Номер 7, страница 263 - гдз по алгебре 9 класс учебник Арефьева, Пирютко

Алгебра, 9 класс Учебник, авторы: Арефьева Ирина Глебовна, Пирютко Ольга Николаевна, издательство Народная асвета, Минск, 2019, голубого цвета

Авторы: Арефьева И. Г., Пирютко О. Н.

Тип: Учебник

Издательство: Народная асвета

Год издания: 2019 - 2025

Цвет обложки: голубой, синий с графиком

ISBN: 978-985-03-3077-2

Допущено Министерством образования Республики Беларусь

Популярные ГДЗ в 9 классе

Глава 4. Прогрессии. Я проверяю свои знания - номер 7, страница 263.

№7 (с. 263)
Условие. №7 (с. 263)
скриншот условия
Алгебра, 9 класс Учебник, авторы: Арефьева Ирина Глебовна, Пирютко Ольга Николаевна, издательство Народная асвета, Минск, 2019, голубого цвета, страница 263, номер 7, Условие

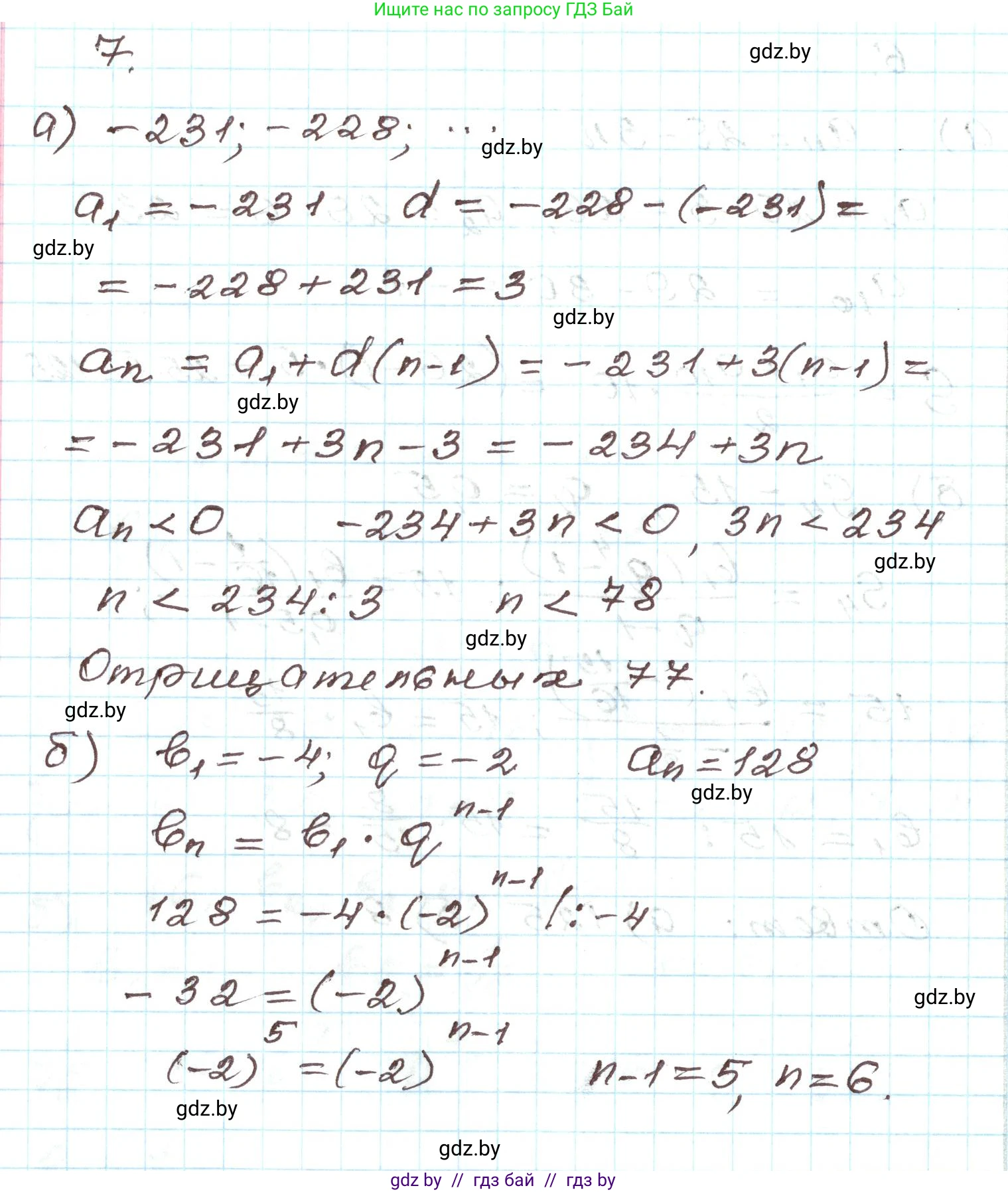
7. a) Дана арифметическая прогрессия $-231; -228; \ldots$ . Найдите число отрицательных членов этой прогрессии.

б) В геометрической прогрессии $b_1 = -4; q = -2$. Найдите, под каким номером в эту прогрессию входит число 128.

Решение. №7 (с. 263)
Алгебра, 9 класс Учебник, авторы: Арефьева Ирина Глебовна, Пирютко Ольга Николаевна, издательство Народная асвета, Минск, 2019, голубого цвета, страница 263, номер 7, Решение
Решение 2. №7 (с. 263)

а) Дана арифметическая прогрессия, у которой первый член $a_1 = -231$, а второй член $a_2 = -228$.
Для начала найдем разность арифметической прогрессии $d$:
$d = a_2 - a_1 = -228 - (-231) = -228 + 231 = 3$.
Чтобы найти число отрицательных членов, нужно определить, для каких номеров $n$ член прогрессии $a_n$ будет меньше нуля. Составим неравенство, используя формулу n-го члена арифметической прогрессии $a_n = a_1 + (n-1)d$:
$a_n < 0$
$-231 + (n-1) \cdot 3 < 0$
Перенесем -231 в правую часть:
$3(n-1) < 231$
Разделим обе части на 3:
$n-1 < \frac{231}{3}$
$n-1 < 77$
$n < 77 + 1$
$n < 78$
Так как $n$ — это номер члена прогрессии, оно должно быть натуральным числом. Максимальное натуральное число, удовлетворяющее неравенству $n < 78$, это 77. Следовательно, в прогрессии 77 отрицательных членов (с 1-го по 77-й включительно).
Ответ: 77

б) В геометрической прогрессии даны первый член $b_1 = -4$ и знаменатель $q = -2$.
Нам нужно найти номер $n$, под которым в эту прогрессию входит число 128. Это значит, что $b_n = 128$.
Воспользуемся формулой n-го члена геометрической прогрессии $b_n = b_1 \cdot q^{n-1}$.
Подставим известные значения в формулу:
$128 = -4 \cdot (-2)^{n-1}$
Разделим обе части уравнения на -4:
$\frac{128}{-4} = (-2)^{n-1}$
$-32 = (-2)^{n-1}$
Представим число -32 как степень с основанием -2. Мы знаем, что $2^5 = 32$. Так как результат отрицательный, показатель степени должен быть нечетным. Таким образом, $(-2)^5 = -32$.
Теперь наше уравнение выглядит так:
$(-2)^5 = (-2)^{n-1}$
Так как основания степеней равны, мы можем приравнять их показатели:
$5 = n-1$
$n = 5 + 1$
$n = 6$
Таким образом, число 128 является шестым членом данной геометрической прогрессии.
Ответ: 6

Помогло решение? Оставьте отзыв в комментариях ниже.

Присоединяйтесь к Телеграм-группе @gdz_by_belarus

Присоединиться

Мы подготовили для вас ответ c подробным объяснением домашего задания по алгебре за 9 класс, для упражнения номер 7 расположенного на странице 263 к учебнику 2019 года издания для учащихся школ и гимназий.

Теперь на нашем сайте ГДЗ.ТОП вы всегда легко и бесплатно найдёте условие с правильным ответом на вопрос «Как решить ДЗ» и «Как сделать» задание по алгебре к упражнению №7 (с. 263), авторов: Арефьева (Ирина Глебовна), Пирютко (Ольга Николаевна), учебного пособия издательства Народная асвета.