Номер 4.213, страница 245 - гдз по алгебре 9 класс учебник Арефьева, Пирютко

Алгебра, 9 класс Учебник, авторы: Арефьева Ирина Глебовна, Пирютко Ольга Николаевна, издательство Народная асвета, Минск, 2019, голубого цвета

Авторы: Арефьева И. Г., Пирютко О. Н.

Тип: Учебник

Издательство: Народная асвета

Год издания: 2019 - 2025

Цвет обложки: голубой, синий с графиком

ISBN: 978-985-03-3077-2

Допущено Министерством образования Республики Беларусь

Популярные ГДЗ в 9 классе

Глава 4. Прогрессии. Параграф 17. Геометрическая прогрессия - номер 4.213, страница 245.

№4.213 (с. 245)
Условие. №4.213 (с. 245)
скриншот условия
Алгебра, 9 класс Учебник, авторы: Арефьева Ирина Глебовна, Пирютко Ольга Николаевна, издательство Народная асвета, Минск, 2019, голубого цвета, страница 245, номер 4.213, Условие

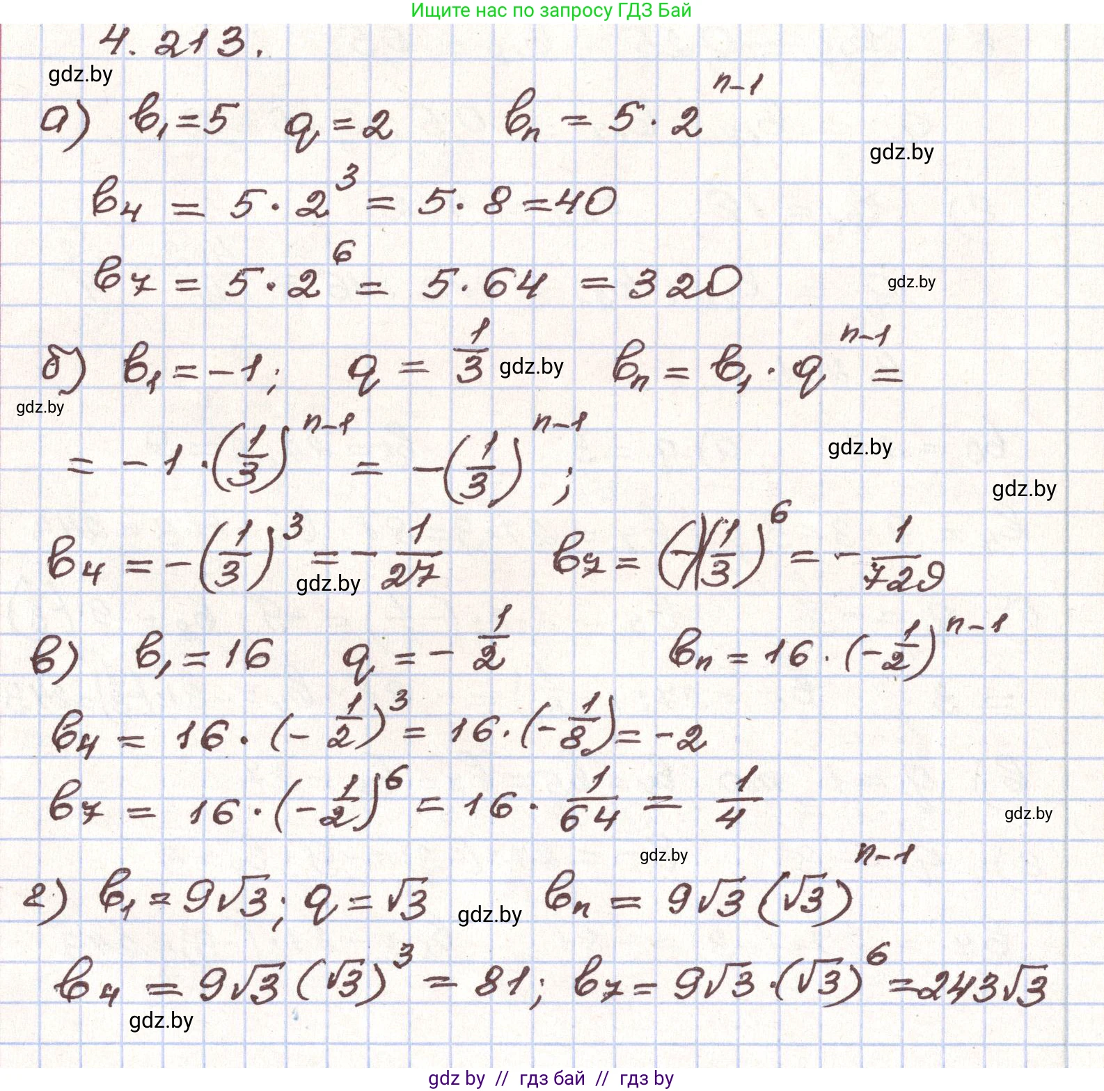
4.213. В геометрической прогрессии ($b_n$) известны первый член $b_1$ и знаменатель $q$. Запишите формулу n-го члена этой прогрессии и найдите $b_4$ и $b_7$, если:

а) $b_1 = 5, q = 2;$

б) $b_1 = -1, q = \frac{1}{3};$

в) $b_1 = 16, q = -\frac{1}{2};$

г) $b_1 = 9\sqrt{3}, q = \sqrt{3}.$

Решение. №4.213 (с. 245)
Алгебра, 9 класс Учебник, авторы: Арефьева Ирина Глебовна, Пирютко Ольга Николаевна, издательство Народная асвета, Минск, 2019, голубого цвета, страница 245, номер 4.213, Решение
Решение 2. №4.213 (с. 245)

Общая формула для n-го члена геометрической прогрессии ($b_n$):

$b_n = b_1 \cdot q^{n-1}$

где $b_1$ — первый член прогрессии, а $q$ — её знаменатель.


а) Дано: $b_1 = 5$, $q = 2$.

Формула n-го члена для этого случая: $b_n = 5 \cdot 2^{n-1}$.

Найдем $b_4$:

$b_4 = 5 \cdot 2^{4-1} = 5 \cdot 2^3 = 5 \cdot 8 = 40$.

Найдем $b_7$:

$b_7 = 5 \cdot 2^{7-1} = 5 \cdot 2^6 = 5 \cdot 64 = 320$.

Ответ: $b_4 = \textbf{40}$, $b_7 = \textbf{320}$.


б) Дано: $b_1 = -1$, $q = \frac{1}{3}$.

Формула n-го члена для этого случая: $b_n = -1 \cdot (\frac{1}{3})^{n-1} = -(\frac{1}{3})^{n-1}$.

Найдем $b_4$:

$b_4 = -1 \cdot (\frac{1}{3})^{4-1} = -1 \cdot (\frac{1}{3})^3 = -1 \cdot \frac{1}{27} = -\frac{1}{27}$.

Найдем $b_7$:

$b_7 = -1 \cdot (\frac{1}{3})^{7-1} = -1 \cdot (\frac{1}{3})^6 = -1 \cdot \frac{1}{729} = -\frac{1}{729}$.

Ответ: $b_4 = -\frac{1}{27}$, $b_7 = -\frac{1}{729}$.


в) Дано: $b_1 = 16$, $q = -\frac{1}{2}$.

Формула n-го члена для этого случая: $b_n = 16 \cdot (-\frac{1}{2})^{n-1}$.

Найдем $b_4$:

$b_4 = 16 \cdot (-\frac{1}{2})^{4-1} = 16 \cdot (-\frac{1}{2})^3 = 16 \cdot (-\frac{1}{8}) = -\frac{16}{8} = -2$.

Найдем $b_7$:

$b_7 = 16 \cdot (-\frac{1}{2})^{7-1} = 16 \cdot (-\frac{1}{2})^6 = 16 \cdot \frac{1}{64} = \frac{16}{64} = \frac{1}{4}$.

Ответ: $b_4 = \textbf{-2}$, $b_7 = \frac{1}{4}$.


г) Дано: $b_1 = 9\sqrt{3}$, $q = \sqrt{3}$.

Формула n-го члена для этого случая: $b_n = 9\sqrt{3} \cdot (\sqrt{3})^{n-1}$. Эту формулу можно упростить, используя свойства степеней: $b_n = 9 \cdot (\sqrt{3})^1 \cdot (\sqrt{3})^{n-1} = 9 \cdot (\sqrt{3})^{n}$.

Найдем $b_4$:

$b_4 = 9\sqrt{3} \cdot (\sqrt{3})^{4-1} = 9\sqrt{3} \cdot (\sqrt{3})^3 = 9\sqrt{3} \cdot 3\sqrt{3} = 27 \cdot (\sqrt{3} \cdot \sqrt{3}) = 27 \cdot 3 = 81$.

Найдем $b_7$:

$b_7 = 9\sqrt{3} \cdot (\sqrt{3})^{7-1} = 9\sqrt{3} \cdot (\sqrt{3})^6 = 9\sqrt{3} \cdot ((\sqrt{3})^2)^3 = 9\sqrt{3} \cdot 3^3 = 9\sqrt{3} \cdot 27 = 243\sqrt{3}$.

Ответ: $b_4 = \textbf{81}$, $b_7 = 243\sqrt{3}$.

Помогло решение? Оставьте отзыв в комментариях ниже.

Присоединяйтесь к Телеграм-группе @gdz_by_belarus

Присоединиться

Мы подготовили для вас ответ c подробным объяснением домашего задания по алгебре за 9 класс, для упражнения номер 4.213 расположенного на странице 245 к учебнику 2019 года издания для учащихся школ и гимназий.

Теперь на нашем сайте ГДЗ.ТОП вы всегда легко и бесплатно найдёте условие с правильным ответом на вопрос «Как решить ДЗ» и «Как сделать» задание по алгебре к упражнению №4.213 (с. 245), авторов: Арефьева (Ирина Глебовна), Пирютко (Ольга Николаевна), учебного пособия издательства Народная асвета.