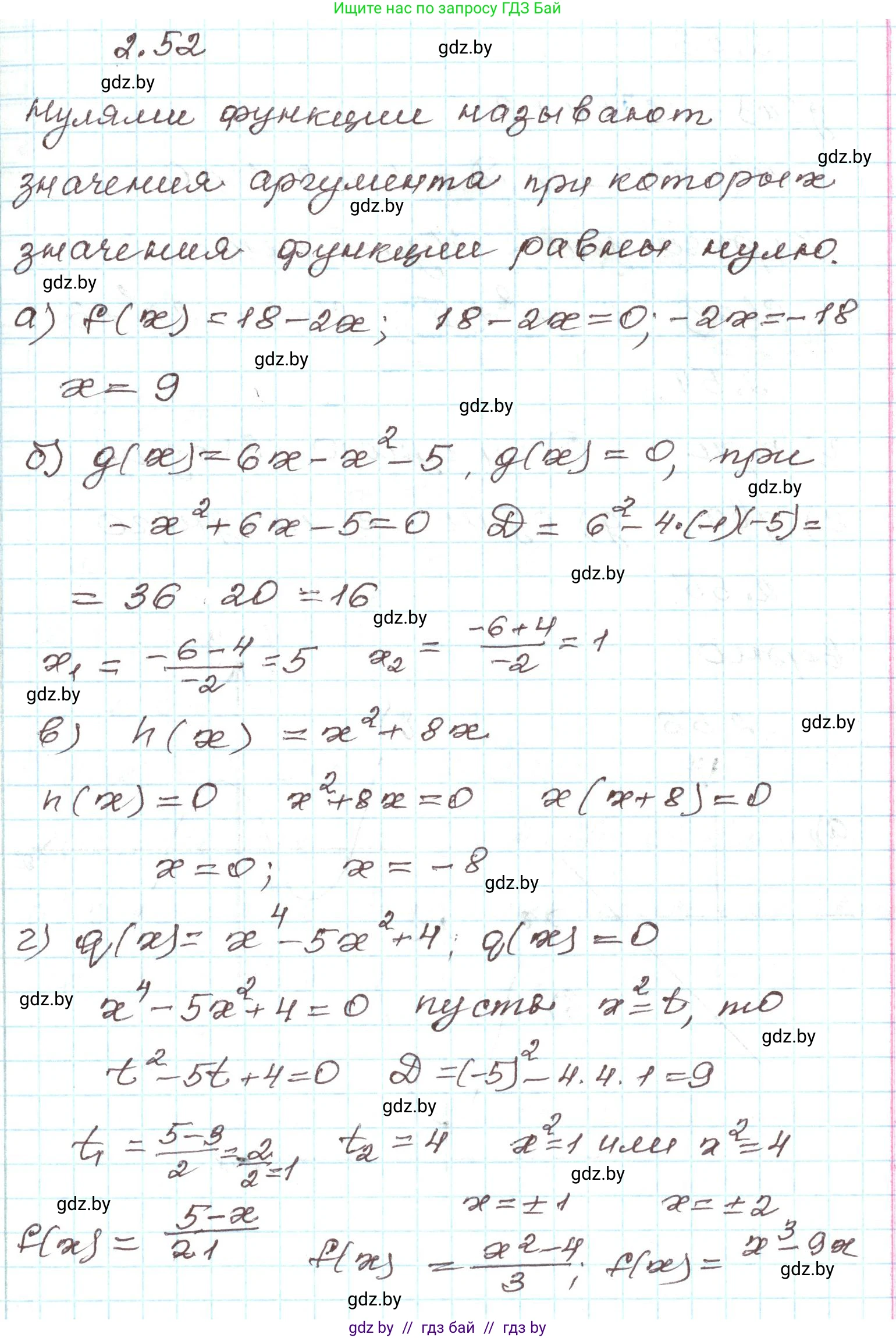
2.52. Какие значения аргумента называют нулями функции? Найдите нули функции:

а) $f(x)=18-2x$;

б) $g(x)=6x-x^2-5$;

в) $h(x)=x^2+8x$;

г) $q(x)=x^4-5x^2+4$.

Приведите пример функции, имеющей один нуль; два нуля; три нуля.

Решение. №2.52 (с. 99)
Алгебра, 9 класс Учебник, авторы: Арефьева Ирина Глебовна, Пирютко Ольга Николаевна, издательство Народная асвета, Минск, 2019, голубого цвета, страница 99, номер 2.52, Решение
Решение 2. №2.52 (с. 99)

Нулями функции называют значения аргумента, при которых значение функции равно нулю. Чтобы найти нули функции $y = f(x)$, необходимо решить уравнение $f(x) = 0$.

а) $f(x) = 18 - 2x$

Решаем уравнение $18 - 2x = 0$:

$2x = 18$

$x = \frac{18}{2}$

$x = 9$

Ответ: 9.

б) $g(x) = 6x - x^2 - 5$

Решаем уравнение $6x - x^2 - 5 = 0$. Для удобства умножим все члены уравнения на -1 и запишем его в стандартном виде:

$x^2 - 6x + 5 = 0$

Это квадратное уравнение. Найдем его корни через дискриминант:

$D = b^2 - 4ac = (-6)^2 - 4 \cdot 1 \cdot 5 = 36 - 20 = 16$

$x_1 = \frac{-b + \sqrt{D}}{2a} = \frac{6 + \sqrt{16}}{2 \cdot 1} = \frac{6+4}{2} = \frac{10}{2} = 5$

$x_2 = \frac{-b - \sqrt{D}}{2a} = \frac{6 - \sqrt{16}}{2 \cdot 1} = \frac{6-4}{2} = \frac{2}{2} = 1$

Ответ: 1; 5.

в) $h(x) = x^2 + 8x$

Решаем уравнение $x^2 + 8x = 0$. Вынесем общий множитель $x$ за скобки:

$x(x + 8) = 0$

Произведение равно нулю, когда хотя бы один из множителей равен нулю:

$x_1 = 0$

$x + 8 = 0 \implies x_2 = -8$

Ответ: -8; 0.

г) $q(x) = x^4 - 5x^2 + 4$

Решаем биквадратное уравнение $x^4 - 5x^2 + 4 = 0$.

Сделаем замену переменной: пусть $t = x^2$, при этом $t \ge 0$.

Получаем квадратное уравнение относительно $t$:

$t^2 - 5t + 4 = 0$

По теореме Виета, корни этого уравнения $t_1 = 1$ и $t_2 = 4$. Оба корня удовлетворяют условию $t \ge 0$.

Выполняем обратную замену:

1. $x^2 = 1 \implies x = \pm 1$

2. $x^2 = 4 \implies x = \pm 2$

Ответ: -2; -1; 1; 2.

Примеры функций, имеющих один, два или три нуля:

  • Функция, имеющая один нуль: например, $f(x) = (x-7)^2$. Уравнение $(x-7)^2 = 0$ имеет один корень $x=7$.
  • Функция, имеющая два нуля: например, $f(x) = x^2 - 25$. Уравнение $x^2-25=0$ имеет два корня $x=5$ и $x=-5$.
  • Функция, имеющая три нуля: например, $f(x) = x^3 - 9x$. Уравнение $x(x^2-9)=0$ или $x(x-3)(x+3)=0$ имеет три корня $x=0$, $x=3$ и $x=-3$.

Помогло решение? Оставьте отзыв в комментариях ниже.

Присоединяйтесь к Телеграм-группе @gdz_by_belarus

Присоединиться

Мы подготовили для вас ответ c подробным объяснением домашего задания по алгебре за 9 класс, для упражнения номер 2.52 расположенного на странице 99 к учебнику 2019 года издания для учащихся школ и гимназий.

Теперь на нашем сайте ГДЗ.ТОП вы всегда легко и бесплатно найдёте условие с правильным ответом на вопрос «Как решить ДЗ» и «Как сделать» задание по алгебре к упражнению №2.52 (с. 99), авторов: Арефьева (Ирина Глебовна), Пирютко (Ольга Николаевна), учебного пособия издательства Народная асвета.