Номер 4.184, страница 242 - гдз по алгебре 9 класс учебник Арефьева, Пирютко

Алгебра, 9 класс Учебник, авторы: Арефьева Ирина Глебовна, Пирютко Ольга Николаевна, издательство Народная асвета, Минск, 2019, голубого цвета

Авторы: Арефьева И. Г., Пирютко О. Н.

Тип: Учебник

Издательство: Народная асвета

Год издания: 2019 - 2025

Цвет обложки: голубой, синий с графиком

ISBN: 978-985-03-3077-2

Допущено Министерством образования Республики Беларусь

Популярные ГДЗ в 9 классе

Глава 4. Прогрессии. Параграф 17. Геометрическая прогрессия - номер 4.184, страница 242.

№4.184 (с. 242)
Условие. №4.184 (с. 242)
скриншот условия
Алгебра, 9 класс Учебник, авторы: Арефьева Ирина Глебовна, Пирютко Ольга Николаевна, издательство Народная асвета, Минск, 2019, голубого цвета, страница 242, номер 4.184, Условие

4.184. Запишите формулу $n$-го члена и найдите $b_5$ и $b_7$ для геометрической прогрессии $(b_n)$:

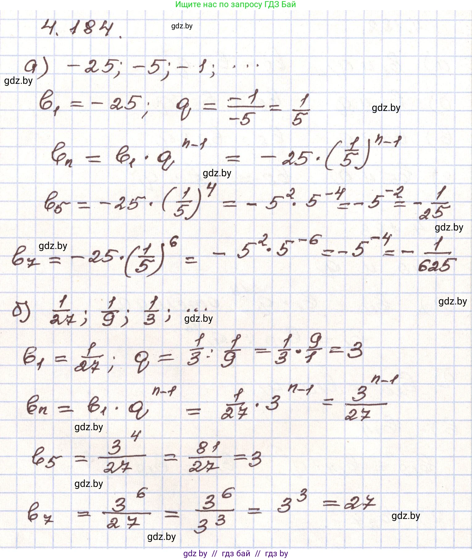
a) -25; -5; -1; ...;

б) $\frac{1}{27}$; $\frac{1}{9}$; $\frac{1}{3}$; ...;

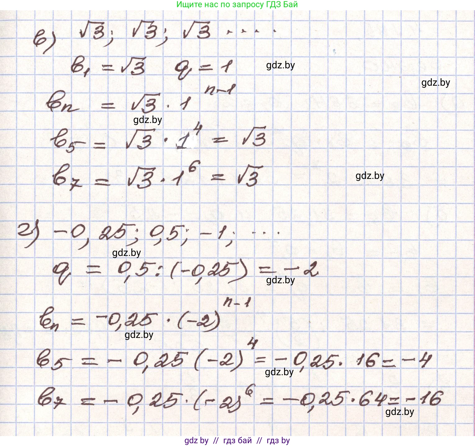
в) $\sqrt{3}$; $\sqrt{3}$; $\sqrt{3}$; ...;

г) -0,25; 0,5; -1; ... .

Решение. №4.184 (с. 242)
Алгебра, 9 класс Учебник, авторы: Арефьева Ирина Глебовна, Пирютко Ольга Николаевна, издательство Народная асвета, Минск, 2019, голубого цвета, страница 242, номер 4.184, Решение Алгебра, 9 класс Учебник, авторы: Арефьева Ирина Глебовна, Пирютко Ольга Николаевна, издательство Народная асвета, Минск, 2019, голубого цвета, страница 242, номер 4.184, Решение (продолжение 2)
Решение 2. №4.184 (с. 242)

а) Для геометрической прогрессии $-25; -5; -1; ...$ первый член $b_1 = -25$.
Знаменатель прогрессии $q$ находится как отношение последующего члена к предыдущему: $q = \frac{-5}{-25} = \frac{1}{5}$.
Формула $n$-го члена геометрической прогрессии: $b_n = b_1 \cdot q^{n-1}$.
Для данной прогрессии формула имеет вид: $b_n = -25 \cdot (\frac{1}{5})^{n-1}$.
Теперь вычислим $b_5$ и $b_7$, подставив в формулу $n=5$ и $n=7$ соответственно:
$b_5 = -25 \cdot (\frac{1}{5})^{5-1} = -25 \cdot (\frac{1}{5})^4 = -25 \cdot \frac{1}{625} = -\frac{25}{625} = -\frac{1}{25}$.
$b_7 = -25 \cdot (\frac{1}{5})^{7-1} = -25 \cdot (\frac{1}{5})^6 = -25 \cdot \frac{1}{15625} = -\frac{25}{15625} = -\frac{1}{625}$.
Ответ: Формула $n$-го члена $b_n = -25 \cdot (\frac{1}{5})^{n-1}$, $b_5 = -\frac{1}{25}$, $b_7 = -\frac{1}{625}$.

б) Для геометрической прогрессии $\frac{1}{27}; \frac{1}{9}; \frac{1}{3}; ...$ первый член $b_1 = \frac{1}{27}$.
Знаменатель прогрессии: $q = \frac{1/9}{1/27} = \frac{1}{9} \cdot 27 = 3$.
Формула $n$-го члена: $b_n = \frac{1}{27} \cdot 3^{n-1}$.
Вычислим $b_5$ и $b_7$:
$b_5 = \frac{1}{27} \cdot 3^{5-1} = \frac{1}{27} \cdot 3^4 = \frac{81}{27} = 3$.
$b_7 = \frac{1}{27} \cdot 3^{7-1} = \frac{1}{27} \cdot 3^6 = \frac{729}{27} = 27$.
Ответ: Формула $n$-го члена $b_n = \frac{1}{27} \cdot 3^{n-1}$, $b_5 = 3$, $b_7 = 27$.

в) Для геометрической прогрессии $\sqrt{3}; \sqrt{3}; \sqrt{3}; ...$ первый член $b_1 = \sqrt{3}$.
Знаменатель прогрессии: $q = \frac{\sqrt{3}}{\sqrt{3}} = 1$.
Формула $n$-го члена: $b_n = \sqrt{3} \cdot 1^{n-1} = \sqrt{3}$.
Так как знаменатель равен 1, все члены прогрессии равны первому члену.
Следовательно, $b_5 = \sqrt{3}$ и $b_7 = \sqrt{3}$.
Ответ: Формула $n$-го члена $b_n = \sqrt{3}$, $b_5 = \sqrt{3}$, $b_7 = \sqrt{3}$.

г) Для геометрической прогрессии $-0,25; 0,5; -1; ...$ первый член $b_1 = -0,25$.
Знаменатель прогрессии: $q = \frac{0,5}{-0,25} = -2$.
Формула $n$-го члена: $b_n = -0,25 \cdot (-2)^{n-1}$.
Вычислим $b_5$ и $b_7$:
$b_5 = -0,25 \cdot (-2)^{5-1} = -0,25 \cdot (-2)^4 = -0,25 \cdot 16 = -4$.
$b_7 = -0,25 \cdot (-2)^{7-1} = -0,25 \cdot (-2)^6 = -0,25 \cdot 64 = -16$.
Ответ: Формула $n$-го члена $b_n = -0,25 \cdot (-2)^{n-1}$, $b_5 = -4$, $b_7 = -16$.

Помогло решение? Оставьте отзыв в комментариях ниже.

Присоединяйтесь к Телеграм-группе @gdz_by_belarus

Присоединиться

Мы подготовили для вас ответ c подробным объяснением домашего задания по алгебре за 9 класс, для упражнения номер 4.184 расположенного на странице 242 к учебнику 2019 года издания для учащихся школ и гимназий.

Теперь на нашем сайте ГДЗ.ТОП вы всегда легко и бесплатно найдёте условие с правильным ответом на вопрос «Как решить ДЗ» и «Как сделать» задание по алгебре к упражнению №4.184 (с. 242), авторов: Арефьева (Ирина Глебовна), Пирютко (Ольга Николаевна), учебного пособия издательства Народная асвета.