Номер 201, страница 285 - гдз по алгебре 9 класс учебник Арефьева, Пирютко

Алгебра, 9 класс Учебник, авторы: Арефьева Ирина Глебовна, Пирютко Ольга Николаевна, издательство Народная асвета, Минск, 2019, голубого цвета

Авторы: Арефьева И. Г., Пирютко О. Н.

Тип: Учебник

Издательство: Народная асвета

Год издания: 2019 - 2025

Цвет обложки: голубой, синий с графиком

ISBN: 978-985-03-3077-2

Допущено Министерством образования Республики Беларусь

Популярные ГДЗ в 9 классе

Итоговое повторение. Функции и их свойства - номер 201, страница 285.

№201 (с. 285)
Условие. №201 (с. 285)
скриншот условия
Алгебра, 9 класс Учебник, авторы: Арефьева Ирина Глебовна, Пирютко Ольга Николаевна, издательство Народная асвета, Минск, 2019, голубого цвета, страница 285, номер 201, Условие

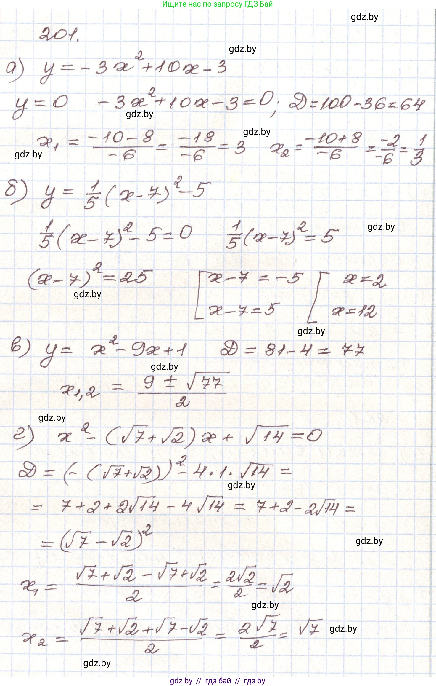
201. Найдите нули функции, если они есть:

а) $y = -3x^2 + 10x - 3$;

б) $y = \frac{1}{5}(x - 7)^2 - 5$;

в) $y = x^2 - 9x + 1$;

г)* $y = x^2 - (\sqrt{7} + \sqrt{2})x + \sqrt{14}$.

Решение. №201 (с. 285)
Алгебра, 9 класс Учебник, авторы: Арефьева Ирина Глебовна, Пирютко Ольга Николаевна, издательство Народная асвета, Минск, 2019, голубого цвета, страница 285, номер 201, Решение
Решение 2. №201 (с. 285)

а) Нули функции – это значения аргумента $x$, при которых значение функции $y$ равно нулю. Чтобы найти нули функции $y = -3x^2 + 10x - 3$, необходимо решить уравнение:

$-3x^2 + 10x - 3 = 0$

Для удобства вычислений умножим обе части уравнения на -1:

$3x^2 - 10x + 3 = 0$

Это квадратное уравнение вида $ax^2 + bx + c = 0$. Решим его с помощью дискриминанта $D = b^2 - 4ac$:

$D = (-10)^2 - 4 \cdot 3 \cdot 3 = 100 - 36 = 64$

Так как $D > 0$, уравнение имеет два действительных корня. Найдем их по формуле $x_{1,2} = \frac{-b \pm \sqrt{D}}{2a}$:

$x_1 = \frac{10 + \sqrt{64}}{2 \cdot 3} = \frac{10 + 8}{6} = \frac{18}{6} = 3$

$x_2 = \frac{10 - \sqrt{64}}{2 \cdot 3} = \frac{10 - 8}{6} = \frac{2}{6} = \frac{1}{3}$

Ответ: $3; \frac{1}{3}$.

б) Чтобы найти нули функции $y = \frac{1}{5}(x - 7)^2 - 5$, решим уравнение:

$\frac{1}{5}(x - 7)^2 - 5 = 0$

Перенесем 5 в правую часть уравнения:

$\frac{1}{5}(x - 7)^2 = 5$

Умножим обе части на 5:

$(x - 7)^2 = 25$

Извлечем квадратный корень из обеих частей:

$x - 7 = \pm\sqrt{25}$

$x - 7 = \pm5$

Отсюда получаем два корня:

$x_1 = 7 + 5 = 12$

$x_2 = 7 - 5 = 2$

Ответ: $12; 2$.

в) Для нахождения нулей функции $y = x^2 - 9x + 1$ решим уравнение:

$x^2 - 9x + 1 = 0$

Вычислим дискриминант:

$D = (-9)^2 - 4 \cdot 1 \cdot 1 = 81 - 4 = 77$

Поскольку $D > 0$, уравнение имеет два действительных корня. Найдем их по формуле:

$x_{1,2} = \frac{-(-9) \pm \sqrt{77}}{2 \cdot 1} = \frac{9 \pm \sqrt{77}}{2}$

Ответ: $\frac{9 + \sqrt{77}}{2}; \frac{9 - \sqrt{77}}{2}$.

г)*

Чтобы найти нули функции $y = x^2 - (\sqrt{7} + \sqrt{2})x + \sqrt{14}$, решим уравнение:

$x^2 - (\sqrt{7} + \sqrt{2})x + \sqrt{14} = 0$

Это приведенное квадратное уравнение вида $x^2 + px + q = 0$. Воспользуемся теоремой Виета, согласно которой сумма корней равна $-p$, а их произведение равно $q$:

Сумма корней: $x_1 + x_2 = -(-(\sqrt{7} + \sqrt{2})) = \sqrt{7} + \sqrt{2}$

Произведение корней: $x_1 \cdot x_2 = \sqrt{14}$

Методом подбора легко определить, что корнями являются числа $\sqrt{7}$ и $\sqrt{2}$. Проверим:

Сумма: $\sqrt{7} + \sqrt{2} = \sqrt{7} + \sqrt{2}$ (верно).

Произведение: $\sqrt{7} \cdot \sqrt{2} = \sqrt{7 \cdot 2} = \sqrt{14}$ (верно).

Ответ: $\sqrt{7}; \sqrt{2}$.

Помогло решение? Оставьте отзыв в комментариях ниже.

Присоединяйтесь к Телеграм-группе @gdz_by_belarus

Присоединиться

Мы подготовили для вас ответ c подробным объяснением домашего задания по алгебре за 9 класс, для упражнения номер 201 расположенного на странице 285 к учебнику 2019 года издания для учащихся школ и гимназий.

Теперь на нашем сайте ГДЗ.ТОП вы всегда легко и бесплатно найдёте условие с правильным ответом на вопрос «Как решить ДЗ» и «Как сделать» задание по алгебре к упражнению №201 (с. 285), авторов: Арефьева (Ирина Глебовна), Пирютко (Ольга Николаевна), учебного пособия издательства Народная асвета.