Номер 14.16, страница 80 - гдз по алгебре 10 класс сборник задач Арефьева, Пирютко

Алгебра, 10 класс Сборник задач, авторы: Арефьева Ирина Глебовна, Пирютко Ольга Николаевна, издательство Народная асвета, Минск, 2020, белого цвета

Авторы: Арефьева И. Г., Пирютко О. Н.

Тип: Сборник задач

Издательство: Народная асвета

Год издания: 2020 - 2025

Уровень обучения: базовый и повышенный

Цвет обложки: белый, голубой с графиком

Допущено Министерством образования Республики Беларусь

Популярные ГДЗ в 10 классе

Глава 3. Тригонометрия. Параграф 14. Формулы приведения - номер 14.16, страница 80.

№14.16 (с. 80)
Условие. №14.16 (с. 80)
скриншот условия
Алгебра, 10 класс Сборник задач, авторы: Арефьева Ирина Глебовна, Пирютко Ольга Николаевна, издательство Народная асвета, Минск, 2020, белого цвета, страница 80, номер 14.16, Условие

14.16. Используйте формулы приведения и решите неравенство:

a) $\sin\left(\frac{3\pi}{2} + x\right) \le \frac{1}{2}$;

б) $\cos(\pi + x) < \frac{\sqrt{3}}{2}$;

в) $\operatorname{tg}(7.5\pi - 2x) \ge \frac{\sqrt{3}}{3}$.

Решение. №14.16 (с. 80)
Алгебра, 10 класс Сборник задач, авторы: Арефьева Ирина Глебовна, Пирютко Ольга Николаевна, издательство Народная асвета, Минск, 2020, белого цвета, страница 80, номер 14.16, Решение Алгебра, 10 класс Сборник задач, авторы: Арефьева Ирина Глебовна, Пирютко Ольга Николаевна, издательство Народная асвета, Минск, 2020, белого цвета, страница 80, номер 14.16, Решение (продолжение 2)
Решение 2. №14.16 (с. 80)

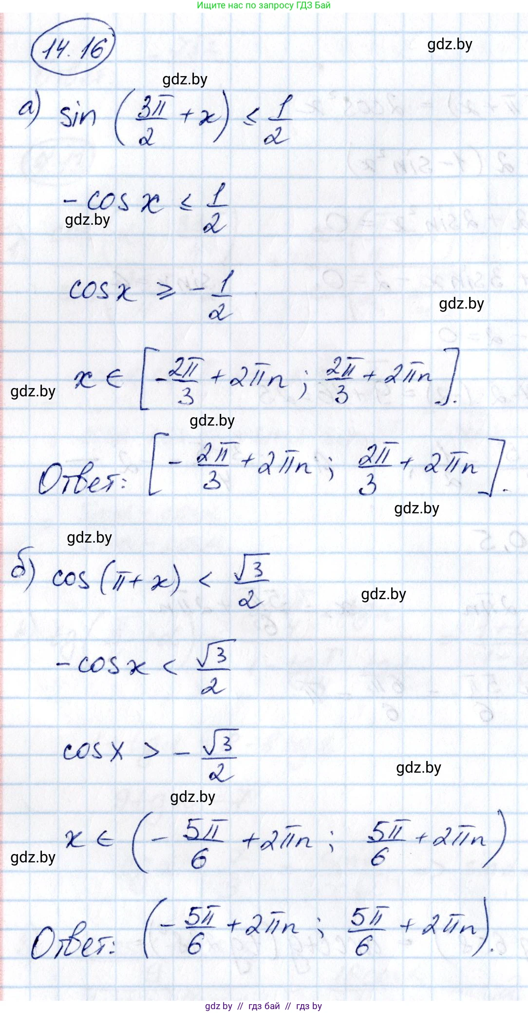
а) Исходное неравенство: $sin(\frac{3\pi}{2} + x) \le \frac{1}{2}$.
Применим формулу приведения. Угол $(\frac{3\pi}{2} + x)$ находится в IV четверти, где синус отрицателен. При приведении через угол $\frac{3\pi}{2}$ функция меняется на кофункцию. Таким образом, $sin(\frac{3\pi}{2} + x) = -cos(x)$.
Неравенство преобразуется к виду: $-cos(x) \le \frac{1}{2}$.
Умножим обе части на -1, изменив знак неравенства: $cos(x) \ge -\frac{1}{2}$.
Решением этого тригонометрического неравенства является множество значений $x$, для которых косинус не меньше $-\frac{1}{2}$. На единичной окружности это соответствует дуге от $-\frac{2\pi}{3}$ до $\frac{2\pi}{3}$.
С учётом периодичности функции косинус ($2\pi$) получаем общее решение:
$-\frac{2\pi}{3} + 2\pi k \le x \le \frac{2\pi}{3} + 2\pi k$, где $k \in \mathbb{Z}$.
Ответ: $x \in [-\frac{2\pi}{3} + 2\pi k; \frac{2\pi}{3} + 2\pi k]$, $k \in \mathbb{Z}$.

б) Исходное неравенство: $cos(\pi + x) < \frac{\sqrt{3}}{2}$.
Применим формулу приведения. Угол $(\pi + x)$ находится в III четверти, где косинус отрицателен. При приведении через угол $\pi$ функция не меняется. Таким образом, $cos(\pi + x) = -cos(x)$.
Неравенство преобразуется к виду: $-cos(x) < \frac{\sqrt{3}}{2}$.
Умножим обе части на -1, изменив знак неравенства: $cos(x) > -\frac{\sqrt{3}}{2}$.
Решением этого неравенства является множество значений $x$, для которых косинус строго больше $-\frac{\sqrt{3}}{2}$. На единичной окружности это соответствует дуге от $-\frac{5\pi}{6}$ до $\frac{5\pi}{6}$.
С учётом периодичности функции косинус ($2\pi$) получаем общее решение:
$-\frac{5\pi}{6} + 2\pi k < x < \frac{5\pi}{6} + 2\pi k$, где $k \in \mathbb{Z}$.
Ответ: $x \in (-\frac{5\pi}{6} + 2\pi k; \frac{5\pi}{6} + 2\pi k)$, $k \in \mathbb{Z}$.

в) Исходное неравенство: $tg(7,5\pi - 2x) \ge \frac{\sqrt{3}}{3}$.
Упростим аргумент тангенса, используя его периодичность (период равен $\pi$). $7,5\pi = 7\pi + 0,5\pi$. Отбросим целое число периодов ($7\pi$):
$tg(7,5\pi - 2x) = tg(0,5\pi - 2x) = tg(\frac{\pi}{2} - 2x)$.
Применим формулу приведения. При приведении через угол $\frac{\pi}{2}$ функция меняется на кофункцию: $tg(\frac{\pi}{2} - 2x) = ctg(2x)$.
Неравенство преобразуется к виду: $ctg(2x) \ge \frac{\sqrt{3}}{3}$.
Обозначим $t = 2x$. Решаем неравенство $ctg(t) \ge \frac{\sqrt{3}}{3}$.
Решением уравнения $ctg(t) = \frac{\sqrt{3}}{3}$ является $t = \frac{\pi}{3} + \pi k$.
Котангенс является убывающей функцией на каждом интервале своей области определения. Учитывая область определения котангенса ($t \neq \pi k$) и решая неравенство, получаем:
$\pi k < t \le \frac{\pi}{3} + \pi k$, где $k \in \mathbb{Z}$.
Теперь выполним обратную замену $t = 2x$:
$\pi k < 2x \le \frac{\pi}{3} + \pi k$.
Разделим все части неравенства на 2:
$\frac{\pi k}{2} < x \le \frac{\pi}{6} + \frac{\pi k}{2}$, где $k \in \mathbb{Z}$.
Ответ: $x \in (\frac{\pi k}{2}; \frac{\pi}{6} + \frac{\pi k}{2}]$, $k \in \mathbb{Z}$.

Помогло решение? Оставьте отзыв в комментариях ниже.

Присоединяйтесь к Телеграм-группе @gdz_by_belarus

Присоединиться

Мы подготовили для вас ответ c подробным объяснением домашего задания по алгебре за 10 класс, для упражнения номер 14.16 расположенного на странице 80 к сборнику задач 2020 года издания для учащихся школ и гимназий.

Теперь на нашем сайте ГДЗ.ТОП вы всегда легко и бесплатно найдёте условие с правильным ответом на вопрос «Как решить ДЗ» и «Как сделать» задание по алгебре к упражнению №14.16 (с. 80), авторов: Арефьева (Ирина Глебовна), Пирютко (Ольга Николаевна), базовый и повышенный уровень обучения учебного пособия издательства Народная асвета.