Номер 105, страница 275 - гдз по алгебре 9 класс учебник Арефьева, Пирютко

Алгебра, 9 класс Учебник, авторы: Арефьева Ирина Глебовна, Пирютко Ольга Николаевна, издательство Народная асвета, Минск, 2019, голубого цвета

Авторы: Арефьева И. Г., Пирютко О. Н.

Тип: Учебник

Издательство: Народная асвета

Год издания: 2019 - 2025

Цвет обложки: голубой, синий с графиком

ISBN: 978-985-03-3077-2

Допущено Министерством образования Республики Беларусь

Популярные ГДЗ в 9 классе

Итоговое повторение. Выражения и их преобразования - номер 105, страница 275.

№105 (с. 275)
Условие. №105 (с. 275)
скриншот условия
Алгебра, 9 класс Учебник, авторы: Арефьева Ирина Глебовна, Пирютко Ольга Николаевна, издательство Народная асвета, Минск, 2019, голубого цвета, страница 275, номер 105, Условие

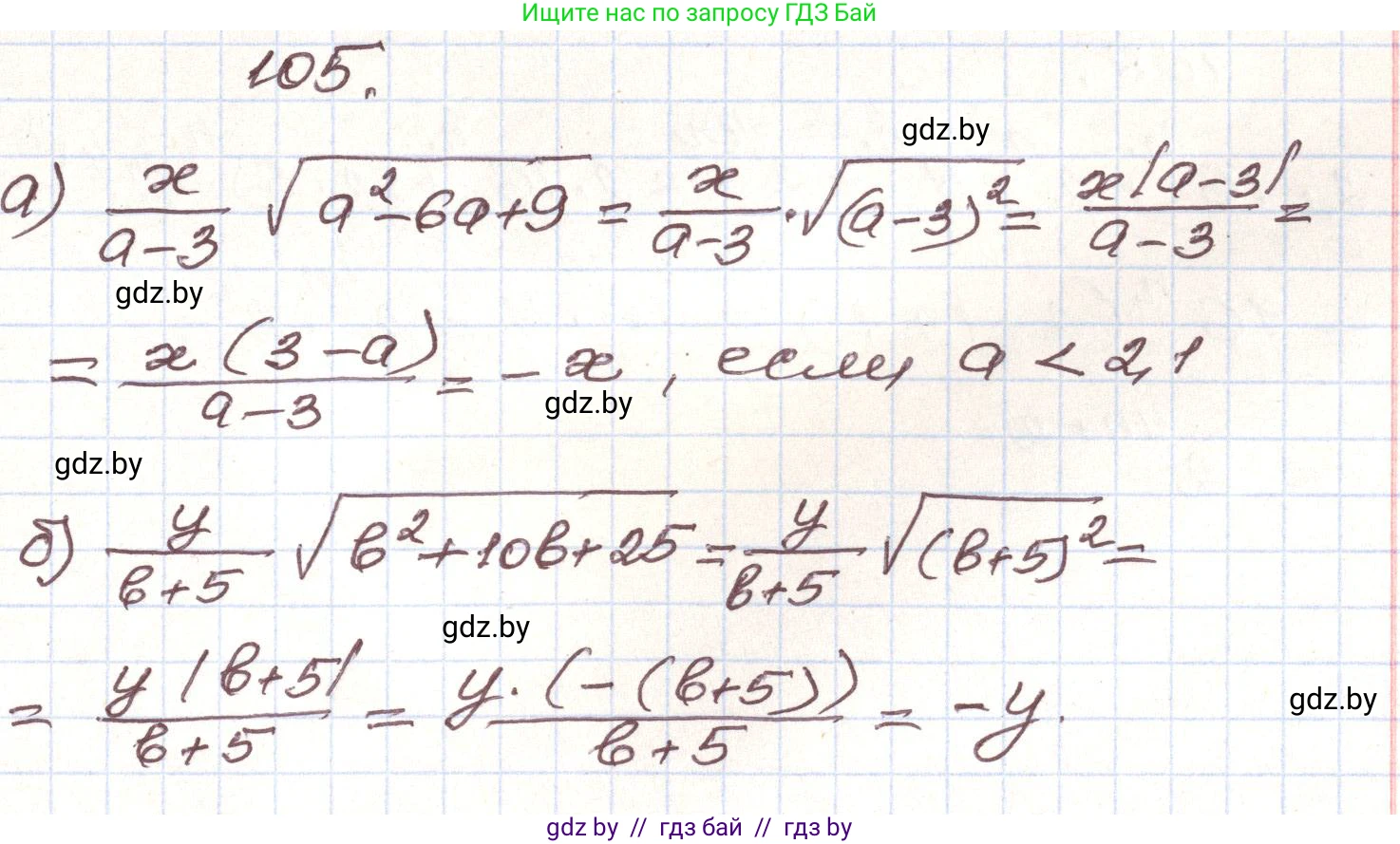
105*. Упростите выражение:

a) $\frac{x}{a-3}\sqrt{a^2-6a+9}$, если $a < 2,1$;

б) $\frac{y}{b+5}\sqrt{b^2+10b+25}$, если $b < -6,8$.

Решение. №105 (с. 275)
Алгебра, 9 класс Учебник, авторы: Арефьева Ирина Глебовна, Пирютко Ольга Николаевна, издательство Народная асвета, Минск, 2019, голубого цвета, страница 275, номер 105, Решение
Решение 2. №105 (с. 275)

а) Рассмотрим выражение $\frac{x}{a-3}\sqrt{a^2 - 6a + 9}$.
Выражение под корнем $a^2 - 6a + 9$ является полным квадратом разности, так как соответствует формуле $(m-n)^2 = m^2 - 2mn + n^2$.
$a^2 - 6a + 9 = a^2 - 2 \cdot a \cdot 3 + 3^2 = (a-3)^2$.
Подставим это в исходное выражение:
$\frac{x}{a-3}\sqrt{(a-3)^2}$
Используя свойство $\sqrt{k^2} = |k|$, получаем:
$\frac{x}{a-3}|a-3|$
По условию задачи $a < 2,1$. Поскольку $2,1 < 3$, то и $a < 3$.
Это означает, что разность $a-3$ всегда будет отрицательной, то есть $a-3 < 0$.
Согласно определению модуля, если выражение под знаком модуля отрицательно, то $|k| = -k$. Следовательно, $|a-3| = -(a-3)$.
Подставим полученное выражение обратно в нашу формулу:
$\frac{x}{a-3} \cdot (-(a-3))$
Сокращаем дробь на $(a-3)$:
$\frac{x \cdot (-(a-3))}{a-3} = -x$
Ответ: $-x$.

б) Рассмотрим выражение $\frac{y}{b+5}\sqrt{b^2 + 10b + 25}$.
Выражение под корнем $b^2 + 10b + 25$ является полным квадратом суммы, так как соответствует формуле $(m+n)^2 = m^2 + 2mn + n^2$.
$b^2 + 10b + 25 = b^2 + 2 \cdot b \cdot 5 + 5^2 = (b+5)^2$.
Подставим это в исходное выражение:
$\frac{y}{b+5}\sqrt{(b+5)^2}$
Используя свойство $\sqrt{k^2} = |k|$, получаем:
$\frac{y}{b+5}|b+5|$
По условию задачи $b < -6,8$. Поскольку $-6,8 < -5$, то и $b < -5$.
Это означает, что сумма $b+5$ всегда будет отрицательной, то есть $b+5 < 0$.
Согласно определению модуля, $|k| = -k$ для $k < 0$. Следовательно, $|b+5| = -(b+5)$.
Подставим полученное выражение обратно в нашу формулу:
$\frac{y}{b+5} \cdot (-(b+5))$
Сокращаем дробь на $(b+5)$:
$\frac{y \cdot (-(b+5))}{b+5} = -y$
Ответ: $-y$.

Помогло решение? Оставьте отзыв в комментариях ниже.

Присоединяйтесь к Телеграм-группе @gdz_by_belarus

Присоединиться

Мы подготовили для вас ответ c подробным объяснением домашего задания по алгебре за 9 класс, для упражнения номер 105 расположенного на странице 275 к учебнику 2019 года издания для учащихся школ и гимназий.

Теперь на нашем сайте ГДЗ.ТОП вы всегда легко и бесплатно найдёте условие с правильным ответом на вопрос «Как решить ДЗ» и «Как сделать» задание по алгебре к упражнению №105 (с. 275), авторов: Арефьева (Ирина Глебовна), Пирютко (Ольга Николаевна), учебного пособия издательства Народная асвета.