Номер 3.116, страница 171 - гдз по алгебре 9 класс учебник Арефьева, Пирютко

Алгебра, 9 класс Учебник, авторы: Арефьева Ирина Глебовна, Пирютко Ольга Николаевна, издательство Народная асвета, Минск, 2019, голубого цвета

Авторы: Арефьева И. Г., Пирютко О. Н.

Тип: Учебник

Издательство: Народная асвета

Год издания: 2019 - 2025

Цвет обложки: голубой, синий с графиком

ISBN: 978-985-03-3077-2

Допущено Министерством образования Республики Беларусь

Популярные ГДЗ в 9 классе

Глава 3. Дробно-рациональные уравнения и неравенства. Параграф 11. Системы нелинейных уравнений - номер 3.116, страница 171.

№3.116 (с. 171)
Условие. №3.116 (с. 171)
скриншот условия
Алгебра, 9 класс Учебник, авторы: Арефьева Ирина Глебовна, Пирютко Ольга Николаевна, издательство Народная асвета, Минск, 2019, голубого цвета, страница 171, номер 3.116, Условие

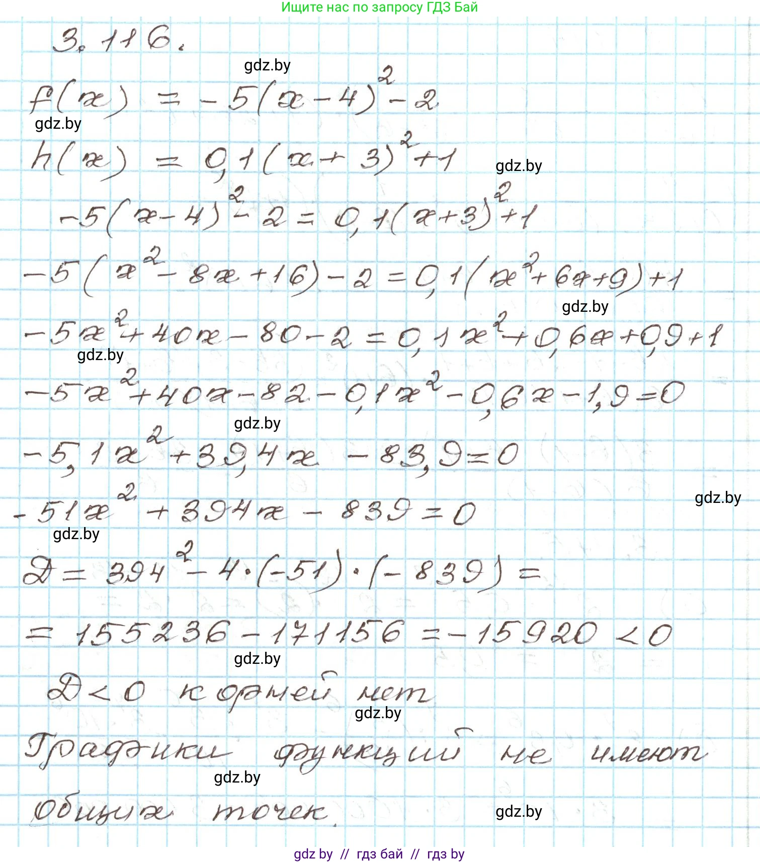
3.116. График функции $y=f(x)$ получен из графика функции $g(x)=-5x^2$ сдвигом его на 4 единицы вправо вдоль оси абсцисс и на 2 единицы вниз вдоль оси ординат. А график функции $y=h(x)$ получен из графика функции $p(x)=0,1x^2$ сдвигом его на 3 единицы влево вдоль оси абсцисс и на 1 единицу вверх вдоль оси ординат. Имеют ли общие точки графики функций $y=f(x)$ и $y=h(x)$?

Решение. №3.116 (с. 171)
Алгебра, 9 класс Учебник, авторы: Арефьева Ирина Глебовна, Пирютко Ольга Николаевна, издательство Народная асвета, Минск, 2019, голубого цвета, страница 171, номер 3.116, Решение
Решение 2. №3.116 (с. 171)

Для того чтобы определить, имеют ли графики функций $y=f(x)$ и $y=h(x)$ общие точки, необходимо сначала найти аналитические выражения для этих функций, а затем проверить, существует ли решение у уравнения $f(x) = h(x)$.

Определение функции $y = f(x)$

График функции $y=f(x)$ получается из графика функции $g(x) = -5x^2$ следующими преобразованиями:

  • Сдвиг на 4 единицы вправо вдоль оси абсцисс. Это соответствует замене аргумента $x$ на $(x-4)$.
  • Сдвиг на 2 единицы вниз вдоль оси ординат. Это соответствует вычитанию 2 из значения всей функции.

Таким образом, уравнение для $f(x)$ имеет вид:

$f(x) = -5(x-4)^2 - 2$

Это парабола, ветви которой направлены вниз, так как коэффициент при квадратичном члене ($-5$) отрицательный. Вершина этой параболы находится в точке $(4, -2)$. Следовательно, максимальное значение функции $f(x)$ равно $-2$, а область её значений $E(f) = (-\infty; -2]$.

Определение функции $y = h(x)$

График функции $y=h(x)$ получается из графика функции $p(x) = 0,1x^2$ следующими преобразованиями:

  • Сдвиг на 3 единицы влево вдоль оси абсцисс. Это соответствует замене аргумента $x$ на $(x+3)$.
  • Сдвиг на 1 единицу вверх вдоль оси ординат. Это соответствует прибавлению 1 к значению всей функции.

Таким образом, уравнение для $h(x)$ имеет вид:

$h(x) = 0,1(x+3)^2 + 1$

Это парабола, ветви которой направлены вверх, так как коэффициент при квадратичном члене ($0,1$) положительный. Вершина этой параболы находится в точке $(-3, 1)$. Следовательно, минимальное значение функции $h(x)$ равно $1$, а область её значений $E(h) = [1; +\infty)$.

Анализ на наличие общих точек

Общие точки у графиков существуют только в том случае, если их области значений пересекаются. Сравним области значений полученных функций:

  • Для $f(x)$ все значения $y \le -2$.
  • Для $h(x)$ все значения $y \ge 1$.

Поскольку максимальное значение функции $f(x)$ (равное -2) меньше минимального значения функции $h(x)$ (равного 1), их области значений не имеют общих точек. Это означает, что не существует такого значения $y$, которое могло бы одновременно являться значением и для $f(x)$, и для $h(x)$.

Имеют ли общие точки графики функций y = f(x) и y = h(x)? Ответ: Нет, графики данных функций не имеют общих точек.

Помогло решение? Оставьте отзыв в комментариях ниже.

Присоединяйтесь к Телеграм-группе @gdz_by_belarus

Присоединиться

Мы подготовили для вас ответ c подробным объяснением домашего задания по алгебре за 9 класс, для упражнения номер 3.116 расположенного на странице 171 к учебнику 2019 года издания для учащихся школ и гимназий.

Теперь на нашем сайте ГДЗ.ТОП вы всегда легко и бесплатно найдёте условие с правильным ответом на вопрос «Как решить ДЗ» и «Как сделать» задание по алгебре к упражнению №3.116 (с. 171), авторов: Арефьева (Ирина Глебовна), Пирютко (Ольга Николаевна), учебного пособия издательства Народная асвета.