Номер 3, страница 135 - гдз по алгебре 9 класс учебник Арефьева, Пирютко

Алгебра, 9 класс Учебник, авторы: Арефьева Ирина Глебовна, Пирютко Ольга Николаевна, издательство Народная асвета, Минск, 2019, голубого цвета

Авторы: Арефьева И. Г., Пирютко О. Н.

Тип: Учебник

Издательство: Народная асвета

Год издания: 2019 - 2025

Цвет обложки: голубой, синий с графиком

ISBN: 978-985-03-3077-2

Допущено Министерством образования Республики Беларусь

Популярные ГДЗ в 9 классе

Глава 2. Функции. Готовимся к олимпиадам - номер 3, страница 135.

№3 (с. 135)
Условие. №3 (с. 135)
скриншот условия
Алгебра, 9 класс Учебник, авторы: Арефьева Ирина Глебовна, Пирютко Ольга Николаевна, издательство Народная асвета, Минск, 2019, голубого цвета, страница 135, номер 3, Условие

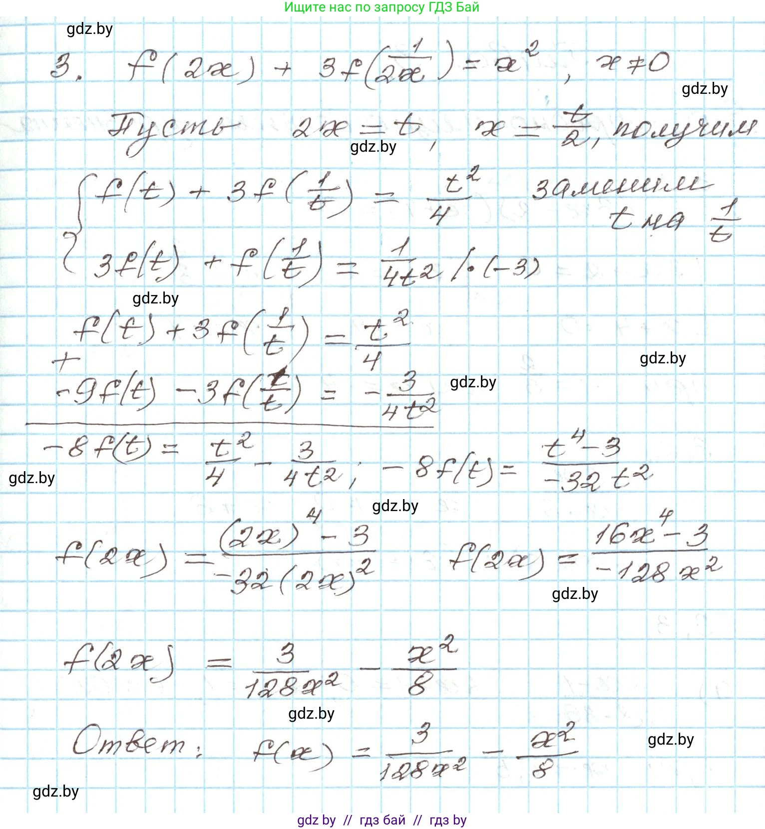
3. Функция $f(x)$ определена для всех $x \neq 0$ и удовлетворяет

уравнению $f(2x)+3f\left(\frac{1}{2x}\right)=x^2$. Найдите $f(x)$.

Решение. №3 (с. 135)
Алгебра, 9 класс Учебник, авторы: Арефьева Ирина Глебовна, Пирютко Ольга Николаевна, издательство Народная асвета, Минск, 2019, голубого цвета, страница 135, номер 3, Решение
Решение 2. №3 (с. 135)

Дано функциональное уравнение:

$$ f(2x) + 3f\left(\frac{1}{2x}\right) = x^2 $$

Уравнение определено для всех $x \ne 0$. Для нахождения явного вида функции $f(x)$ воспользуемся методом подстановки.

Ключевая идея состоит в том, чтобы сделать в исходном уравнении такую замену переменной $x$, которая поменяет местами аргументы функции $2x$ и $\frac{1}{2x}$. Такой заменой является $x \to \frac{1}{4x}$.

Выполним подстановку $x = \frac{1}{4x}$ в исходное уравнение:

$$ f\left(2 \cdot \frac{1}{4x}\right) + 3f\left(\frac{1}{2 \cdot \frac{1}{4x}}\right) = \left(\frac{1}{4x}\right)^2 $$

После упрощения получаем второе уравнение:

$$ f\left(\frac{1}{2x}\right) + 3f(2x) = \frac{1}{16x^2} $$

Теперь у нас есть система из двух линейных уравнений относительно неизвестных $f(2x)$ и $f\left(\frac{1}{2x}\right)$:

$$ \begin{cases} f(2x) + 3f\left(\frac{1}{2x}\right) = x^2 & (1) \\ 3f(2x) + f\left(\frac{1}{2x}\right) = \frac{1}{16x^2} & (2) \end{cases} $$

Решим эту систему. Умножим уравнение (2) на 3:

$$ 9f(2x) + 3f\left(\frac{1}{2x}\right) = \frac{3}{16x^2} \quad (3)$$

Вычтем уравнение (1) из уравнения (3), чтобы исключить $f\left(\frac{1}{2x}\right)$:

$$ \left(9f(2x) + 3f\left(\frac{1}{2x}\right)\right) - \left(f(2x) + 3f\left(\frac{1}{2x}\right)\right) = \frac{3}{16x^2} - x^2 $$

$$ 8f(2x) = \frac{3}{16x^2} - x^2 $$

Разделив на 8, найдем выражение для $f(2x)$:

$$ f(2x) = \frac{3}{128x^2} - \frac{x^2}{8} $$

Для того чтобы найти $f(x)$, сделаем замену переменной. Пусть $t = 2x$, тогда $x = \frac{t}{2}$. Подставим это в найденное выражение:

$$ f(t) = \frac{3}{128\left(\frac{t}{2}\right)^2} - \frac{\left(\frac{t}{2}\right)^2}{8} = \frac{3}{128\left(\frac{t^2}{4}\right)} - \frac{\frac{t^2}{4}}{8} $$

$$ f(t) = \frac{3}{32t^2} - \frac{t^2}{32} $$

Приводя к общему знаменателю, получаем:

$$ f(t) = \frac{3-t^4}{32t^2} $$

Заменив переменную $t$ на $x$, получаем окончательный ответ.

Найдите f(x). Ответ: $f(x) = \frac{3-x^4}{32x^2}$

Помогло решение? Оставьте отзыв в комментариях ниже.

Присоединяйтесь к Телеграм-группе @gdz_by_belarus

Присоединиться

Мы подготовили для вас ответ c подробным объяснением домашего задания по алгебре за 9 класс, для упражнения номер 3 расположенного на странице 135 к учебнику 2019 года издания для учащихся школ и гимназий.

Теперь на нашем сайте ГДЗ.ТОП вы всегда легко и бесплатно найдёте условие с правильным ответом на вопрос «Как решить ДЗ» и «Как сделать» задание по алгебре к упражнению №3 (с. 135), авторов: Арефьева (Ирина Глебовна), Пирютко (Ольга Николаевна), учебного пособия издательства Народная асвета.