Номер 320, страница 301 - гдз по алгебре 9 класс учебник Арефьева, Пирютко

Алгебра, 9 класс Учебник, авторы: Арефьева Ирина Глебовна, Пирютко Ольга Николаевна, издательство Народная асвета, Минск, 2019, голубого цвета

Авторы: Арефьева И. Г., Пирютко О. Н.

Тип: Учебник

Издательство: Народная асвета

Год издания: 2019 - 2025

Цвет обложки: голубой, синий с графиком

ISBN: 978-985-03-3077-2

Допущено Министерством образования Республики Беларусь

Популярные ГДЗ в 9 классе

Итоговое повторение. Текстовые задачи - номер 320, страница 301.

№320 (с. 301)
Условие. №320 (с. 301)
скриншот условия
Алгебра, 9 класс Учебник, авторы: Арефьева Ирина Глебовна, Пирютко Ольга Николаевна, издательство Народная асвета, Минск, 2019, голубого цвета, страница 301, номер 320, Условие

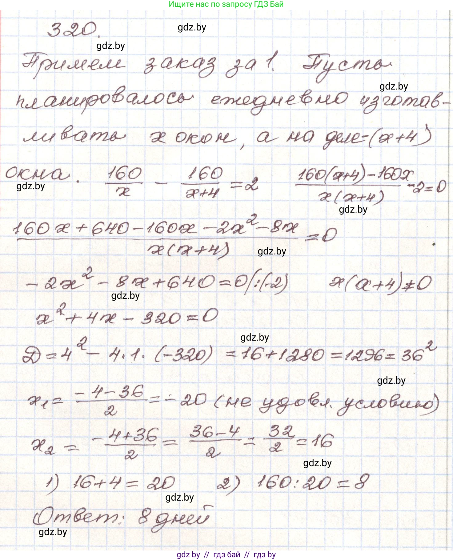
320. Фирма по производству окон получила заказ на изготовление 160 окон для новой школы к определенному сроку. Учитывая важность заказа, ежедневно изготавливалось на 4 окна больше, чем планировалось, поэтому весь заказ был выполнен на 2 дня раньше срока. За сколько дней был выполнен заказ?

Решение. №320 (с. 301)
Алгебра, 9 класс Учебник, авторы: Арефьева Ирина Глебовна, Пирютко Ольга Николаевна, издательство Народная асвета, Минск, 2019, голубого цвета, страница 301, номер 320, Решение
Решение 2. №320 (с. 301)

Для решения задачи введем переменную и составим уравнение. Пусть $d$ — это фактическое количество дней, за которое фирма выполнила заказ.

По условию задачи, заказ был выполнен на 2 дня раньше запланированного срока. Это означает, что плановое время на выполнение заказа составляло $d + 2$ дня.

Общий объем заказа — 160 окон.

Мы можем выразить производительность (количество окон, изготавливаемых в день) как отношение общего количества окон ко времени выполнения.

  • Фактическая производительность: $P_{факт} = \frac{160}{d}$ окон в день.
  • Плановая производительность: $P_{план} = \frac{160}{d+2}$ окон в день.

В задаче сказано, что фирма ежедневно изготавливала на 4 окна больше, чем планировалось. Математически это можно записать так:

$P_{факт} = P_{план} + 4$

Подставим в это уравнение выражения для производительностей:

$\frac{160}{d} = \frac{160}{d+2} + 4$

Теперь решим полученное уравнение, чтобы найти $d$. Для начала перенесем член с переменной из правой части в левую:

$\frac{160}{d} - \frac{160}{d+2} = 4$

Приведем дроби в левой части к общему знаменателю $d(d+2)$:

$\frac{160(d+2) - 160d}{d(d+2)} = 4$

Раскроем скобки и упростим числитель:

$\frac{160d + 320 - 160d}{d^2 + 2d} = 4$

$\frac{320}{d^2 + 2d} = 4$

Избавимся от знаменателя, умножив обе части уравнения на $d^2 + 2d$. (Мы предполагаем, что $d \neq 0$ и $d \neq -2$, что логично, так как $d$ — это количество дней и должно быть положительным числом).

$320 = 4(d^2 + 2d)$

Разделим обе части уравнения на 4:

$80 = d^2 + 2d$

Запишем уравнение в стандартном виде квадратного уравнения $ax^2+bx+c=0$:

$d^2 + 2d - 80 = 0$

Решим это квадратное уравнение. Можно использовать теорему Виета или формулу для нахождения корней через дискриминант. Найдем дискриминант $D = b^2 - 4ac$:

$D = 2^2 - 4 \cdot 1 \cdot (-80) = 4 + 320 = 324$

Корень из дискриминанта: $\sqrt{D} = \sqrt{324} = 18$.

Теперь найдем корни уравнения:

$d_1 = \frac{-b + \sqrt{D}}{2a} = \frac{-2 + 18}{2 \cdot 1} = \frac{16}{2} = 8$

$d_2 = \frac{-b - \sqrt{D}}{2a} = \frac{-2 - 18}{2 \cdot 1} = \frac{-20}{2} = -10$

Поскольку $d$ представляет собой количество дней, оно не может быть отрицательным. Поэтому корень $d_2 = -10$ не подходит по смыслу задачи.

Таким образом, единственное верное решение — $d = 8$. Это и есть фактическое количество дней, за которое был выполнен заказ.

За сколько дней был выполнен заказ? Ответ: 8

Помогло решение? Оставьте отзыв в комментариях ниже.

Присоединяйтесь к Телеграм-группе @gdz_by_belarus

Присоединиться

Мы подготовили для вас ответ c подробным объяснением домашего задания по алгебре за 9 класс, для упражнения номер 320 расположенного на странице 301 к учебнику 2019 года издания для учащихся школ и гимназий.

Теперь на нашем сайте ГДЗ.ТОП вы всегда легко и бесплатно найдёте условие с правильным ответом на вопрос «Как решить ДЗ» и «Как сделать» задание по алгебре к упражнению №320 (с. 301), авторов: Арефьева (Ирина Глебовна), Пирютко (Ольга Николаевна), учебного пособия издательства Народная асвета.