Номер 3.191, страница 196 - гдз по алгебре 9 класс учебник Арефьева, Пирютко

Алгебра, 9 класс Учебник, авторы: Арефьева Ирина Глебовна, Пирютко Ольга Николаевна, издательство Народная асвета, Минск, 2019, голубого цвета

Авторы: Арефьева И. Г., Пирютко О. Н.

Тип: Учебник

Издательство: Народная асвета

Год издания: 2019 - 2025

Цвет обложки: голубой, синий с графиком

ISBN: 978-985-03-3077-2

Допущено Министерством образования Республики Беларусь

Популярные ГДЗ в 9 классе

Глава 3. Дробно-рациональные уравнения и неравенства. Параграф 13. Дробно-рациональные неравенства. Метод интервалов для решения рациональных неравенств - номер 3.191, страница 196.

№3.191 (с. 196)
Условие. №3.191 (с. 196)
скриншот условия
Алгебра, 9 класс Учебник, авторы: Арефьева Ирина Глебовна, Пирютко Ольга Николаевна, издательство Народная асвета, Минск, 2019, голубого цвета, страница 196, номер 3.191, Условие

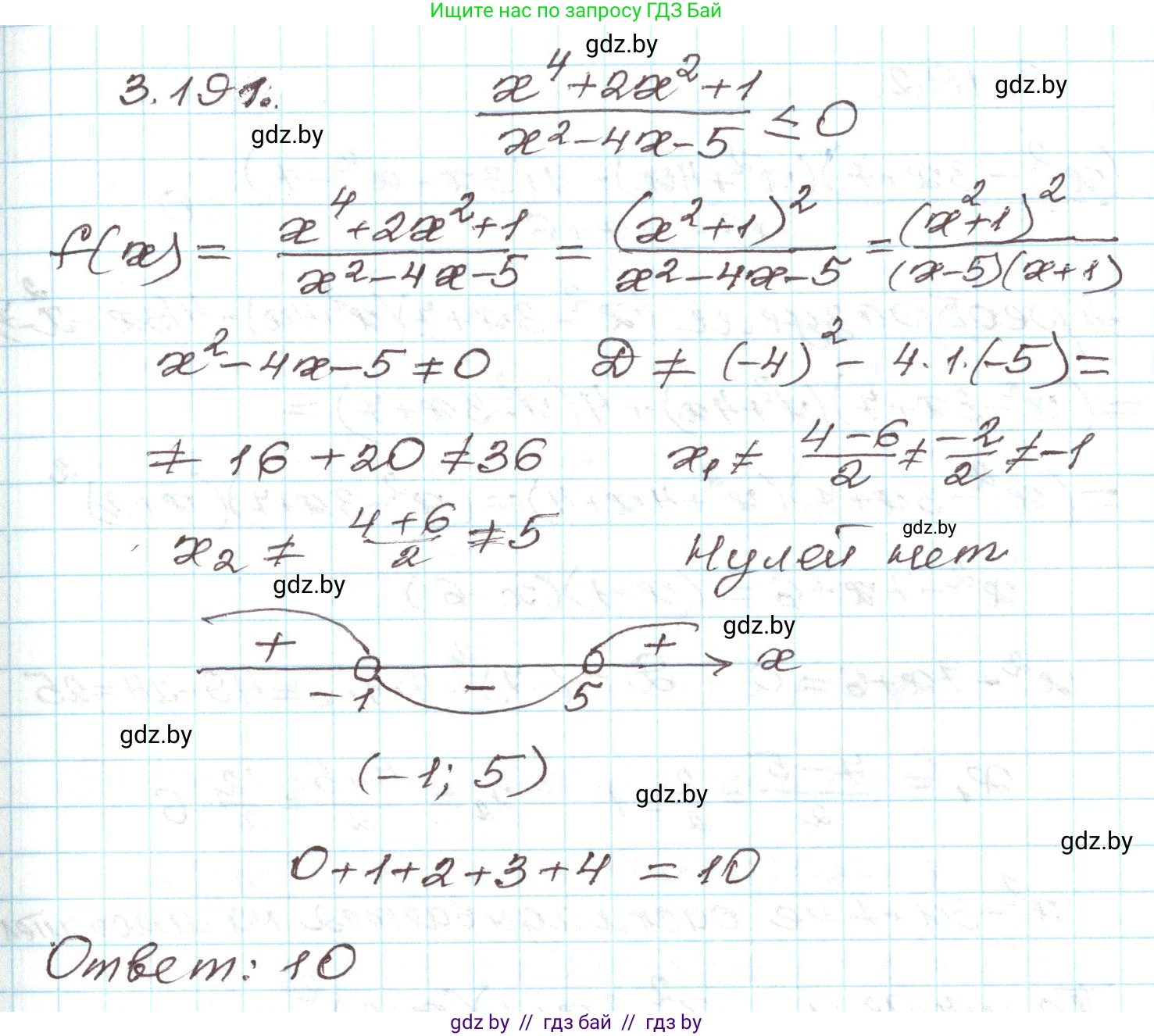
3.191*. Найдите сумму целых решений неравенства

$\frac{x^4 + 2x^2 + 1}{x^2 - 4x - 5} \le 0$.

Решение. №3.191 (с. 196)
Алгебра, 9 класс Учебник, авторы: Арефьева Ирина Глебовна, Пирютко Ольга Николаевна, издательство Народная асвета, Минск, 2019, голубого цвета, страница 196, номер 3.191, Решение
Решение 2. №3.191 (с. 196)
Найдите сумму целых решений неравенства $\frac{x^4 + 2x^2 + 1}{x^2 - 4x - 5} \le 0$:

Для решения данного неравенства проанализируем его числитель и знаменатель.

1. Анализ числителя.
Числитель дроби $x^4 + 2x^2 + 1$ можно представить как полный квадрат суммы, используя формулу $(a+b)^2 = a^2+2ab+b^2$, где $a = x^2$ и $b = 1$: $$ x^4 + 2x^2 + 1 = (x^2)^2 + 2 \cdot x^2 \cdot 1 + 1^2 = (x^2 + 1)^2 $$ Поскольку $x^2 \ge 0$ для любого действительного числа $x$, то выражение $x^2 + 1$ всегда будет больше или равно 1. Следовательно, числитель $(x^2 + 1)^2$ всегда является строго положительным числом, $(x^2+1)^2 \ge 1$.

2. Упрощение неравенства.
Так как числитель дроби всегда положителен, то знак всей дроби зависит только от знака знаменателя. Чтобы дробь была меньше или равна нулю ($\le 0$), знаменатель должен быть строго меньше нуля (знаменатель не может быть равен нулю, так как деление на ноль не определено). Таким образом, исходное неравенство равносильно следующему простому неравенству: $$ x^2 - 4x - 5 < 0 $$

3. Решение квадратного неравенства.
Найдем корни квадратного трехчлена $x^2 - 4x - 5$, решив уравнение $x^2 - 4x - 5 = 0$.
По теореме Виета:

  • Сумма корней: $x_1 + x_2 = 4$
  • Произведение корней: $x_1 \cdot x_2 = -5$

Отсюда легко находятся корни: $x_1 = 5$ и $x_2 = -1$.
Графиком функции $y = x^2 - 4x - 5$ является парабола с ветвями, направленными вверх. Значения функции отрицательны на интервале между корнями. Следовательно, решением неравенства $x^2 - 4x - 5 < 0$ является интервал $x \in (-1, 5)$.

4. Нахождение суммы целых решений.
Нам необходимо найти сумму целых чисел, которые принадлежат интервалу $(-1, 5)$. Выпишем эти числа: $$ 0, 1, 2, 3, 4 $$ Теперь вычислим их сумму: $$ S = 0 + 1 + 2 + 3 + 4 = 10 $$

Ответ: 10

Помогло решение? Оставьте отзыв в комментариях ниже.

Присоединяйтесь к Телеграм-группе @gdz_by_belarus

Присоединиться

Мы подготовили для вас ответ c подробным объяснением домашего задания по алгебре за 9 класс, для упражнения номер 3.191 расположенного на странице 196 к учебнику 2019 года издания для учащихся школ и гимназий.

Теперь на нашем сайте ГДЗ.ТОП вы всегда легко и бесплатно найдёте условие с правильным ответом на вопрос «Как решить ДЗ» и «Как сделать» задание по алгебре к упражнению №3.191 (с. 196), авторов: Арефьева (Ирина Глебовна), Пирютко (Ольга Николаевна), учебного пособия издательства Народная асвета.