Номер 2.76, страница 102 - гдз по алгебре 9 класс учебник Арефьева, Пирютко

Алгебра, 9 класс Учебник, авторы: Арефьева Ирина Глебовна, Пирютко Ольга Николаевна, издательство Народная асвета, Минск, 2019, голубого цвета

Авторы: Арефьева И. Г., Пирютко О. Н.

Тип: Учебник

Издательство: Народная асвета

Год издания: 2019 - 2025

Цвет обложки: голубой, синий с графиком

ISBN: 978-985-03-3077-2

Допущено Министерством образования Республики Беларусь

Популярные ГДЗ в 9 классе

Глава 2. Функции. Параграф 7. Свойства функции - номер 2.76, страница 102.

№2.76 (с. 102)
Условие. №2.76 (с. 102)
скриншот условия
Алгебра, 9 класс Учебник, авторы: Арефьева Ирина Глебовна, Пирютко Ольга Николаевна, издательство Народная асвета, Минск, 2019, голубого цвета, страница 102, номер 2.76, Условие

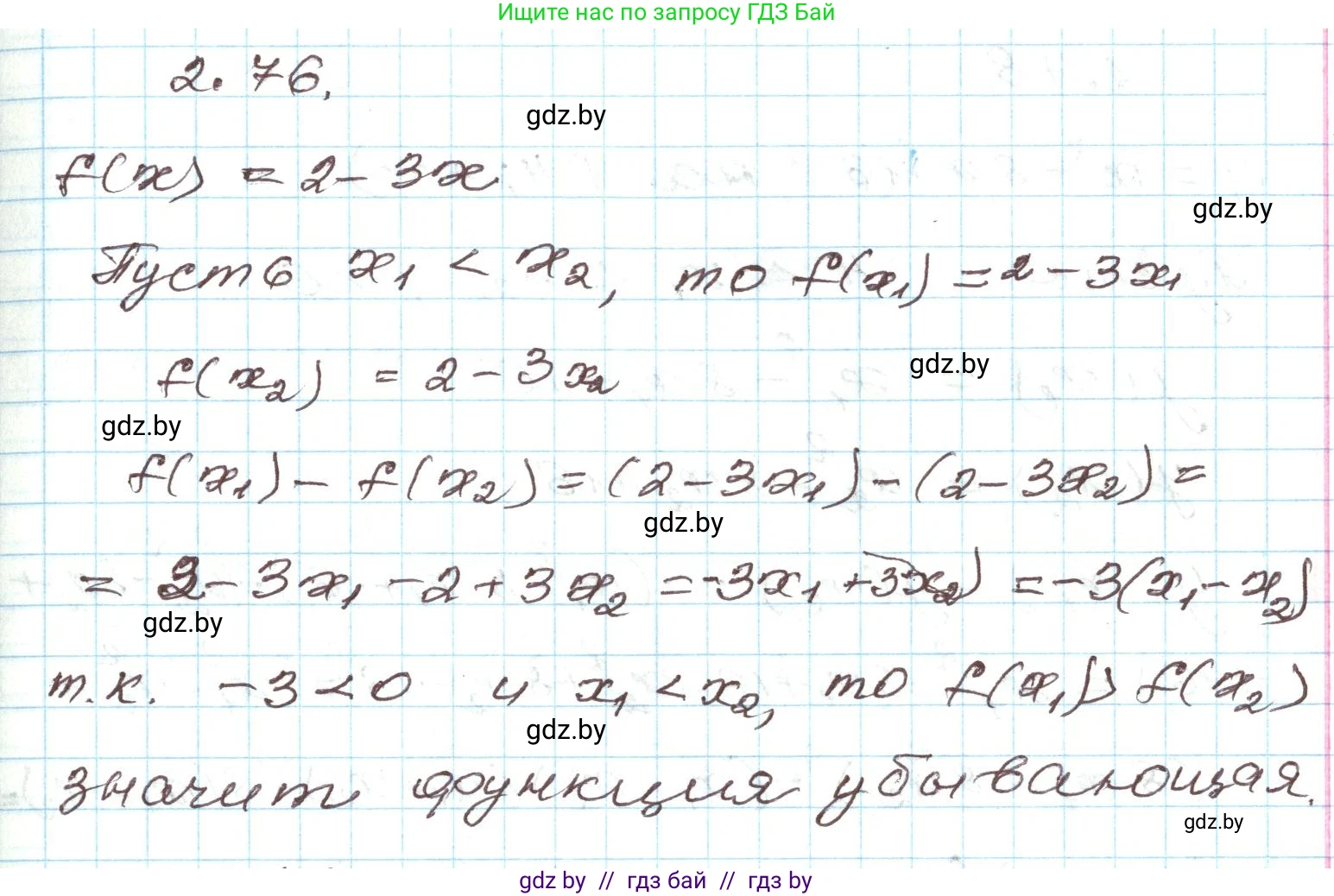
2.76*. Докажите, что функция $f(x)=2-3x$ является убывающей.

Решение. №2.76 (с. 102)
Алгебра, 9 класс Учебник, авторы: Арефьева Ирина Глебовна, Пирютко Ольга Николаевна, издательство Народная асвета, Минск, 2019, голубого цвета, страница 102, номер 2.76, Решение
Решение 2. №2.76 (с. 102)

Чтобы доказать, что функция $f(x) = 2 - 3x$ является убывающей, необходимо показать, что для любых двух значений аргумента $x_1$ и $x_2$ из области определения функции, таких что большему значению аргумента соответствует меньшее значение функции. То есть, для любых $x_1$ и $x_2$, если $x_2 > x_1$, то должно выполняться неравенство $f(x_2) < f(x_1)$.

Способ 1: Доказательство по определению

1. Выберем два произвольных значения $x_1$ и $x_2$ из области определения функции (множество всех действительных чисел $R$) так, чтобы выполнялось условие $x_2 > x_1$.

2. Найдем значения функции в этих точках:

  • $f(x_1) = 2 - 3x_1$
  • $f(x_2) = 2 - 3x_2$

3. Сравним значения $f(x_1)$ и $f(x_2)$. Для этого найдем их разность $f(x_2) - f(x_1)$:

$f(x_2) - f(x_1) = (2 - 3x_2) - (2 - 3x_1) = 2 - 3x_2 - 2 + 3x_1 = 3x_1 - 3x_2$

Вынесем за скобки общий множитель 3:

$f(x_2) - f(x_1) = 3(x_1 - x_2)$

4. Оценим знак полученного выражения. По нашему условию $x_2 > x_1$, следовательно, разность $x_1 - x_2$ будет отрицательной, то есть $x_1 - x_2 < 0$.

5. Так как мы умножаем положительное число $3$ на отрицательное число $(x_1 - x_2)$, то их произведение также будет отрицательным:

$3(x_1 - x_2) < 0$

Таким образом, мы получили, что $f(x_2) - f(x_1) < 0$, что равносильно неравенству $f(x_2) < f(x_1)$.

Поскольку для любого $x_2 > x_1$ выполняется $f(x_2) < f(x_1)$, функция $f(x) = 2 - 3x$ является убывающей на всей своей области определения. Что и требовалось доказать.

Способ 2: Доказательство через производную

Функция является убывающей на некотором промежутке, если её производная на этом промежутке отрицательна ($f'(x) < 0$).

1. Найдем производную функции $f(x) = 2 - 3x$:

$f'(x) = (2 - 3x)' = (2)' - (3x)' = 0 - 3 = -3$

2. Производная $f'(x) = -3$ является постоянной и отрицательной для любого значения $x$.

Поскольку $f'(x) < 0$ на всей области определения, функция $f(x) = 2 - 3x$ является убывающей.

Ответ: Утверждение доказано.

Помогло решение? Оставьте отзыв в комментариях ниже.

Присоединяйтесь к Телеграм-группе @gdz_by_belarus

Присоединиться

Мы подготовили для вас ответ c подробным объяснением домашего задания по алгебре за 9 класс, для упражнения номер 2.76 расположенного на странице 102 к учебнику 2019 года издания для учащихся школ и гимназий.

Теперь на нашем сайте ГДЗ.ТОП вы всегда легко и бесплатно найдёте условие с правильным ответом на вопрос «Как решить ДЗ» и «Как сделать» задание по алгебре к упражнению №2.76 (с. 102), авторов: Арефьева (Ирина Глебовна), Пирютко (Ольга Николаевна), учебного пособия издательства Народная асвета.