Номер 4.287, страница 259 - гдз по алгебре 9 класс учебник Арефьева, Пирютко

Алгебра, 9 класс Учебник, авторы: Арефьева Ирина Глебовна, Пирютко Ольга Николаевна, издательство Народная асвета, Минск, 2019, голубого цвета

Авторы: Арефьева И. Г., Пирютко О. Н.

Тип: Учебник

Издательство: Народная асвета

Год издания: 2019 - 2025

Цвет обложки: голубой, синий с графиком

ISBN: 978-985-03-3077-2

Допущено Министерством образования Республики Беларусь

Популярные ГДЗ в 9 классе

Глава 4. Прогрессии. Параграф 19. Сумма бесконечно убывающей геометрической прогрессии - номер 4.287, страница 259.

№4.287 (с. 259)
Условие. №4.287 (с. 259)
скриншот условия
Алгебра, 9 класс Учебник, авторы: Арефьева Ирина Глебовна, Пирютко Ольга Николаевна, издательство Народная асвета, Минск, 2019, голубого цвета, страница 259, номер 4.287, Условие

4.287. Примените алгоритм для представления в виде обыкновенной дроби числа:

а) $0,(4);$

б) $0,(12);$

в) $0,(123);$

г) $14,(31);$

д) $6,3(8);$

е) $10,1(26).$

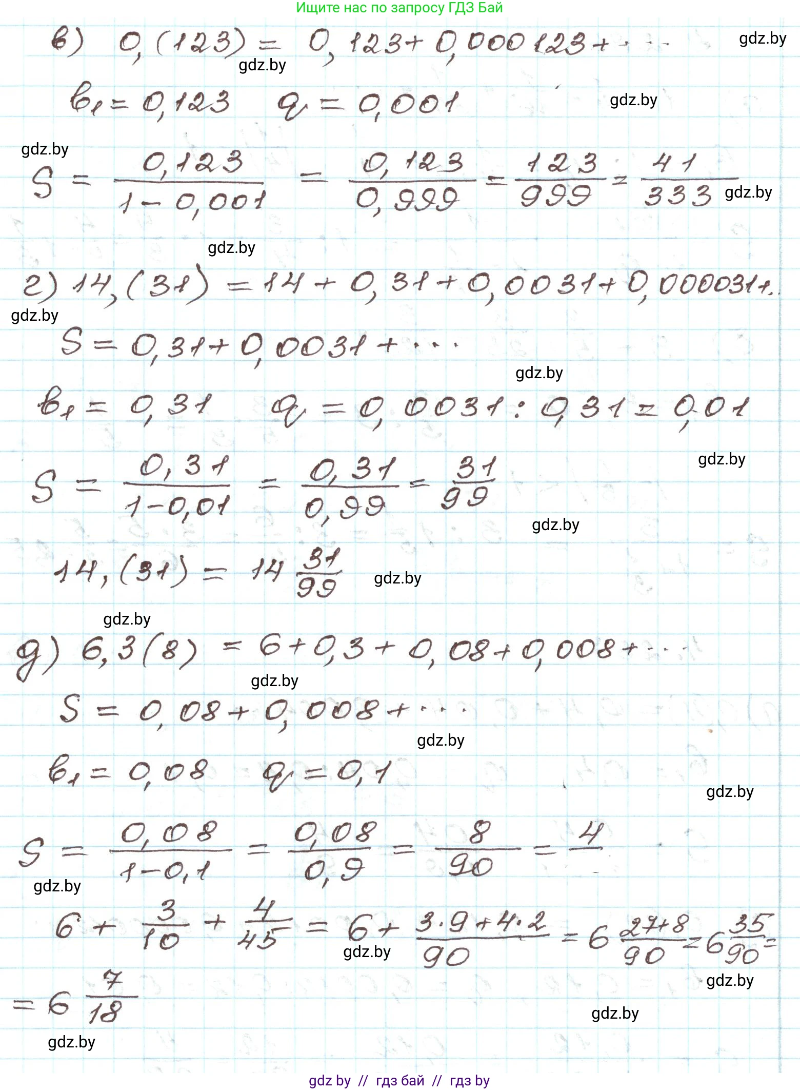
Решение. №4.287 (с. 259)
Алгебра, 9 класс Учебник, авторы: Арефьева Ирина Глебовна, Пирютко Ольга Николаевна, издательство Народная асвета, Минск, 2019, голубого цвета, страница 259, номер 4.287, Решение Алгебра, 9 класс Учебник, авторы: Арефьева Ирина Глебовна, Пирютко Ольга Николаевна, издательство Народная асвета, Минск, 2019, голубого цвета, страница 259, номер 4.287, Решение (продолжение 2)
Решение 2. №4.287 (с. 259)

Для представления периодической десятичной дроби в виде обыкновенной дроби используется следующий алгоритм:

  1. Обозначить данное число переменной, например, $x$.
  2. Если дробь смешанная (есть цифры после запятой до периода), умножить ее на $10^k$, где $k$ — количество цифр до периода, чтобы получить число, у которого период начинается сразу после запятой.
  3. Умножить полученное число на $10^p$, где $p$ — количество цифр в периоде.
  4. Вычесть из второго полученного уравнения первое. В результате этого действия периодическая часть сократится.
  5. Решить полученное уравнение относительно $x$ и, если возможно, сократить дробь.

Применим этот алгоритм для каждого числа:

а) 0,(4)
Пусть $x = 0,(4) = 0.444...$ Это чистая периодическая дробь, период состоит из одной цифры (4). Умножим уравнение на 10: $10x = 4.444...$ Вычтем из нового уравнения исходное: $10x - x = 4.444... - 0.444...$ $9x = 4$ $x = \frac{4}{9}$
Ответ: $\frac{4}{9}$

б) 0,(12)
Пусть $x = 0,(12) = 0.121212...$ Это чистая периодическая дробь, период состоит из двух цифр (12). Умножим уравнение на 100: $100x = 12.1212...$ Вычтем из нового уравнения исходное: $100x - x = 12.1212... - 0.1212...$ $99x = 12$ $x = \frac{12}{99}$ Сократим дробь, разделив числитель и знаменатель на 3: $x = \frac{12 \div 3}{99 \div 3} = \frac{4}{33}$
Ответ: $\frac{4}{33}$

в) 0,(123)
Пусть $x = 0,(123) = 0.123123...$ Это чистая периодическая дробь, период состоит из трех цифр (123). Умножим уравнение на 1000: $1000x = 123.123123...$ Вычтем из нового уравнения исходное: $1000x - x = 123.123123... - 0.123123...$ $999x = 123$ $x = \frac{123}{999}$ Сократим дробь на 3: $x = \frac{123 \div 3}{999 \div 3} = \frac{41}{333}$
Ответ: $\frac{41}{333}$

г) 14,(31)
Представим число как сумму целой части и периодической дроби: $14 + 0,(31)$. Найдем обыкновенную дробь для $y = 0,(31) = 0.3131...$ Период состоит из двух цифр, умножим на 100: $100y = 31.3131...$ Вычтем исходное: $100y - y = 31.3131... - 0.3131...$, что дает $99y = 31$, откуда $y = \frac{31}{99}$. Следовательно, исходное число равно $14 + \frac{31}{99} = 14\frac{31}{99}$.
Ответ: 14$\frac{31}{99}$

д) 6,3(8)
Пусть $x = 6.3(8) = 6.3888...$ Это смешанная периодическая дробь. До периода одна цифра (3), в периоде одна цифра (8). Умножим на 10, чтобы "освободить" непериодическую часть: $10x = 63.888...$ Теперь умножим на 10 еще раз, чтобы сдвинуть запятую за период: $100x = 638.888...$ Вычтем из второго уравнения первое: $100x - 10x = 638.888... - 63.888...$ $90x = 575$ $x = \frac{575}{90}$ Сократим дробь на 5: $x = \frac{115}{18}$. Это неправильная дробь. Выделим целую часть: $115 \div 18 = 6$ и $7$ в остатке. $x = 6\frac{7}{18}$.
Ответ: 6$\frac{7}{18}$

е) 10,1(26)
Пусть $x = 10.1(26) = 10.12626...$ Это смешанная периодическая дробь. До периода одна цифра (1), в периоде две цифры (26). Умножим на 10, чтобы запятая оказалась перед периодом: $10x = 101.2626...$ Умножим на 1000 (т.е. на $10^{1+2}$), чтобы запятая оказалась после первого периода: $1000x = 10126.2626...$ Вычтем из второго уравнения первое: $1000x - 10x = 10126.2626... - 101.2626...$ $990x = 10025$ $x = \frac{10025}{990}$ Сократим дробь на 5: $x = \frac{2005}{198}$. Это неправильная дробь. Выделим целую часть: $2005 \div 198 = 10$ и $25$ в остатке. $x = 10\frac{25}{198}$.
Ответ: 10$\frac{25}{198}$

Помогло решение? Оставьте отзыв в комментариях ниже.

Присоединяйтесь к Телеграм-группе @gdz_by_belarus

Присоединиться

Мы подготовили для вас ответ c подробным объяснением домашего задания по алгебре за 9 класс, для упражнения номер 4.287 расположенного на странице 259 к учебнику 2019 года издания для учащихся школ и гимназий.

Теперь на нашем сайте ГДЗ.ТОП вы всегда легко и бесплатно найдёте условие с правильным ответом на вопрос «Как решить ДЗ» и «Как сделать» задание по алгебре к упражнению №4.287 (с. 259), авторов: Арефьева (Ирина Глебовна), Пирютко (Ольга Николаевна), учебного пособия издательства Народная асвета.