Номер 4.279, страница 254 - гдз по алгебре 9 класс учебник Арефьева, Пирютко

Алгебра, 9 класс Учебник, авторы: Арефьева Ирина Глебовна, Пирютко Ольга Николаевна, издательство Народная асвета, Минск, 2019, голубого цвета

Авторы: Арефьева И. Г., Пирютко О. Н.

Тип: Учебник

Издательство: Народная асвета

Год издания: 2019 - 2025

Цвет обложки: голубой, синий с графиком

ISBN: 978-985-03-3077-2

Допущено Министерством образования Республики Беларусь

Популярные ГДЗ в 9 классе

Глава 4. Прогрессии. Параграф 18. Формула суммы n первых членов геометрической прогрессии - номер 4.279, страница 254.

№4.279 (с. 254)
Условие. №4.279 (с. 254)
скриншот условия
Алгебра, 9 класс Учебник, авторы: Арефьева Ирина Глебовна, Пирютко Ольга Николаевна, издательство Народная асвета, Минск, 2019, голубого цвета, страница 254, номер 4.279, Условие

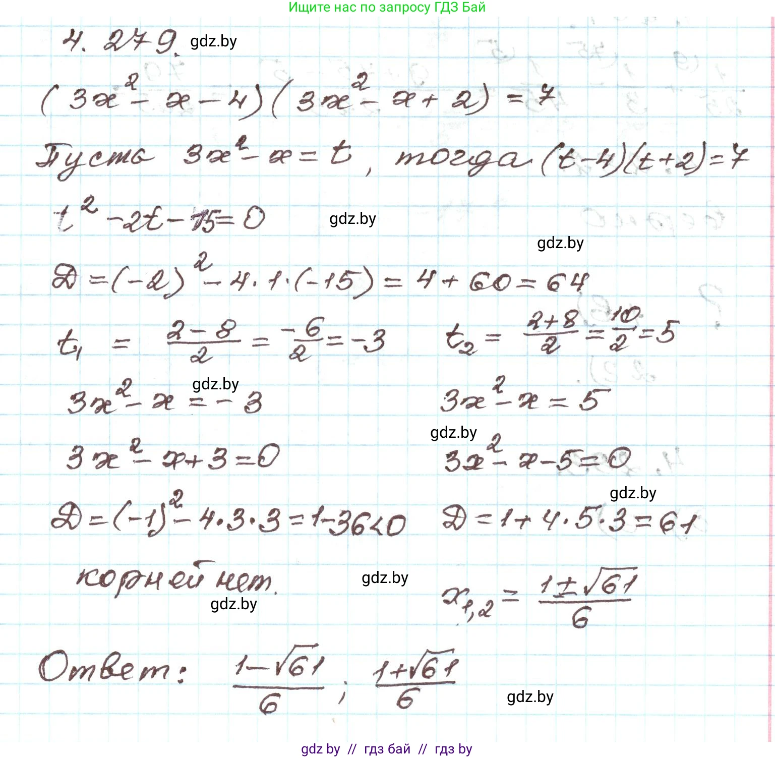
4.279. Решите уравнение $(3x^2 - x - 4)(3x^2 - x + 2) = 7$, используя метод замены переменной.

Решение. №4.279 (с. 254)
Алгебра, 9 класс Учебник, авторы: Арефьева Ирина Глебовна, Пирютко Ольга Николаевна, издательство Народная асвета, Минск, 2019, голубого цвета, страница 254, номер 4.279, Решение
Решение 2. №4.279 (с. 254)

Дано уравнение: $(3x^2 - x - 4)(3x^2 - x + 2) = 7$.

Для решения этого уравнения используется метод замены переменной. Заметим, что в обеих скобках присутствует одинаковое выражение $3x^2 - x$.

1. Введение новой переменной

Пусть $t = 3x^2 - x$. Подставим новую переменную в исходное уравнение:

$(t - 4)(t + 2) = 7$

2. Решение уравнения относительно новой переменной $t$

Раскроем скобки в левой части уравнения:

$t^2 + 2t - 4t - 8 = 7$

Приведем подобные слагаемые и перенесем все члены в левую часть:

$t^2 - 2t - 8 - 7 = 0$

$t^2 - 2t - 15 = 0$

Мы получили квадратное уравнение относительно переменной $t$. Решим его с помощью дискриминанта $D = b^2 - 4ac$.

$D = (-2)^2 - 4 \cdot 1 \cdot (-15) = 4 + 60 = 64$

Так как $D > 0$, уравнение имеет два действительных корня.

$t_1 = \frac{-b + \sqrt{D}}{2a} = \frac{2 + \sqrt{64}}{2 \cdot 1} = \frac{2 + 8}{2} = \frac{10}{2} = 5$

$t_2 = \frac{-b - \sqrt{D}}{2a} = \frac{2 - \sqrt{64}}{2 \cdot 1} = \frac{2 - 8}{2} = \frac{-6}{2} = -3$

3. Обратная замена и нахождение корней исходного уравнения

Теперь необходимо выполнить обратную замену для каждого найденного значения $t$.

Случай 1: $t = 5$

Подставляем значение $t$ в выражение для замены:

$3x^2 - x = 5$

$3x^2 - x - 5 = 0$

Решим полученное квадратное уравнение. Найдем дискриминант $D_x$:

$D_x = (-1)^2 - 4 \cdot 3 \cdot (-5) = 1 + 60 = 61$

Так как $D_x > 0$, уравнение имеет два корня:

$x_1 = \frac{-(-1) + \sqrt{61}}{2 \cdot 3} = \frac{1 + \sqrt{61}}{6}$

$x_2 = \frac{-(-1) - \sqrt{61}}{2 \cdot 3} = \frac{1 - \sqrt{61}}{6}$

Случай 2: $t = -3$

Подставляем второе значение $t$:

$3x^2 - x = -3$

$3x^2 - x + 3 = 0$

Найдем дискриминант $D_x$ этого уравнения:

$D_x = (-1)^2 - 4 \cdot 3 \cdot 3 = 1 - 36 = -35$

Так как $D_x < 0$, данное уравнение не имеет действительных корней.

Таким образом, исходное уравнение имеет два корня, полученные в первом случае.

Ответ: $x = \frac{1 - \sqrt{61}}{6}; x = \frac{1 + \sqrt{61}}{6}$.

Помогло решение? Оставьте отзыв в комментариях ниже.

Присоединяйтесь к Телеграм-группе @gdz_by_belarus

Присоединиться

Мы подготовили для вас ответ c подробным объяснением домашего задания по алгебре за 9 класс, для упражнения номер 4.279 расположенного на странице 254 к учебнику 2019 года издания для учащихся школ и гимназий.

Теперь на нашем сайте ГДЗ.ТОП вы всегда легко и бесплатно найдёте условие с правильным ответом на вопрос «Как решить ДЗ» и «Как сделать» задание по алгебре к упражнению №4.279 (с. 254), авторов: Арефьева (Ирина Глебовна), Пирютко (Ольга Николаевна), учебного пособия издательства Народная асвета.