Номер 3.181, страница 195 - гдз по алгебре 9 класс учебник Арефьева, Пирютко

Алгебра, 9 класс Учебник, авторы: Арефьева Ирина Глебовна, Пирютко Ольга Николаевна, издательство Народная асвета, Минск, 2019, голубого цвета

Авторы: Арефьева И. Г., Пирютко О. Н.

Тип: Учебник

Издательство: Народная асвета

Год издания: 2019 - 2025

Цвет обложки: голубой, синий с графиком

ISBN: 978-985-03-3077-2

Допущено Министерством образования Республики Беларусь

Популярные ГДЗ в 9 классе

Глава 3. Дробно-рациональные уравнения и неравенства. Параграф 13. Дробно-рациональные неравенства. Метод интервалов для решения рациональных неравенств - номер 3.181, страница 195.

№3.181 (с. 195)
Условие. №3.181 (с. 195)
скриншот условия
Алгебра, 9 класс Учебник, авторы: Арефьева Ирина Глебовна, Пирютко Ольга Николаевна, издательство Народная асвета, Минск, 2019, голубого цвета, страница 195, номер 3.181, Условие

3.181. Решите неравенство:

а) $\frac{x}{x-1} \ge 3;$

б) $\frac{3-x}{2x+5} < 1;$

В) $\frac{4x-3}{x} \le 2;$

Г) $\frac{1}{x-3} < \frac{2}{x+2};$

Д) $\frac{5}{x-2} \ge \frac{1}{1-x};$

е) $\frac{8-x}{x-10} \le \frac{2}{2-x};$

ж) $\frac{3}{x-1} > x+1;$

з) $x+4 \le \frac{9}{x+4}.$

Решение. №3.181 (с. 195)
Алгебра, 9 класс Учебник, авторы: Арефьева Ирина Глебовна, Пирютко Ольга Николаевна, издательство Народная асвета, Минск, 2019, голубого цвета, страница 195, номер 3.181, Решение Алгебра, 9 класс Учебник, авторы: Арефьева Ирина Глебовна, Пирютко Ольга Николаевна, издательство Народная асвета, Минск, 2019, голубого цвета, страница 195, номер 3.181, Решение (продолжение 2)
Решение 2. №3.181 (с. 195)

а) Решим неравенство $\frac{x}{x-1} \ge 3$.

Перенесем все в левую часть и приведем к общему знаменателю:

$\frac{x}{x-1} - 3 \ge 0$

$\frac{x - 3(x-1)}{x-1} \ge 0$

$\frac{x - 3x + 3}{x-1} \ge 0$

$\frac{3 - 2x}{x-1} \ge 0$

Решим это неравенство методом интервалов. Найдем нули числителя и знаменателя:

Нуль числителя: $3-2x = 0 \Rightarrow 2x=3 \Rightarrow x=\frac{3}{2}$.

Нуль знаменателя: $x-1 = 0 \Rightarrow x=1$.

Отметим точки $1$ и $\frac{3}{2}$ на числовой прямой. Точка $x=1$ выколотая (знаменатель не может быть равен нулю), а точка $x=\frac{3}{2}$ закрашенная (неравенство нестрогое).

Определим знаки выражения на интервалах $(-\infty; 1)$, $(1; \frac{3}{2}]$ и $[\frac{3}{2}; \infty)$.

  • При $x<1$ (например, $x=0$): $\frac{3-0}{0-1} = -3 < 0$.
  • При $1<x<\frac{3}{2}$ (например, $x=1.2$): $\frac{3-2.4}{1.2-1} = \frac{0.6}{0.2} = 3 > 0$.
  • При $x>\frac{3}{2}$ (например, $x=2$): $\frac{3-4}{2-1} = -1 < 0$.

Неравенство выполняется при $x \in (1; \frac{3}{2}]$.

Ответ: $(1; \mathbf{1}\frac{1}{2}]$

б) Решим неравенство $\frac{3-x}{2x+5} < 1$.

$\frac{3-x}{2x+5} - 1 < 0$

$\frac{3-x-(2x+5)}{2x+5} < 0$

$\frac{-3x-2}{2x+5} < 0$

Умножим обе части на -1, изменив знак неравенства:

$\frac{3x+2}{2x+5} > 0$

Нули числителя: $3x+2=0 \Rightarrow x=-\frac{2}{3}$.

Нули знаменателя: $2x+5=0 \Rightarrow x=-\frac{5}{2}$.

Точки $-\frac{5}{2}$ и $-\frac{2}{3}$ выколотые, так как неравенство строгое.

Методом интервалов находим, что выражение положительно при $x \in (-\infty; -\frac{5}{2}) \cup (-\frac{2}{3}; \infty)$.

Ответ: $(-\infty; -\mathbf{2}\frac{1}{2}) \cup (-\frac{2}{3}; \infty)$

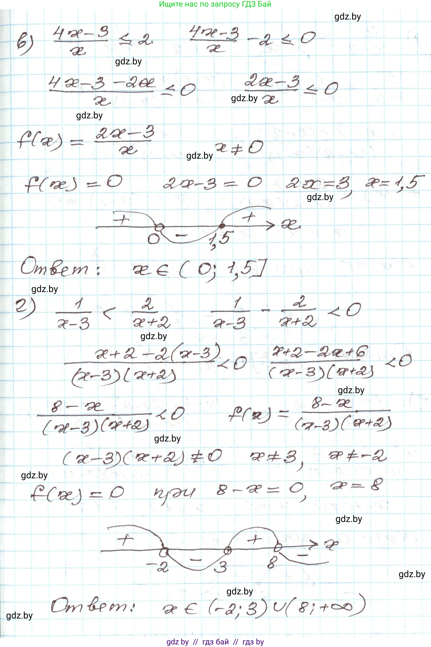
в) Решим неравенство $\frac{4x-3}{x} \le 2$.

$\frac{4x-3}{x} - 2 \le 0$

$\frac{4x-3-2x}{x} \le 0$

$\frac{2x-3}{x} \le 0$

Нули числителя: $2x-3=0 \Rightarrow x=\frac{3}{2}$.

Нули знаменателя: $x=0$.

Точка $x=0$ выколотая, точка $x=\frac{3}{2}$ закрашенная.

Методом интервалов находим, что выражение неположительно при $x \in (0; \frac{3}{2}]$.

Ответ: $(0; \mathbf{1}\frac{1}{2}]$

г) Решим неравенство $\frac{1}{x-3} < \frac{2}{x+2}$.

$\frac{1}{x-3} - \frac{2}{x+2} < 0$

$\frac{(x+2)-2(x-3)}{(x-3)(x+2)} < 0$

$\frac{x+2-2x+6}{(x-3)(x+2)} < 0$

$\frac{8-x}{(x-3)(x+2)} < 0$

$\frac{x-8}{(x-3)(x+2)} > 0$

Нули числителя: $x=8$. Нули знаменателя: $x=3, x=-2$.

Все точки выколотые. Методом интервалов находим, что выражение положительно при $x \in (-2; 3) \cup (8; \infty)$.

Ответ: $(-2; 3) \cup (8; \infty)$

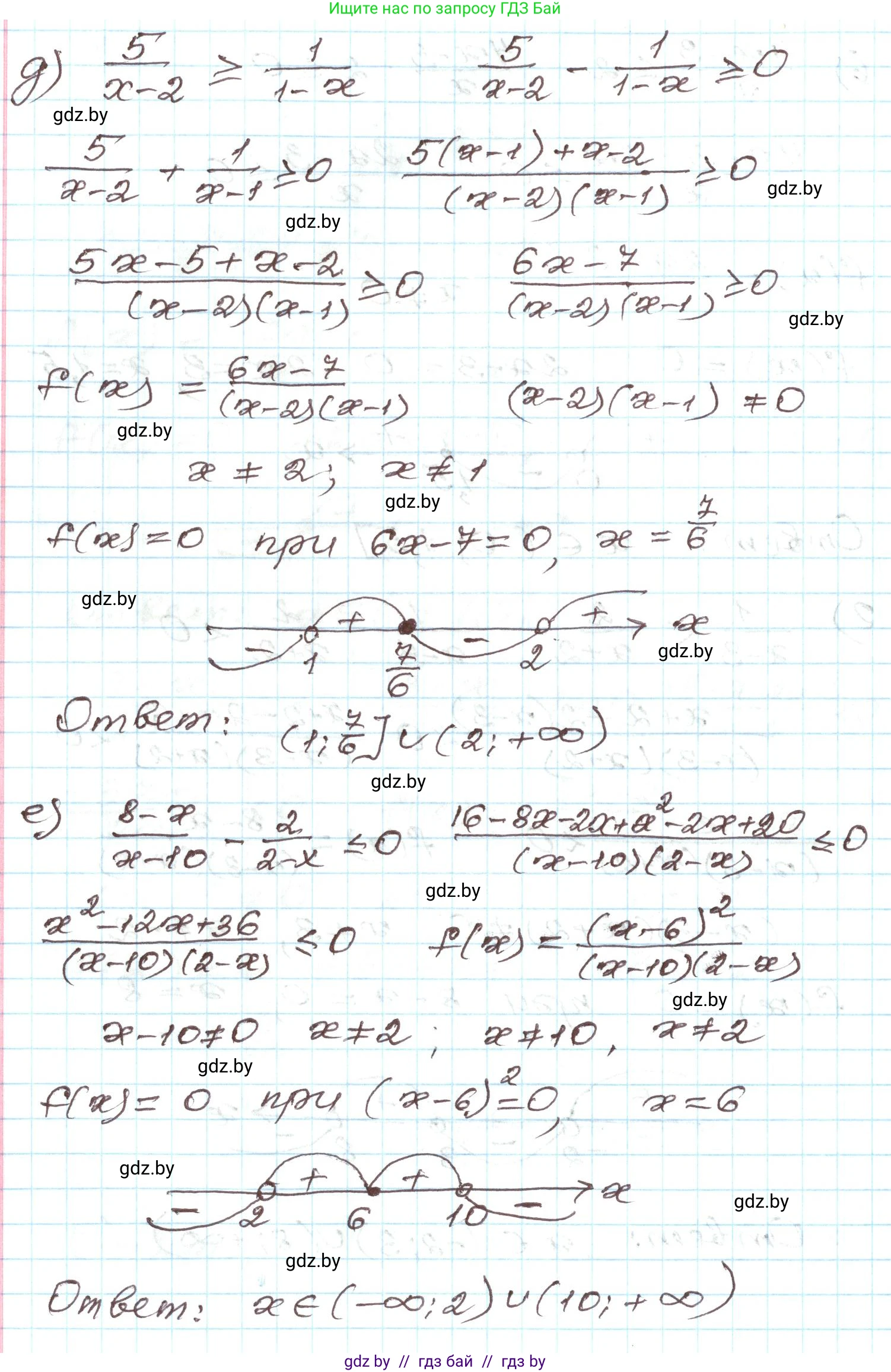
д) Решим неравенство $\frac{5}{x-2} \ge \frac{1}{1-x}$.

$\frac{5}{x-2} - \frac{1}{1-x} \ge 0$

$\frac{5}{x-2} + \frac{1}{x-1} \ge 0$

$\frac{5(x-1)+(x-2)}{(x-2)(x-1)} \ge 0$

$\frac{5x-5+x-2}{(x-2)(x-1)} \ge 0$

$\frac{6x-7}{(x-2)(x-1)} \ge 0$

Нули числителя: $6x-7=0 \Rightarrow x=\frac{7}{6}$. Нули знаменателя: $x=1, x=2$.

Точки $x=1, x=2$ выколотые, точка $x=\frac{7}{6}$ закрашенная.

Методом интервалов находим, что выражение неотрицательно при $x \in (1; \frac{7}{6}] \cup (2; \infty)$.

Ответ: $(1; \mathbf{1}\frac{1}{6}] \cup (2; \infty)$

е) Решим неравенство $\frac{8-x}{x-10} \le \frac{2}{2-x}$.

$\frac{8-x}{x-10} - \frac{2}{2-x} \le 0$

$\frac{8-x}{x-10} + \frac{2}{x-2} \le 0$

$\frac{(8-x)(x-2)+2(x-10)}{(x-10)(x-2)} \le 0$

$\frac{8x-16-x^2+2x+2x-20}{(x-10)(x-2)} \le 0$

$\frac{-x^2+12x-36}{(x-10)(x-2)} \le 0$

$\frac{-(x^2-12x+36)}{(x-10)(x-2)} \le 0 \Rightarrow \frac{(x-6)^2}{(x-10)(x-2)} \ge 0$

Числитель $(x-6)^2$ всегда неотрицателен. Неравенство выполняется, если числитель равен нулю ($x=6$) или если знаменатель положителен.

1. $x-6=0 \Rightarrow x=6$. Это решение.

2. $(x-10)(x-2) > 0$. Решение этого квадратного неравенства: $x \in (-\infty; 2) \cup (10; \infty)$.

Объединяем решения: $x \in (-\infty; 2) \cup \{6\} \cup (10; \infty)$.

Ответ: $(-\infty; 2) \cup \{6\} \cup (10; \infty)$

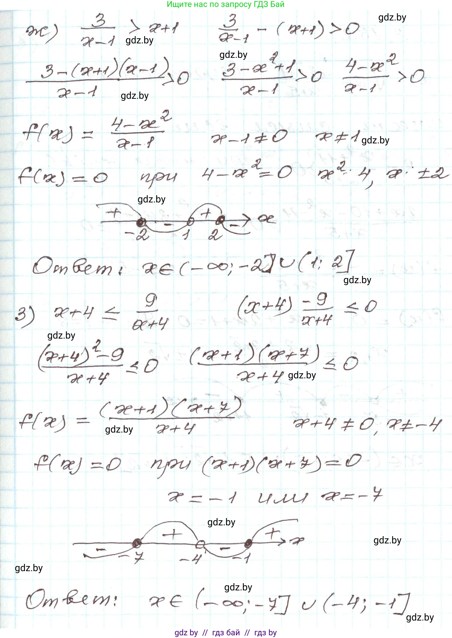
ж) Решим неравенство $\frac{3}{x-1} > x+1$.

$\frac{3}{x-1} - (x+1) > 0$

$\frac{3-(x-1)(x+1)}{x-1} > 0$

$\frac{3-(x^2-1)}{x-1} > 0$

$\frac{4-x^2}{x-1} > 0 \Rightarrow \frac{(2-x)(2+x)}{x-1} > 0$

$\frac{-(x-2)(x+2)}{x-1} > 0 \Rightarrow \frac{(x-2)(x+2)}{x-1} < 0$

Нули числителя: $x=2, x=-2$. Нуль знаменателя: $x=1$.

Все точки выколотые. Методом интервалов находим, что выражение отрицательно при $x \in (-\infty; -2) \cup (1; 2)$.

Ответ: $(-\infty; -2) \cup (1; 2)$

з) Решим неравенство $x+4 \le \frac{9}{x+4}$.

ОДЗ: $x+4 \neq 0 \Rightarrow x \neq -4$.

$x+4 - \frac{9}{x+4} \le 0$

$\frac{(x+4)^2-9}{x+4} \le 0$

$\frac{(x+4-3)(x+4+3)}{x+4} \le 0$

$\frac{(x+1)(x+7)}{x+4} \le 0$

Нули числителя: $x=-1, x=-7$. Нуль знаменателя: $x=-4$.

Точки $x=-1, x=-7$ закрашенные, точка $x=-4$ выколотая.

Методом интервалов находим, что выражение неположительно при $x \in (-\infty; -7] \cup (-4; -1]$.

Ответ: $(-\infty; -7] \cup (-4; -1]$

Помогло решение? Оставьте отзыв в комментариях ниже.

Присоединяйтесь к Телеграм-группе @gdz_by_belarus

Присоединиться

Мы подготовили для вас ответ c подробным объяснением домашего задания по алгебре за 9 класс, для упражнения номер 3.181 расположенного на странице 195 к учебнику 2019 года издания для учащихся школ и гимназий.

Теперь на нашем сайте ГДЗ.ТОП вы всегда легко и бесплатно найдёте условие с правильным ответом на вопрос «Как решить ДЗ» и «Как сделать» задание по алгебре к упражнению №3.181 (с. 195), авторов: Арефьева (Ирина Глебовна), Пирютко (Ольга Николаевна), учебного пособия издательства Народная асвета.