Номер 15.11, страница 85 - гдз по алгебре 10 класс сборник задач Арефьева, Пирютко

Алгебра, 10 класс Сборник задач, авторы: Арефьева Ирина Глебовна, Пирютко Ольга Николаевна, издательство Народная асвета, Минск, 2020, белого цвета

Авторы: Арефьева И. Г., Пирютко О. Н.

Тип: Сборник задач

Издательство: Народная асвета

Год издания: 2020 - 2025

Уровень обучения: базовый и повышенный

Цвет обложки: белый, голубой с графиком

Допущено Министерством образования Республики Беларусь

Популярные ГДЗ в 10 классе

Глава 3. Тригонометрия. Параграф 15. Синус, косинус, тангенс суммы и разности - номер 15.11, страница 85.

№15.11 (с. 85)
Условие. №15.11 (с. 85)
скриншот условия
Алгебра, 10 класс Сборник задач, авторы: Арефьева Ирина Глебовна, Пирютко Ольга Николаевна, издательство Народная асвета, Минск, 2020, белого цвета, страница 85, номер 15.11, Условие

15.11. Найдите абсциссы точек пересечения графика функции:

a) $y = \sqrt{2}\sin\left(\frac{\pi}{4}-\frac{x}{2}\right)+\sin\frac{x}{2}$ и прямой $y=1$;

б) $y = \sqrt{2}\cos\left(\frac{\pi}{4}+x\right)-\cos x$ и прямой $y=1$.

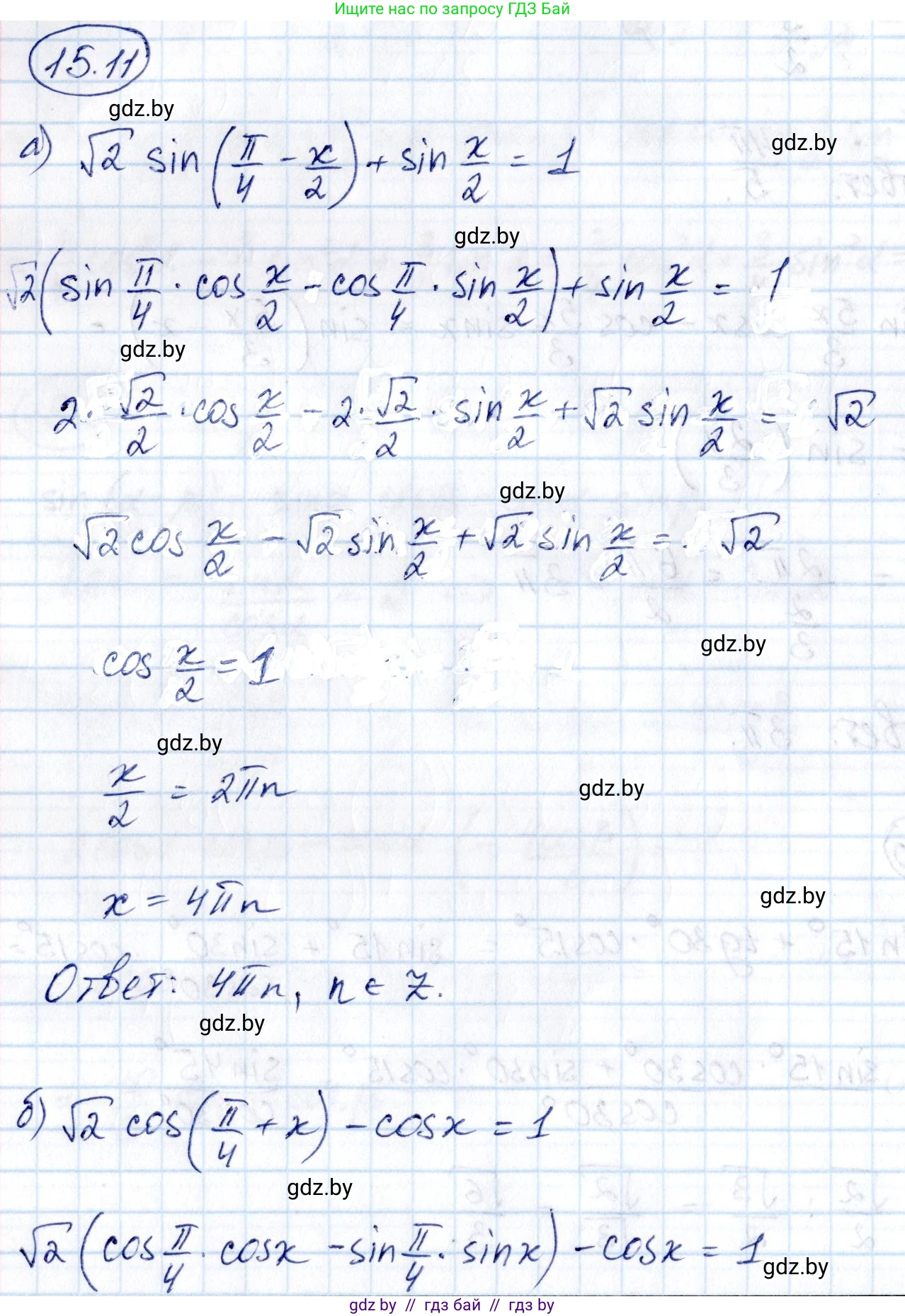
Решение. №15.11 (с. 85)
Алгебра, 10 класс Сборник задач, авторы: Арефьева Ирина Глебовна, Пирютко Ольга Николаевна, издательство Народная асвета, Минск, 2020, белого цвета, страница 85, номер 15.11, Решение Алгебра, 10 класс Сборник задач, авторы: Арефьева Ирина Глебовна, Пирютко Ольга Николаевна, издательство Народная асвета, Минск, 2020, белого цвета, страница 85, номер 15.11, Решение (продолжение 2)
Решение 2. №15.11 (с. 85)

а) Чтобы найти абсциссы точек пересечения, необходимо приравнять правые части уравнений функции $y = \sqrt{2}\sin(\frac{\pi}{4} - \frac{x}{2}) + \sin\frac{x}{2}$ и прямой $y=1$:

$\sqrt{2}\sin(\frac{\pi}{4} - \frac{x}{2}) + \sin\frac{x}{2} = 1$

Для упрощения уравнения воспользуемся формулой синуса разности: $\sin(\alpha - \beta) = \sin\alpha\cos\beta - \cos\alpha\sin\beta$.

$\sin(\frac{\pi}{4} - \frac{x}{2}) = \sin\frac{\pi}{4}\cos\frac{x}{2} - \cos\frac{\pi}{4}\sin\frac{x}{2}$

Зная, что $\sin\frac{\pi}{4} = \frac{\sqrt{2}}{2}$ и $\cos\frac{\pi}{4} = \frac{\sqrt{2}}{2}$, подставляем эти значения в выражение:

$\sin(\frac{\pi}{4} - \frac{x}{2}) = \frac{\sqrt{2}}{2}\cos\frac{x}{2} - \frac{\sqrt{2}}{2}\sin\frac{x}{2} = \frac{\sqrt{2}}{2}(\cos\frac{x}{2} - \sin\frac{x}{2})$

Теперь подставим результат обратно в исходное уравнение:

$\sqrt{2} \cdot \left(\frac{\sqrt{2}}{2}(\cos\frac{x}{2} - \sin\frac{x}{2})\right) + \sin\frac{x}{2} = 1$

Далее, упрощаем полученное уравнение:

$\frac{2}{2}(\cos\frac{x}{2} - \sin\frac{x}{2}) + \sin\frac{x}{2} = 1$

$\cos\frac{x}{2} - \sin\frac{x}{2} + \sin\frac{x}{2} = 1$

$\cos\frac{x}{2} = 1$

Решением данного простейшего тригонометрического уравнения является серия корней:

$\frac{x}{2} = 2\pi k$, где $k \in \mathbb{Z}$.

Отсюда находим абсциссы $x$:

$x = 4\pi k$, где $k \in \mathbb{Z}$.

Ответ: $x = 4\pi k, k \in \mathbb{Z}$.

б) Аналогично предыдущему пункту, приравниваем правые части уравнений функции $y = \sqrt{2}\cos(\frac{\pi}{4} + x) - \cos x$ и прямой $y=1$:

$\sqrt{2}\cos(\frac{\pi}{4} + x) - \cos x = 1$

Применим формулу косинуса суммы: $\cos(\alpha + \beta) = \cos\alpha\cos\beta - \sin\alpha\sin\beta$.

$\cos(\frac{\pi}{4} + x) = \cos\frac{\pi}{4}\cos x - \sin\frac{\pi}{4}\sin x$

Подставим табличные значения $\cos\frac{\pi}{4} = \frac{\sqrt{2}}{2}$ и $\sin\frac{\pi}{4} = \frac{\sqrt{2}}{2}$:

$\cos(\frac{\pi}{4} + x) = \frac{\sqrt{2}}{2}\cos x - \frac{\sqrt{2}}{2}\sin x = \frac{\sqrt{2}}{2}(\cos x - \sin x)$

Подставим полученное выражение в исходное уравнение:

$\sqrt{2} \cdot \left(\frac{\sqrt{2}}{2}(\cos x - \sin x)\right) - \cos x = 1$

Упрощаем уравнение:

$\frac{2}{2}(\cos x - \sin x) - \cos x = 1$

$\cos x - \sin x - \cos x = 1$

$-\sin x = 1$

$\sin x = -1$

Общее решение этого уравнения можно записать в виде $x = \frac{3\pi}{2} + 2\pi n$, где $n \in \mathbb{Z}$.

В данном ответе дробь $\frac{3}{2}$ является неправильной. Выделим из неё целую часть: $\frac{3}{2} = 1\frac{1}{2}$.

Ответ: $x = $1$\frac{1}{2}\pi + 2\pi n, n \in \mathbb{Z}$.

Помогло решение? Оставьте отзыв в комментариях ниже.

Присоединяйтесь к Телеграм-группе @gdz_by_belarus

Присоединиться

Мы подготовили для вас ответ c подробным объяснением домашего задания по алгебре за 10 класс, для упражнения номер 15.11 расположенного на странице 85 к сборнику задач 2020 года издания для учащихся школ и гимназий.

Теперь на нашем сайте ГДЗ.ТОП вы всегда легко и бесплатно найдёте условие с правильным ответом на вопрос «Как решить ДЗ» и «Как сделать» задание по алгебре к упражнению №15.11 (с. 85), авторов: Арефьева (Ирина Глебовна), Пирютко (Ольга Николаевна), базовый и повышенный уровень обучения учебного пособия издательства Народная асвета.