Номер 231, страница 290 - гдз по алгебре 9 класс учебник Арефьева, Пирютко

Алгебра, 9 класс Учебник, авторы: Арефьева Ирина Глебовна, Пирютко Ольга Николаевна, издательство Народная асвета, Минск, 2019, голубого цвета

Авторы: Арефьева И. Г., Пирютко О. Н.

Тип: Учебник

Издательство: Народная асвета

Год издания: 2019 - 2025

Цвет обложки: голубой, синий с графиком

ISBN: 978-985-03-3077-2

Допущено Министерством образования Республики Беларусь

Популярные ГДЗ в 9 классе

Итоговое повторение. Функции и их свойства - номер 231, страница 290.

№231 (с. 290)
Условие. №231 (с. 290)
скриншот условия
Алгебра, 9 класс Учебник, авторы: Арефьева Ирина Глебовна, Пирютко Ольга Николаевна, издательство Народная асвета, Минск, 2019, голубого цвета, страница 290, номер 231, Условие

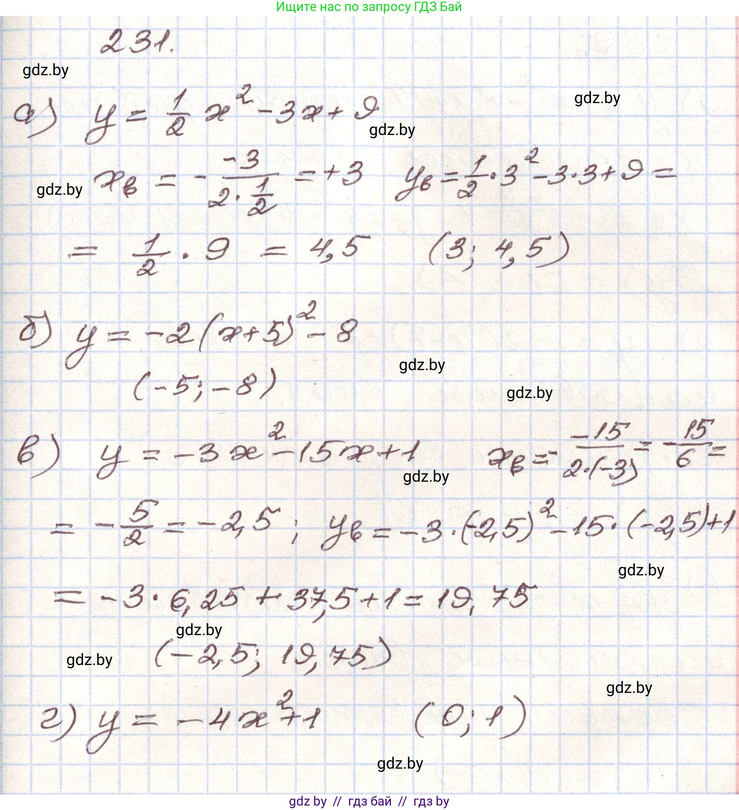
231. Найдите координаты вершины параболы:

а) $y = \frac{1}{2}x^2 - 3x + 9;$

б) $y = -2(x + 5)^2 - 8;$

в) $y = -3x^2 - 15x + 1;$

г) $y = -4x^2 + 1.$

Решение. №231 (с. 290)
Алгебра, 9 класс Учебник, авторы: Арефьева Ирина Глебовна, Пирютко Ольга Николаевна, издательство Народная асвета, Минск, 2019, голубого цвета, страница 290, номер 231, Решение
Решение 2. №231 (с. 290)

а) Уравнение параболы $y = \frac{1}{2}x^2 - 3x + 9$ задано в стандартном виде $y = ax^2 + bx + c$, где $a = \frac{1}{2}$, $b = -3$, $c = 9$.
Координаты вершины параболы $(x_v, y_v)$ вычисляются по формулам:
$x_v = -\frac{b}{2a}$
$y_v = y(x_v)$

Вычисляем абсциссу вершины:
$x_v = -\frac{-3}{2 \cdot \frac{1}{2}} = \frac{3}{1} = 3$

Подставляем найденное значение $x_v$ в уравнение параболы, чтобы найти ординату вершины:
$y_v = \frac{1}{2}(3)^2 - 3(3) + 9 = \frac{1}{2} \cdot 9 - 9 + 9 = \frac{9}{2} = 4\frac{1}{2}$

Ответ: Координаты вершины: $(3, 4\frac{1}{2})$.

б) Уравнение параболы $y = -2(x + 5)^2 - 8$ представлено в вершинной форме $y = a(x - h)^2 + k$, где $(h, k)$ — это и есть координаты вершины.
Сравнивая с данным уравнением, мы видим, что $x - h = x + 5$, следовательно, $h = -5$. Значение $k = -8$.
Ответ: Координаты вершины: $(-5, -8)$.

в) Уравнение параболы $y = -3x^2 - 15x + 1$ задано в стандартном виде $y = ax^2 + bx + c$, где $a = -3$, $b = -15$, $c = 1$.
Вычисляем абсциссу вершины:
$x_v = -\frac{b}{2a} = -\frac{-15}{2 \cdot (-3)} = \frac{15}{-6} = -\frac{5}{2} = -2\frac{1}{2}$

Подставляем $x_v$ в уравнение параболы для нахождения ординаты:
$y_v = -3(-\frac{5}{2})^2 - 15(-\frac{5}{2}) + 1 = -3(\frac{25}{4}) + \frac{75}{2} + 1 = -\frac{75}{4} + \frac{150}{4} + \frac{4}{4} = \frac{-75 + 150 + 4}{4} = \frac{79}{4} = 19\frac{3}{4}$

Ответ: Координаты вершины: $(-2\frac{1}{2}, 19\frac{3}{4})$.

г) Уравнение параболы $y = -4x^2 + 1$ является частным случаем стандартной формы $y = ax^2 + bx + c$, где $a = -4$, $b = 0$, $c = 1$.
Вычисляем абсциссу вершины:
$x_v = -\frac{b}{2a} = -\frac{0}{2 \cdot (-4)} = 0$

Подставляем $x_v$ в уравнение для нахождения ординаты:
$y_v = -4(0)^2 + 1 = 0 + 1 = 1$

Ответ: Координаты вершины: $(0, 1)$.

Помогло решение? Оставьте отзыв в комментариях ниже.

Присоединяйтесь к Телеграм-группе @gdz_by_belarus

Присоединиться

Мы подготовили для вас ответ c подробным объяснением домашего задания по алгебре за 9 класс, для упражнения номер 231 расположенного на странице 290 к учебнику 2019 года издания для учащихся школ и гимназий.

Теперь на нашем сайте ГДЗ.ТОП вы всегда легко и бесплатно найдёте условие с правильным ответом на вопрос «Как решить ДЗ» и «Как сделать» задание по алгебре к упражнению №231 (с. 290), авторов: Арефьева (Ирина Глебовна), Пирютко (Ольга Николаевна), учебного пособия издательства Народная асвета.