Номер 5, страница 201 - гдз по алгебре 9 класс учебник Арефьева, Пирютко

Алгебра, 9 класс Учебник, авторы: Арефьева Ирина Глебовна, Пирютко Ольга Николаевна, издательство Народная асвета, Минск, 2019, голубого цвета

Авторы: Арефьева И. Г., Пирютко О. Н.

Тип: Учебник

Издательство: Народная асвета

Год издания: 2019 - 2025

Цвет обложки: голубой, синий с графиком

ISBN: 978-985-03-3077-2

Допущено Министерством образования Республики Беларусь

Популярные ГДЗ в 9 классе

Глава 3. Дробно-рациональные уравнения и неравенства. Я проверяю свои знания - номер 5, страница 201.

№5 (с. 201)
Условие. №5 (с. 201)
скриншот условия
Алгебра, 9 класс Учебник, авторы: Арефьева Ирина Глебовна, Пирютко Ольга Николаевна, издательство Народная асвета, Минск, 2019, голубого цвета, страница 201, номер 5, Условие

5. Решите неравенство методом интервалов:

а) $(x - 3)(2x + 5)(x - 8) > 0;$

б) $\frac{(x - 3)(5 - x)}{6x + 1} \le 0;$

в) $(x^2 - 4)(x - 3)(x^2 + 10x + 25) < 0;$

г) $\frac{x^2 (x - 1)(x + 2)}{x - 3} \le 0;$

д) $\frac{(x^2 - 9)(x^2 + 2x + 1)}{25 - x^2} \ge 0.$

Решение. №5 (с. 201)
Алгебра, 9 класс Учебник, авторы: Арефьева Ирина Глебовна, Пирютко Ольга Николаевна, издательство Народная асвета, Минск, 2019, голубого цвета, страница 201, номер 5, Решение Алгебра, 9 класс Учебник, авторы: Арефьева Ирина Глебовна, Пирютко Ольга Николаевна, издательство Народная асвета, Минск, 2019, голубого цвета, страница 201, номер 5, Решение (продолжение 2)
Решение 2. №5 (с. 201)

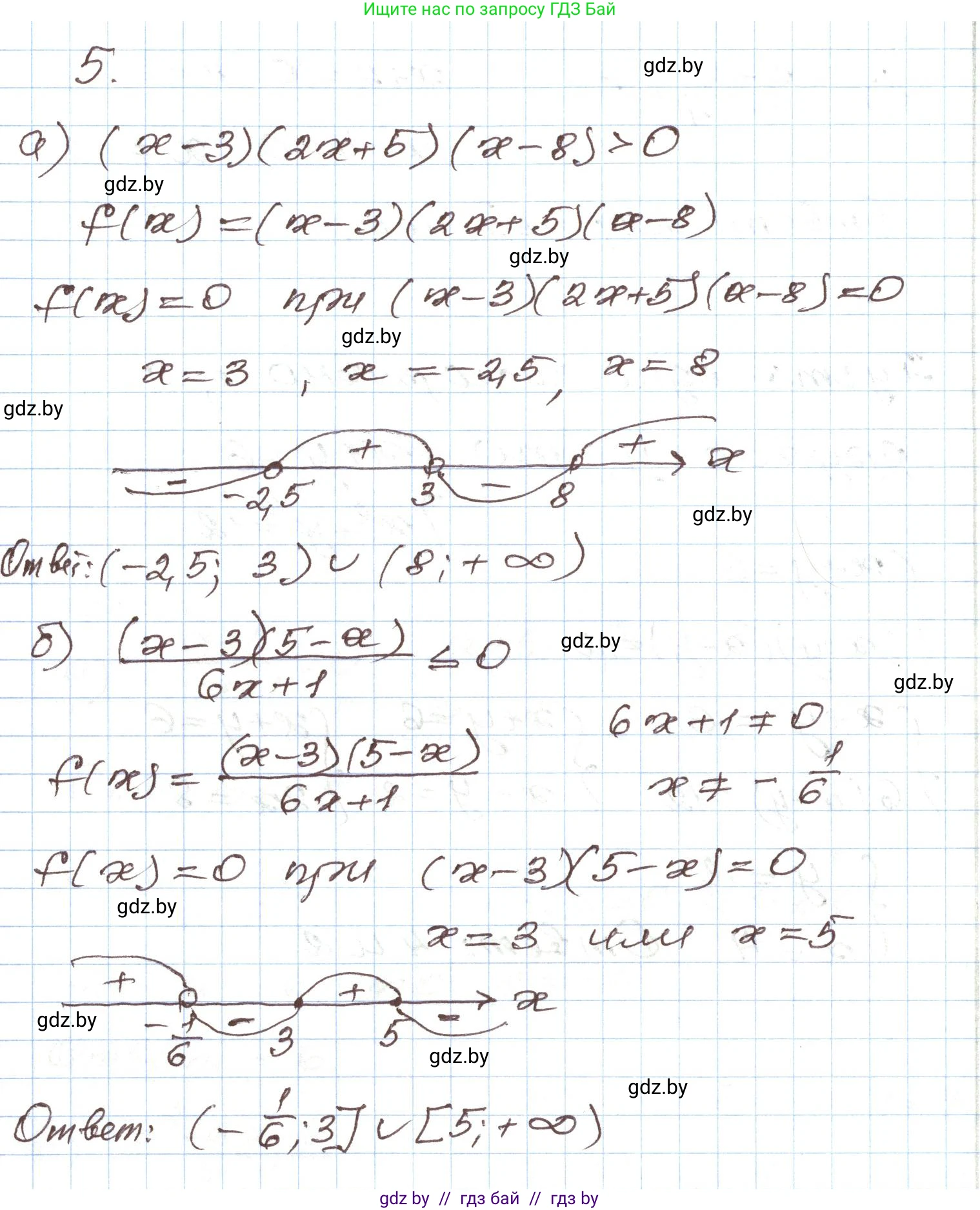
а) Решим неравенство $(x-3)(2x+5)(x-8) > 0$.

  1. Найдем нули функции $f(x) = (x-3)(2x+5)(x-8)$. Для этого приравняем каждый множитель к нулю:
    • $x-3=0 \Rightarrow x_1 = 3$
    • $2x+5=0 \Rightarrow 2x = -5 \Rightarrow x_2 = -2.5$
    • $x-8=0 \Rightarrow x_3 = 8$
  2. Отметим найденные точки на числовой оси. Так как неравенство строгое ($>$), все точки будут выколотыми (не включенными в решение). Точки $-2.5, 3, 8$ разбивают ось на четыре интервала.
  3. Определим знак выражения на каждом интервале, подставляя любое значение из интервала в исходное выражение:
    • Интервал $(8, +\infty)$: возьмем $x=10$. $(10-3)(2 \cdot 10+5)(10-8) = 7 \cdot 25 \cdot 2 > 0$. Знак "+".
    • Интервал $(3, 8)$: возьмем $x=5$. $(5-3)(2 \cdot 5+5)(5-8) = 2 \cdot 15 \cdot (-3) < 0$. Знак "-".
    • Интервал $(-2.5, 3)$: возьмем $x=0$. $(0-3)(0+5)(0-8) = (-3) \cdot 5 \cdot (-8) > 0$. Знак "+".
    • Интервал $(-\infty, -2.5)$: возьмем $x=-3$. $(-3-3)(2 \cdot (-3)+5)(-3-8) = (-6) \cdot (-1) \cdot (-11) < 0$. Знак "-".
    Получаем следующую расстановку знаков на числовой оси: $(-\infty, -2.5) \rightarrow -, (-2.5, 3) \rightarrow +, (3, 8) \rightarrow -, (8, +\infty) \rightarrow +$.
  4. Так как нам нужны значения $x$, при которых выражение больше нуля, выбираем интервалы со знаком "+".

Ответ: $x \in (-\textbf{2}\frac{1}{2}, 3) \cup (8, +\infty)$

б) Решим неравенство $\frac{(x-3)(5-x)}{6x+1} \le 0$.

  1. Для удобства приведем неравенство к стандартному виду, где переменная $x$ стоит на первом месте. Для этого в множителе $(5-x)$ вынесем минус за скобки: $5-x = -(x-5)$.
    $\frac{(x-3)(-(x-5))}{6x+1} \le 0$
    Умножим обе части неравенства на $-1$, изменив при этом знак неравенства на противоположный:
    $\frac{(x-3)(x-5)}{6x+1} \ge 0$
  2. Найдем нули числителя и знаменателя.
    • Нули числителя: $(x-3)(x-5)=0 \Rightarrow x_1=3, x_2=5$. Так как неравенство нестрогое ($\ge$), эти точки включаются в решение.
    • Нуль знаменателя: $6x+1=0 \Rightarrow x_3 = -1/6$. Эта точка исключается из решения, так как знаменатель не может быть равен нулю.
  3. Отметим точки на числовой оси: $-1/6$ (выколотая), $3$ (закрашенная), $5$ (закрашенная).
  4. Определим знак выражения $\frac{(x-3)(x-5)}{6x+1}$ на каждом интервале:
    • Интервал $(5, +\infty)$: возьмем $x=6$. $\frac{(+)(+)}{(+)} > 0$. Знак "+".
    • Интервал $(3, 5)$: возьмем $x=4$. $\frac{(+)(-)}{(+)} < 0$. Знак "-".
    • Интервал $(-1/6, 3)$: возьмем $x=0$. $\frac{(-)(-)}{(+)} > 0$. Знак "+".
    • Интервал $(-\infty, -1/6)$: возьмем $x=-1$. $\frac{(-)(-)}{(-)} < 0$. Знак "-".
  5. Нам нужны значения $x$, при которых выражение $\frac{(x-3)(x-5)}{6x+1}$ больше или равно нулю ($\ge 0$). Выбираем интервалы со знаком "+" и включаем закрашенные точки.

Ответ: $x \in (-\frac{1}{6}, 3] \cup [5, +\infty)$

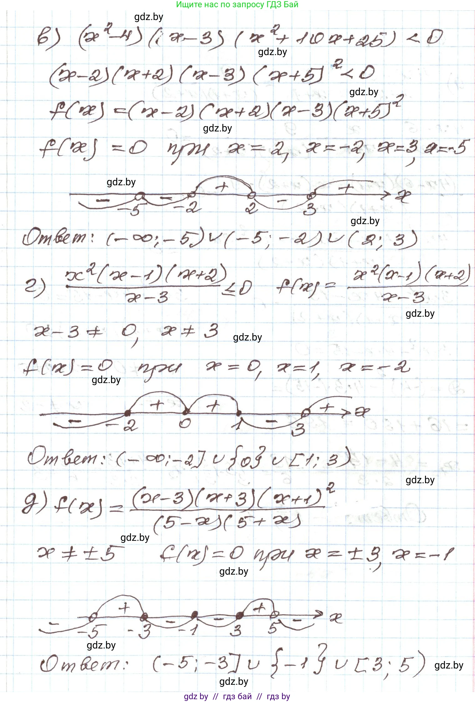
в) Решим неравенство $(x^2-4)(x-3)(x^2+10x+25) < 0$.

  1. Разложим выражения в скобках на множители:
    • $x^2-4 = (x-2)(x+2)$ (разность квадратов).
    • $x^2+10x+25 = (x+5)^2$ (полный квадрат).
    Неравенство принимает вид: $(x-2)(x+2)(x-3)(x+5)^2 < 0$.
  2. Найдем нули выражения: $x=2, x=-2, x=3, x=-5$. Все точки выколотые, так как неравенство строгое.
  3. Отметим, что множитель $(x+5)^2$ имеет четную степень. Это значит, что при переходе через точку $x=-5$ знак всего выражения меняться не будет. Также, поскольку $(x+5)^2 \ge 0$ при всех $x$, и неравенство строгое ($<0$), то $x \ne -5$.
  4. Определим знаки на интервалах, которые образуют точки $-5, -2, 2, 3$.
    • Интервал $(3, +\infty)$: возьмем $x=4$. $(+)(+)(+)(+) > 0$. Знак "+".
    • Интервал $(2, 3)$: возьмем $x=2.5$. $(+)(+)(-)(+) < 0$. Знак "-".
    • Интервал $(-2, 2)$: возьмем $x=0$. $(-)(+)(-)(+) > 0$. Знак "+".
    • Интервал $(-5, -2)$: возьмем $x=-3$. $(-)(-)(-)(+) < 0$. Знак "-".
    • Интервал $(-\infty, -5)$: возьмем $x=-6$. $(-)(-)(-)(+) < 0$. Знак "-".
  5. Выбираем интервалы со знаком "-".

Ответ: $x \in (-\infty, -5) \cup (-5, -2) \cup (2, 3)$

г) Решим неравенство $\frac{x^2(x-1)(x+2)}{x-3} \le 0$.

  1. Найдем нули числителя и знаменателя.
    • Нули числителя: $x^2=0 \Rightarrow x=0$; $x-1=0 \Rightarrow x=1$; $x+2=0 \Rightarrow x=-2$. Эти точки включаются в решение.
    • Нуль знаменателя: $x-3=0 \Rightarrow x=3$. Эта точка исключается.
  2. Отметим точки на числовой оси: $-2, 0, 1$ (закрашенные), $3$ (выколотая).
  3. Множитель $x^2$ имеет четную степень, поэтому при переходе через точку $x=0$ знак выражения не меняется.
  4. Определим знаки на интервалах:
    • Интервал $(3, +\infty)$: возьмем $x=4$. $\frac{(+)(+)(+)}{(+)} > 0$. Знак "+".
    • Интервал $(1, 3)$: возьмем $x=2$. $\frac{(+)(+)(+)}{(-)} < 0$. Знак "-".
    • Интервал $(0, 1)$: возьмем $x=0.5$. $\frac{(+)(-)(+)}{(-)} > 0$. Знак "+".
    • Интервал $(-2, 0)$: возьмем $x=-1$. $\frac{(+)(-)(+)}{(-)} > 0$. Знак "+".
    • Интервал $(-\infty, -2)$: возьмем $x=-3$. $\frac{(+)(-)(-)}{(-)} < 0$. Знак "-".
  5. Выбираем интервалы со знаком "-" и добавляем точки, в которых выражение равно нулю. Интервалы, где выражение $<0$: $(-\infty, -2)$ и $(1, 3)$. Точки, где выражение $=0$: $x=-2, x=0, x=1$. Объединяем: $x=-2$ включается в первый интервал, $x=1$ во второй. Точка $x=0$ является изолированным решением.

Ответ: $x \in (-\infty, -2] \cup \{0\} \cup [1, 3)$

д) Решим неравенство $\frac{(x^2-9)(x^2+2x+1)}{25-x^2} \ge 0$.

  1. Разложим на множители и приведем к стандартному виду: $\frac{(x-3)(x+3)(x+1)^2}{(5-x)(5+x)} \ge 0$
    $\frac{(x-3)(x+3)(x+1)^2}{-(x-5)(x+5)} \ge 0$
    Умножим на $-1$ и сменим знак неравенства: $\frac{(x-3)(x+3)(x+1)^2}{(x-5)(x+5)} \le 0$
  2. Найдем нули числителя и знаменателя.
    • Нули числителя: $x=3, x=-3, x=-1$. Эти точки включаются в решение.
    • Нули знаменателя: $x=5, x=-5$. Эти точки исключаются.
  3. Отметим точки на числовой оси: $-5$ (выколотая), $-3$ (закрашенная), $-1$ (закрашенная), $3$ (закрашенная), $5$ (выколотая).
  4. Множитель $(x+1)^2$ имеет четную степень, поэтому при переходе через точку $x=-1$ знак не меняется.
  5. Определим знаки выражения $\frac{(x-3)(x+3)}{(x-5)(x+5)}$ на интервалах (так как $(x+1)^2 \ge 0$):
    • Интервал $(5, +\infty)$: возьмем $x=6$. $\frac{(+)(+)}{(+)(+)} > 0$. Знак "+".
    • Интервал $(3, 5)$: возьмем $x=4$. $\frac{(+)(+)}{(-)(+)} < 0$. Знак "-".
    • Интервал $(-1, 3)$: возьмем $x=0$. $\frac{(-)(+)}{(-)(+)} > 0$. Знак "+".
    • Интервал $(-3, -1)$: возьмем $x=-2$. $\frac{(-)(+)}{(-)(+)} > 0$. Знак "+".
    • Интервал $(-5, -3)$: возьмем $x=-4$. $\frac{(-)(-)}{(-)(+)} < 0$. Знак "-".
    • Интервал $(-\infty, -5)$: возьмем $x=-6$. $\frac{(-)(-)}{(-)(-)} > 0$. Знак "+".
  6. Выбираем интервалы со знаком "-" и добавляем точки, в которых выражение равно нулю. Интервалы, где выражение $<0$: $(-5, -3)$ и $(3, 5)$. Точки, где выражение $=0$: $x=-3, x=3, x=-1$. Объединяем: $x=-3$ и $x=3$ включаются в концы интервалов. Точка $x=-1$ является изолированным решением.

Ответ: $x \in (-5, -3] \cup \{-1\} \cup [3, 5)$

Помогло решение? Оставьте отзыв в комментариях ниже.

Присоединяйтесь к Телеграм-группе @gdz_by_belarus

Присоединиться

Мы подготовили для вас ответ c подробным объяснением домашего задания по алгебре за 9 класс, для упражнения номер 5 расположенного на странице 201 к учебнику 2019 года издания для учащихся школ и гимназий.

Теперь на нашем сайте ГДЗ.ТОП вы всегда легко и бесплатно найдёте условие с правильным ответом на вопрос «Как решить ДЗ» и «Как сделать» задание по алгебре к упражнению №5 (с. 201), авторов: Арефьева (Ирина Глебовна), Пирютко (Ольга Николаевна), учебного пособия издательства Народная асвета.