Номер 14.11, страница 80 - гдз по алгебре 10 класс сборник задач Арефьева, Пирютко

Алгебра, 10 класс Сборник задач, авторы: Арефьева Ирина Глебовна, Пирютко Ольга Николаевна, издательство Народная асвета, Минск, 2020, белого цвета

Авторы: Арефьева И. Г., Пирютко О. Н.

Тип: Сборник задач

Издательство: Народная асвета

Год издания: 2020 - 2025

Уровень обучения: базовый и повышенный

Цвет обложки: белый, голубой с графиком

Допущено Министерством образования Республики Беларусь

Популярные ГДЗ в 10 классе

Глава 3. Тригонометрия. Параграф 14. Формулы приведения - номер 14.11, страница 80.

№14.11 (с. 80)
Условие. №14.11 (с. 80)
скриншот условия
Алгебра, 10 класс Сборник задач, авторы: Арефьева Ирина Глебовна, Пирютко Ольга Николаевна, издательство Народная асвета, Минск, 2020, белого цвета, страница 80, номер 14.11, Условие

14.11. Используйте формулы приведения и решите уравнение:

a) $2\cos^2 x - 3\cos\left(\frac{3\pi}{2} - x\right) = 2\sin x + 2;$

б) $\frac{5}{\cos^2 (3\pi - x)} = 17 + \operatorname{tg}^2 (2\pi - x);$

в) $\cos\left(1,5\pi + \frac{x}{2}\right) - \sqrt{3} \sin\left(1,5\pi - \frac{x}{2}\right) = 0.$

Решение. №14.11 (с. 80)
Алгебра, 10 класс Сборник задач, авторы: Арефьева Ирина Глебовна, Пирютко Ольга Николаевна, издательство Народная асвета, Минск, 2020, белого цвета, страница 80, номер 14.11, Решение Алгебра, 10 класс Сборник задач, авторы: Арефьева Ирина Глебовна, Пирютко Ольга Николаевна, издательство Народная асвета, Минск, 2020, белого цвета, страница 80, номер 14.11, Решение (продолжение 2)
Решение 2. №14.11 (с. 80)

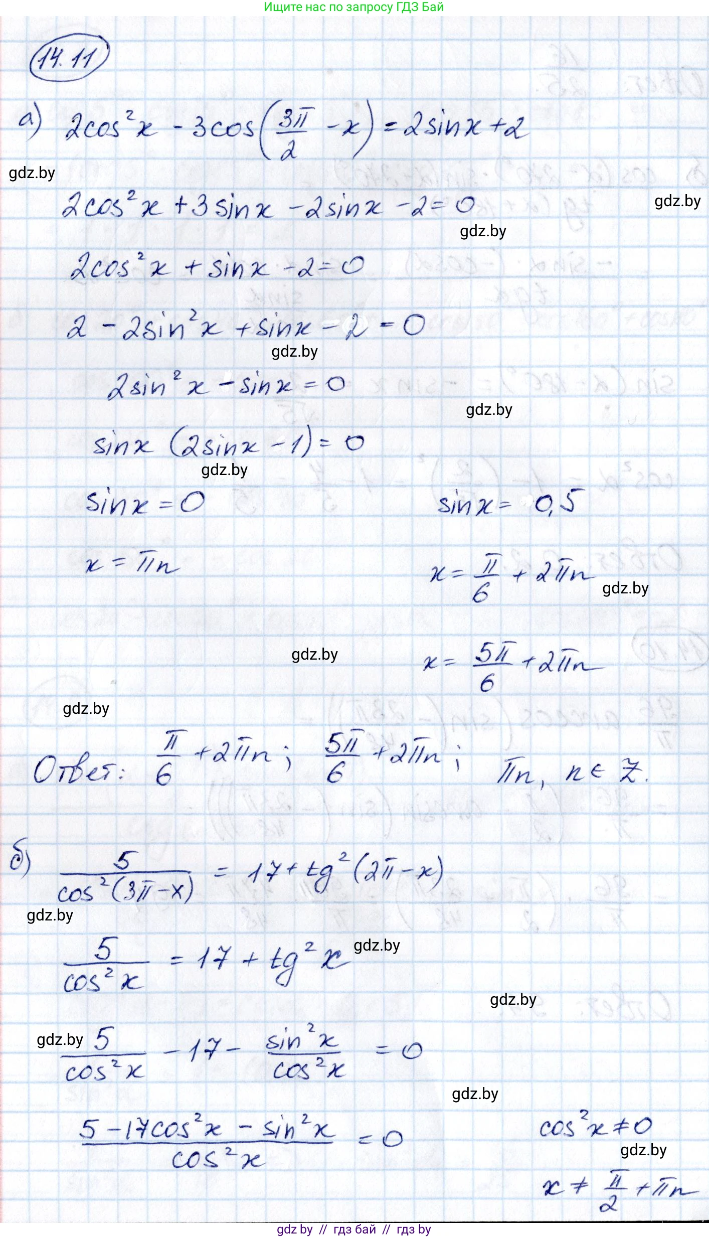
а) $2\cos^2 x - 3\cos(\frac{3\pi}{2} - x) = 2\sin x + 2$

Для начала, упростим уравнение, используя формулы приведения.

Применим формулу приведения для $\cos(\frac{3\pi}{2} - x)$. Так как угол $\frac{3\pi}{2}$ находится на вертикальной оси единичной окружности, функция косинус меняется на синус. Угол $(\frac{3\pi}{2} - x)$ находится в третьей четверти, где косинус отрицателен, поэтому $\cos(\frac{3\pi}{2} - x) = -\sin x$.

Подставим это выражение в исходное уравнение:

$2\cos^2 x - 3(-\sin x) = 2\sin x + 2$

$2\cos^2 x + 3\sin x = 2\sin x + 2$

Перенесем все члены в левую часть:

$2\cos^2 x + \sin x - 2 = 0$

Используем основное тригонометрическое тождество $\cos^2 x = 1 - \sin^2 x$, чтобы привести уравнение к одной функции:

$2(1 - \sin^2 x) + \sin x - 2 = 0$

$2 - 2\sin^2 x + \sin x - 2 = 0$

$-2\sin^2 x + \sin x = 0$

Умножим на $-1$ и вынесем $\sin x$ за скобки:

$2\sin^2 x - \sin x = 0$

$\sin x(2\sin x - 1) = 0$

Это уравнение распадается на два:

1) $\sin x = 0$, откуда $x = \pi k, k \in \mathbb{Z}$.

2) $2\sin x - 1 = 0$, откуда $\sin x = \frac{1}{2}$. Решениями этого уравнения являются $x = (-1)^n \frac{\pi}{6} + \pi n, n \in \mathbb{Z}$.

Ответ: $x = \pi k, k \in \mathbb{Z}$; $x = (-1)^n \frac{\pi}{6} + \pi n, n \in \mathbb{Z}$.

б) $\frac{5}{\cos^2(3\pi - x)} = 17 + \text{tg}^2(2\pi - x)$

Сначала применим формулы приведения к выражениям в уравнении.

Для $\cos(3\pi - x)$: так как $3\pi$ — это целый оборот и еще $\pi$, то $\cos(3\pi - x) = \cos(\pi - x)$. Угол $\pi$ находится на горизонтальной оси, поэтому функция не меняется. Аргумент $(\pi-x)$ находится во второй четверти (если $x$ мал и положителен), где косинус отрицателен. Значит, $\cos(\pi - x) = -\cos x$. Тогда $\cos^2(3\pi - x) = (-\cos x)^2 = \cos^2 x$.

Для $\text{tg}(2\pi - x)$: угол $2\pi$ находится на горизонтальной оси, функция не меняется. Аргумент $(2\pi-x)$ находится в четвертой четверти, где тангенс отрицателен. Значит, $\text{tg}(2\pi - x) = -\text{tg} x$. Тогда $\text{tg}^2(2\pi - x) = (-\text{tg} x)^2 = \text{tg}^2 x$.

Уравнение принимает вид:

$\frac{5}{\cos^2 x} = 17 + \text{tg}^2 x$

Область допустимых значений (ОДЗ): $\cos x \neq 0$, то есть $x \neq \frac{\pi}{2} + \pi k, k \in \mathbb{Z}$.

Используем тождество $\frac{1}{\cos^2 x} = 1 + \text{tg}^2 x$:

$5(1 + \text{tg}^2 x) = 17 + \text{tg}^2 x$

$5 + 5\text{tg}^2 x = 17 + \text{tg}^2 x$

Перенесем члены с тангенсом в одну сторону, а числа в другую:

$5\text{tg}^2 x - \text{tg}^2 x = 17 - 5$

$4\text{tg}^2 x = 12$

$\text{tg}^2 x = 3$

Отсюда $\text{tg} x = \sqrt{3}$ или $\text{tg} x = -\sqrt{3}$.

1) $\text{tg} x = \sqrt{3}$, откуда $x = \frac{\pi}{3} + \pi k, k \in \mathbb{Z}$.

2) $\text{tg} x = -\sqrt{3}$, откуда $x = -\frac{\pi}{3} + \pi n, n \in \mathbb{Z}$.

Оба семейства решений можно объединить в одну формулу: $x = \pm \frac{\pi}{3} + \pi k, k \in \mathbb{Z}$. Эти решения удовлетворяют ОДЗ.

Ответ: $x = \pm \frac{\pi}{3} + \pi k, k \in \mathbb{Z}$.

в) $\cos(1,5\pi + \frac{x}{2}) - \sqrt{3}\sin(1,5\pi - \frac{x}{2}) = 0$

Перепишем $1,5\pi$ как $\frac{3\pi}{2}$ и применим формулы приведения.

$\cos(\frac{3\pi}{2} + \frac{x}{2}) - \sqrt{3}\sin(\frac{3\pi}{2} - \frac{x}{2}) = 0$

Для $\cos(\frac{3\pi}{2} + \frac{x}{2})$: угол $\frac{3\pi}{2}$ на вертикальной оси, функция меняется на синус. Аргумент $(\frac{3\pi}{2} + \frac{x}{2})$ находится в четвертой четверти, где косинус положителен. Поэтому $\cos(\frac{3\pi}{2} + \frac{x}{2}) = \sin(\frac{x}{2})$.

Для $\sin(\frac{3\pi}{2} - \frac{x}{2})$: угол $\frac{3\pi}{2}$ на вертикальной оси, функция меняется на косинус. Аргумент $(\frac{3\pi}{2} - \frac{x}{2})$ находится в третьей четверти, где синус отрицателен. Поэтому $\sin(\frac{3\pi}{2} - \frac{x}{2}) = -\cos(\frac{x}{2})$.

Подставляем в уравнение:

$\sin(\frac{x}{2}) - \sqrt{3}(-\cos(\frac{x}{2})) = 0$

$\sin(\frac{x}{2}) + \sqrt{3}\cos(\frac{x}{2}) = 0$

Это однородное тригонометрическое уравнение первого порядка. Разделим обе части на $\cos(\frac{x}{2})$. Это можно сделать, так как если $\cos(\frac{x}{2})=0$, то из уравнения следует, что и $\sin(\frac{x}{2})=0$, что невозможно одновременно.

$\frac{\sin(x/2)}{\cos(x/2)} + \sqrt{3} = 0$

$\text{tg}(\frac{x}{2}) + \sqrt{3} = 0$

$\text{tg}(\frac{x}{2}) = -\sqrt{3}$

Решаем относительно аргумента $\frac{x}{2}$:

$\frac{x}{2} = \text{arctg}(-\sqrt{3}) + \pi k, k \in \mathbb{Z}$

$\frac{x}{2} = -\frac{\pi}{3} + \pi k, k \in \mathbb{Z}$

Умножим обе части на 2, чтобы найти $x$:

$x = 2(-\frac{\pi}{3} + \pi k)$

$x = -\frac{2\pi}{3} + 2\pi k, k \in \mathbb{Z}$

Ответ: $x = -\frac{2\pi}{3} + 2\pi k, k \in \mathbb{Z}$.

Помогло решение? Оставьте отзыв в комментариях ниже.

Присоединяйтесь к Телеграм-группе @gdz_by_belarus

Присоединиться

Мы подготовили для вас ответ c подробным объяснением домашего задания по алгебре за 10 класс, для упражнения номер 14.11 расположенного на странице 80 к сборнику задач 2020 года издания для учащихся школ и гимназий.

Теперь на нашем сайте ГДЗ.ТОП вы всегда легко и бесплатно найдёте условие с правильным ответом на вопрос «Как решить ДЗ» и «Как сделать» задание по алгебре к упражнению №14.11 (с. 80), авторов: Арефьева (Ирина Глебовна), Пирютко (Ольга Николаевна), базовый и повышенный уровень обучения учебного пособия издательства Народная асвета.