Номер 4.262, страница 253 - гдз по алгебре 9 класс учебник Арефьева, Пирютко

Алгебра, 9 класс Учебник, авторы: Арефьева Ирина Глебовна, Пирютко Ольга Николаевна, издательство Народная асвета, Минск, 2019, голубого цвета

Авторы: Арефьева И. Г., Пирютко О. Н.

Тип: Учебник

Издательство: Народная асвета

Год издания: 2019 - 2025

Цвет обложки: голубой, синий с графиком

ISBN: 978-985-03-3077-2

Допущено Министерством образования Республики Беларусь

Популярные ГДЗ в 9 классе

Глава 4. Прогрессии. Параграф 18. Формула суммы n первых членов геометрической прогрессии - номер 4.262, страница 253.

№4.262 (с. 253)
Условие. №4.262 (с. 253)
скриншот условия
Алгебра, 9 класс Учебник, авторы: Арефьева Ирина Глебовна, Пирютко Ольга Николаевна, издательство Народная асвета, Минск, 2019, голубого цвета, страница 253, номер 4.262, Условие

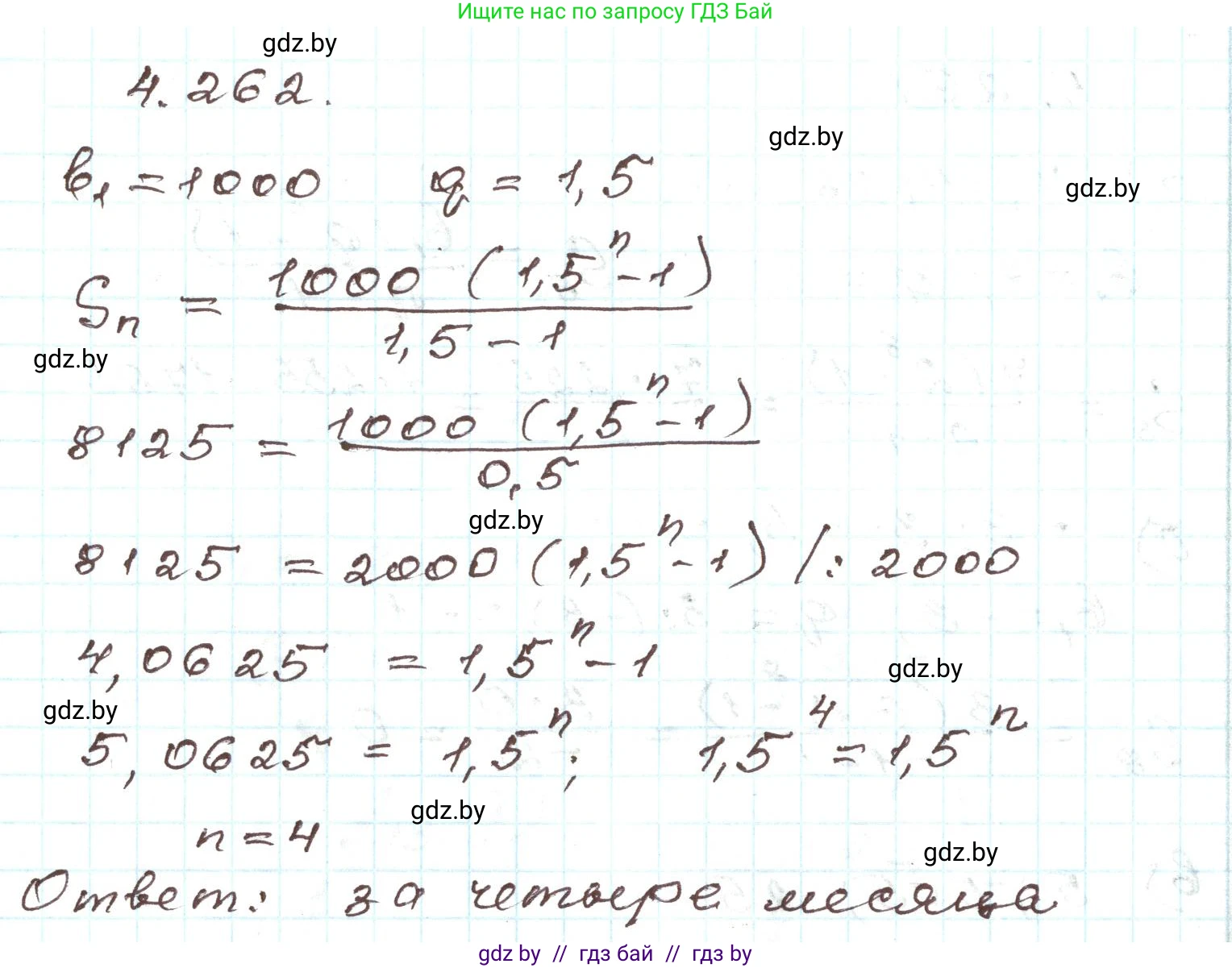
4.262. На предприятии планируют благодаря эффективной рекламной кампании в первый месяц дополнительно реализовать 1000 изделий. Далее предполагается ежемесячное увеличение дополнительной реализации в 1,5 раза. За сколько месяцев предприятие сможет реализовать по этому плану дополнительно 8125 изделий?

Решение. №4.262 (с. 253)
Алгебра, 9 класс Учебник, авторы: Арефьева Ирина Глебовна, Пирютко Ольга Николаевна, издательство Народная асвета, Минск, 2019, голубого цвета, страница 253, номер 4.262, Решение
Решение 2. №4.262 (с. 253)

Данная задача описывает нахождение количества членов геометрической прогрессии по её сумме. Количество дополнительно реализованных изделий по месяцам представляет собой геометрическую прогрессию. Определим её параметры на основе условий задачи:

  • Первый член прогрессии $b_1$ (количество изделий в первый месяц) = 1000.
  • Знаменатель прогрессии $q$ (коэффициент увеличения) = 1,5.
  • Сумма первых $n$ членов прогрессии $S_n$ (общее количество изделий за $n$ месяцев) = 8125.

Необходимо найти количество месяцев $n$.

Для нахождения суммы первых $n$ членов геометрической прогрессии используется формула:

$S_n = \frac{b_1(q^n - 1)}{q - 1}$

Подставим в формулу известные значения:

$8125 = \frac{1000(1.5^n - 1)}{1.5 - 1}$

Теперь решим полученное уравнение:

$8125 = \frac{1000(1.5^n - 1)}{0.5}$

$8125 = 2000 \cdot (1.5^n - 1)$

Выразим скобку $(1.5^n - 1)$:

$1.5^n - 1 = \frac{8125}{2000}$

Сократим дробь $\frac{8125}{2000}$ на 125:

$\frac{8125 \div 125}{2000 \div 125} = \frac{65}{16}$

Уравнение принимает вид:

$1.5^n - 1 = \frac{65}{16}$

$1.5^n = \frac{65}{16} + 1 = \frac{65 + 16}{16} = \frac{81}{16}$

Чтобы найти $n$, представим обе части уравнения в виде степени с одинаковым основанием. Заменим 1,5 на дробь $\frac{3}{2}$ и представим $\frac{81}{16}$ в виде степени этой дроби:

$(\frac{3}{2})^n = \frac{3^4}{2^4} = (\frac{3}{2})^4$

Из равенства $(\frac{3}{2})^n = (\frac{3}{2})^4$ следует, что показатели степеней равны:

$n = 4$

Таким образом, предприятию потребуется 4 месяца, чтобы реализовать дополнительно 8125 изделий.

Ответ: 4

Помогло решение? Оставьте отзыв в комментариях ниже.

Присоединяйтесь к Телеграм-группе @gdz_by_belarus

Присоединиться

Мы подготовили для вас ответ c подробным объяснением домашего задания по алгебре за 9 класс, для упражнения номер 4.262 расположенного на странице 253 к учебнику 2019 года издания для учащихся школ и гимназий.

Теперь на нашем сайте ГДЗ.ТОП вы всегда легко и бесплатно найдёте условие с правильным ответом на вопрос «Как решить ДЗ» и «Как сделать» задание по алгебре к упражнению №4.262 (с. 253), авторов: Арефьева (Ирина Глебовна), Пирютко (Ольга Николаевна), учебного пособия издательства Народная асвета.