Номер 13.13, страница 74 - гдз по алгебре 10 класс сборник задач Арефьева, Пирютко

Алгебра, 10 класс Сборник задач, авторы: Арефьева Ирина Глебовна, Пирютко Ольга Николаевна, издательство Народная асвета, Минск, 2020, белого цвета

Авторы: Арефьева И. Г., Пирютко О. Н.

Тип: Сборник задач

Издательство: Народная асвета

Год издания: 2020 - 2025

Уровень обучения: базовый и повышенный

Цвет обложки: белый, голубой с графиком

Допущено Министерством образования Республики Беларусь

Популярные ГДЗ в 10 классе

Глава 3. Тригонометрия. Параграф 13. Тригонометрические уравнения. Тригонометрические неравенства - номер 13.13, страница 74.

№13.13 (с. 74)
Условие. №13.13 (с. 74)
скриншот условия
Алгебра, 10 класс Сборник задач, авторы: Арефьева Ирина Глебовна, Пирютко Ольга Николаевна, издательство Народная асвета, Минск, 2020, белого цвета, страница 74, номер 13.13, Условие

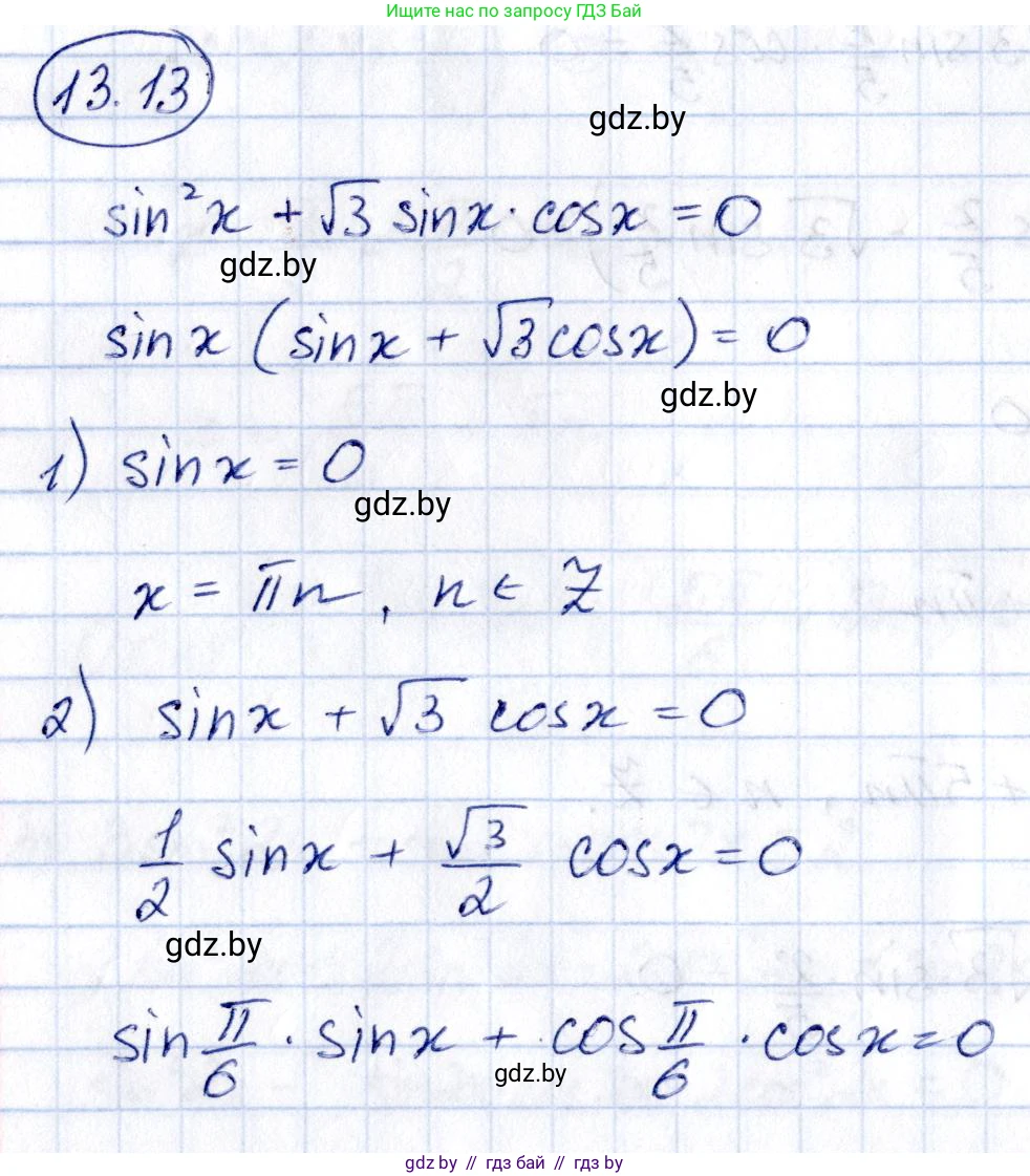
13.13. Найдите (в градусах) среднее арифметическое корней уравнения $ \sin^2 x + \sqrt{3} \sin x \cos x = 0 $, принадлежащих промежутку $ [-120^\circ; 90^\circ] $.

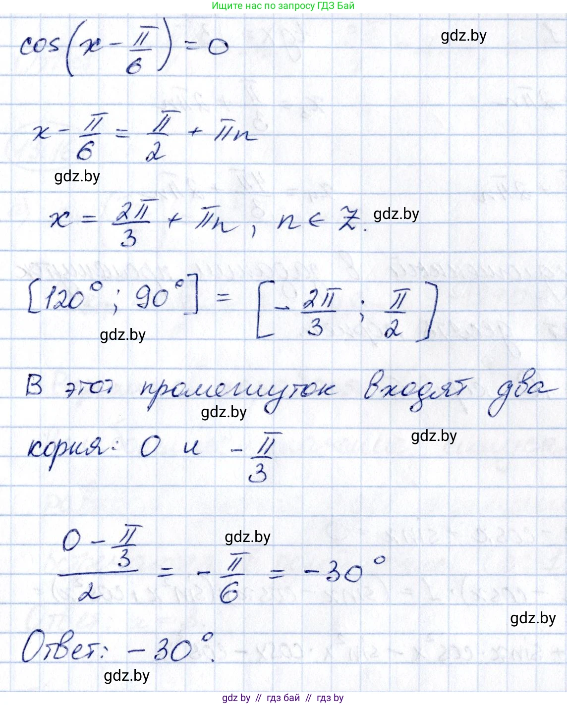
Решение. №13.13 (с. 74)
Алгебра, 10 класс Сборник задач, авторы: Арефьева Ирина Глебовна, Пирютко Ольга Николаевна, издательство Народная асвета, Минск, 2020, белого цвета, страница 74, номер 13.13, Решение Алгебра, 10 класс Сборник задач, авторы: Арефьева Ирина Глебовна, Пирютко Ольга Николаевна, издательство Народная асвета, Минск, 2020, белого цвета, страница 74, номер 13.13, Решение (продолжение 2)
Решение 2. №13.13 (с. 74)

Для решения уравнения $\sin^2 x + \sqrt{3} \sin x \cos x = 0$ вынесем общий множитель $\sin x$ за скобки:
$\sin x (\sin x + \sqrt{3} \cos x) = 0$.

Произведение равно нулю, когда хотя бы один из множителей равен нулю. Это дает нам два отдельных случая:

1) $\sin x = 0$
Общее решение этого уравнения в градусах: $x = 180^\circ \cdot n$, где $n \in \mathbb{Z}$.

2) $\sin x + \sqrt{3} \cos x = 0$
Это однородное тригонометрическое уравнение. Поскольку значения $x$, при которых $\cos x = 0$, не являются решениями данного уравнения (так как если $\cos x = 0$, то и $\sin x = 0$, что невозможно одновременно), мы можем разделить обе части уравнения на $\cos x$:
$\frac{\sin x}{\cos x} + \sqrt{3} = 0$
$\tan x = -\sqrt{3}$
Общее решение этого уравнения в градусах: $x = -60^\circ + 180^\circ \cdot k$, где $k \in \mathbb{Z}$.

Теперь необходимо найти корни, которые принадлежат заданному промежутку $[-120^\circ; 90^\circ]$.

Для первой серии корней $x = 180^\circ \cdot n$:
При $n=0$, получаем $x = 0^\circ$. Этот корень принадлежит промежутку $[-120^\circ; 90^\circ]$.
При других целых $n$ (например, $n=1$ или $n=-1$) корни выходят за пределы промежутка.

Для второй серии корней $x = -60^\circ + 180^\circ \cdot k$:
При $k=0$, получаем $x = -60^\circ$. Этот корень принадлежит промежутку $[-120^\circ; 90^\circ]$.
При других целых $k$ (например, $k=1$ или $k=-1$) корни выходят за пределы промежутка.

Таким образом, на заданном промежутке уравнение имеет два корня: $0^\circ$ и $-60^\circ$.

Найдем среднее арифметическое этих корней. Среднее арифметическое — это сумма корней, деленная на их количество.
$\frac{0^\circ + (-60^\circ)}{2} = \frac{-60^\circ}{2} = -30^\circ$.

Ответ: -30

Помогло решение? Оставьте отзыв в комментариях ниже.

Присоединяйтесь к Телеграм-группе @gdz_by_belarus

Присоединиться

Мы подготовили для вас ответ c подробным объяснением домашего задания по алгебре за 10 класс, для упражнения номер 13.13 расположенного на странице 74 к сборнику задач 2020 года издания для учащихся школ и гимназий.

Теперь на нашем сайте ГДЗ.ТОП вы всегда легко и бесплатно найдёте условие с правильным ответом на вопрос «Как решить ДЗ» и «Как сделать» задание по алгебре к упражнению №13.13 (с. 74), авторов: Арефьева (Ирина Глебовна), Пирютко (Ольга Николаевна), базовый и повышенный уровень обучения учебного пособия издательства Народная асвета.