Номер 4.238, страница 250 - гдз по алгебре 9 класс учебник Арефьева, Пирютко

Алгебра, 9 класс Учебник, авторы: Арефьева Ирина Глебовна, Пирютко Ольга Николаевна, издательство Народная асвета, Минск, 2019, голубого цвета

Авторы: Арефьева И. Г., Пирютко О. Н.

Тип: Учебник

Издательство: Народная асвета

Год издания: 2019 - 2025

Цвет обложки: голубой, синий с графиком

ISBN: 978-985-03-3077-2

Допущено Министерством образования Республики Беларусь

Популярные ГДЗ в 9 классе

Глава 4. Прогрессии. Параграф 18. Формула суммы n первых членов геометрической прогрессии - номер 4.238, страница 250.

№4.238 (с. 250)
Условие. №4.238 (с. 250)
скриншот условия
Алгебра, 9 класс Учебник, авторы: Арефьева Ирина Глебовна, Пирютко Ольга Николаевна, издательство Народная асвета, Минск, 2019, голубого цвета, страница 250, номер 4.238, Условие

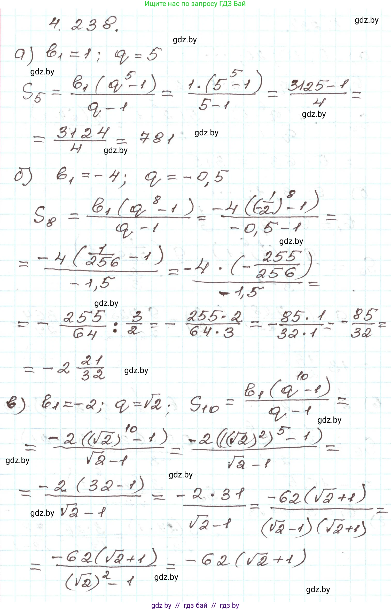
4.238. В геометрической прогрессии ($b_n$) найдите:

a) $S_5$, если $b_1 = 1, q = 5;$

б) $S_8$, если $b_1 = -4, q = -0,5;$

в) $S_{10}$, если $b_1 = -2, q = \sqrt{2}.

Решение. №4.238 (с. 250)
Алгебра, 9 класс Учебник, авторы: Арефьева Ирина Глебовна, Пирютко Ольга Николаевна, издательство Народная асвета, Минск, 2019, голубого цвета, страница 250, номер 4.238, Решение
Решение 2. №4.238 (с. 250)

Для нахождения суммы первых n членов геометрической прогрессии ($S_n$) используется формула:

$S_n = \frac{b_1(q^n - 1)}{q - 1}$

где $b_1$ — первый член прогрессии, $q$ — знаменатель прогрессии, $n$ — количество членов.

а) S5, если b1 = 1, q = 5;

Для нахождения суммы первых пяти членов прогрессии подставим в формулу заданные значения: $n=5$, $b_1=1$, $q=5$.

$S_5 = \frac{1 \cdot (5^5 - 1)}{5 - 1} = \frac{3125 - 1}{4} = \frac{3124}{4} = 781$

Ответ: 781.

б) S8, если b1 = -4, q = -0,5;

Для нахождения суммы первых восьми членов прогрессии подставим в формулу заданные значения: $n=8$, $b_1=-4$, $q=-0,5 = -\frac{1}{2}$.

$S_8 = \frac{-4 \cdot ((-0,5)^8 - 1)}{-0,5 - 1} = \frac{-4 \cdot ((\frac{-1}{2})^8 - 1)}{-\frac{3}{2}}$

Сначала вычислим $q^n$:

$(-0,5)^8 = (\frac{-1}{2})^8 = \frac{1}{256}$

Теперь подставим это значение обратно в формулу:

$S_8 = \frac{-4 \cdot (\frac{1}{256} - 1)}{-\frac{3}{2}} = \frac{-4 \cdot (\frac{1 - 256}{256})}{-\frac{3}{2}} = \frac{-4 \cdot (-\frac{255}{256})}{-\frac{3}{2}}$

Упростим выражение:

$S_8 = \frac{4 \cdot \frac{255}{256}}{-\frac{3}{2}} = - \frac{4 \cdot 255 \cdot 2}{256 \cdot 3} = - \frac{1 \cdot 85 \cdot 2}{64} = - \frac{85}{32}$

Преобразуем полученную неправильную дробь в смешанное число, выделив целую часть:

$\frac{85}{32} = 2 \frac{21}{32}$

Таким образом, $S_8 = -2 \frac{21}{32}$.

Ответ: -2$\frac{21}{32}$.

в) S10, если b1 = -2, q = $\sqrt{2}$.

Для нахождения суммы первых десяти членов прогрессии подставим в формулу заданные значения: $n=10$, $b_1=-2$, $q=\sqrt{2}$.

$S_{10} = \frac{-2 \cdot ((\sqrt{2})^{10} - 1)}{\sqrt{2} - 1}$

Сначала вычислим $q^n$:

$(\sqrt{2})^{10} = (2^{\frac{1}{2}})^{10} = 2^5 = 32$

Подставим значение в формулу:

$S_{10} = \frac{-2 \cdot (32 - 1)}{\sqrt{2} - 1} = \frac{-2 \cdot 31}{\sqrt{2} - 1} = \frac{-62}{\sqrt{2} - 1}$

Чтобы избавиться от иррациональности в знаменателе, умножим числитель и знаменатель на сопряженное выражение $(\sqrt{2} + 1)$:

$S_{10} = \frac{-62 \cdot (\sqrt{2} + 1)}{(\sqrt{2} - 1) \cdot (\sqrt{2} + 1)} = \frac{-62(\sqrt{2} + 1)}{(\sqrt{2})^2 - 1^2} = \frac{-62(\sqrt{2} + 1)}{2 - 1} = \frac{-62(\sqrt{2} + 1)}{1} = -62(\sqrt{2} + 1)$

Ответ: $-62(\sqrt{2} + 1)$.

Помогло решение? Оставьте отзыв в комментариях ниже.

Присоединяйтесь к Телеграм-группе @gdz_by_belarus

Присоединиться

Мы подготовили для вас ответ c подробным объяснением домашего задания по алгебре за 9 класс, для упражнения номер 4.238 расположенного на странице 250 к учебнику 2019 года издания для учащихся школ и гимназий.

Теперь на нашем сайте ГДЗ.ТОП вы всегда легко и бесплатно найдёте условие с правильным ответом на вопрос «Как решить ДЗ» и «Как сделать» задание по алгебре к упражнению №4.238 (с. 250), авторов: Арефьева (Ирина Глебовна), Пирютко (Ольга Николаевна), учебного пособия издательства Народная асвета.