Номер 15.16, страница 85 - гдз по алгебре 10 класс сборник задач Арефьева, Пирютко

Алгебра, 10 класс Сборник задач, авторы: Арефьева Ирина Глебовна, Пирютко Ольга Николаевна, издательство Народная асвета, Минск, 2020, белого цвета

Авторы: Арефьева И. Г., Пирютко О. Н.

Тип: Сборник задач

Издательство: Народная асвета

Год издания: 2020 - 2025

Уровень обучения: базовый и повышенный

Цвет обложки: белый, голубой с графиком

Допущено Министерством образования Республики Беларусь

Популярные ГДЗ в 10 классе

Глава 3. Тригонометрия. Параграф 15. Синус, косинус, тангенс суммы и разности - номер 15.16, страница 85.

№15.16 (с. 85)
Условие. №15.16 (с. 85)
скриншот условия
Алгебра, 10 класс Сборник задач, авторы: Арефьева Ирина Глебовна, Пирютко Ольга Николаевна, издательство Народная асвета, Минск, 2020, белого цвета, страница 85, номер 15.16, Условие

15.16. Найдите наибольший отрицательный корень уравнения

$\sqrt{3} \sin \frac{\pi x}{6} + \cos \frac{\pi x}{6} - 2 = 0.$

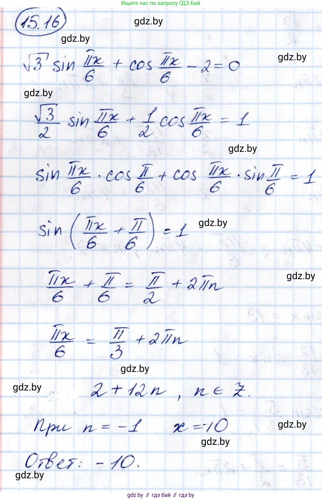
Решение. №15.16 (с. 85)
Алгебра, 10 класс Сборник задач, авторы: Арефьева Ирина Глебовна, Пирютко Ольга Николаевна, издательство Народная асвета, Минск, 2020, белого цвета, страница 85, номер 15.16, Решение
Решение 2. №15.16 (с. 85)

Исходное уравнение:
$ \sqrt{3} \sin\frac{\pi x}{6} + \cos\frac{\pi x}{6} - 2 = 0 $

Перенесем 2 в правую часть уравнения:
$ \sqrt{3} \sin\frac{\pi x}{6} + \cos\frac{\pi x}{6} = 2 $

Данное уравнение является линейным тригонометрическим уравнением вида $a \sin t + b \cos t = c$, где $t = \frac{\pi x}{6}$, $a = \sqrt{3}$, $b = 1$ и $c=2$. Для его решения применим метод введения вспомогательного угла. Разделим обе части уравнения на коэффициент $R = \sqrt{a^2 + b^2} = \sqrt{(\sqrt{3})^2 + 1^2} = \sqrt{3+1} = \sqrt{4} = 2$.

$ \frac{\sqrt{3}}{2} \sin\frac{\pi x}{6} + \frac{1}{2} \cos\frac{\pi x}{6} = \frac{2}{2} $
$ \frac{\sqrt{3}}{2} \sin\frac{\pi x}{6} + \frac{1}{2} \cos\frac{\pi x}{6} = 1 $

Заметим, что коэффициенты являются значениями синуса и косинуса стандартных углов. Например, $ \cos\frac{\pi}{6} = \frac{\sqrt{3}}{2} $ и $ \sin\frac{\pi}{6} = \frac{1}{2} $. Подставим эти значения в уравнение:
$ \cos\frac{\pi}{6} \sin\frac{\pi x}{6} + \sin\frac{\pi}{6} \cos\frac{\pi x}{6} = 1 $

Левая часть уравнения представляет собой развернутую формулу синуса суммы двух углов: $ \sin(\alpha + \beta) = \sin\alpha\cos\beta + \cos\alpha\sin\beta $. В нашем случае $ \alpha = \frac{\pi x}{6} $ и $ \beta = \frac{\pi}{6} $. Свернем выражение по этой формуле:
$ \sin(\frac{\pi x}{6} + \frac{\pi}{6}) = 1 $

Мы получили простейшее тригонометрическое уравнение. Решение уравнения $ \sin y = 1 $ имеет вид $ y = \frac{\pi}{2} + 2\pi k $, где $k$ – любое целое число ($ k \in \mathbb{Z} $).
Применим это к нашему уравнению:
$ \frac{\pi x}{6} + \frac{\pi}{6} = \frac{\pi}{2} + 2\pi k $

Теперь решим это уравнение относительно $x$:
$ \frac{\pi x}{6} = \frac{\pi}{2} - \frac{\pi}{6} + 2\pi k $
$ \frac{\pi x}{6} = \frac{3\pi - \pi}{6} + 2\pi k $
$ \frac{\pi x}{6} = \frac{2\pi}{6} + 2\pi k $
$ \frac{\pi x}{6} = \frac{\pi}{3} + 2\pi k $

Разделим обе части на $ \pi $ и умножим на 6, чтобы выразить $x$:
$ \frac{x}{6} = \frac{1}{3} + 2k $
$ x = 6 \left(\frac{1}{3} + 2k\right) $
$ x = 2 + 12k, \quad k \in \mathbb{Z} $

Нам необходимо найти наибольший отрицательный корень. Для этого найдем, при каких целых значениях $k$ корень $x$ будет отрицательным:
$ 2 + 12k < 0 $
$ 12k < -2 $
$ k < -\frac{2}{12} $
$ k < -\frac{1}{6} $

Поскольку $k$ должно быть целым числом, наибольшее целое значение $k$, удовлетворяющее этому неравенству, равно -1.
Найдем корень при $ k = -1 $:
$ x = 2 + 12(-1) = 2 - 12 = -10 $.
При $k = -2$ корень будет $x = 2 + 12(-2) = -22$, что меньше -10. Таким образом, -10 является наибольшим отрицательным корнем.

Ответ: -10

Помогло решение? Оставьте отзыв в комментариях ниже.

Присоединяйтесь к Телеграм-группе @gdz_by_belarus

Присоединиться

Мы подготовили для вас ответ c подробным объяснением домашего задания по алгебре за 10 класс, для упражнения номер 15.16 расположенного на странице 85 к сборнику задач 2020 года издания для учащихся школ и гимназий.

Теперь на нашем сайте ГДЗ.ТОП вы всегда легко и бесплатно найдёте условие с правильным ответом на вопрос «Как решить ДЗ» и «Как сделать» задание по алгебре к упражнению №15.16 (с. 85), авторов: Арефьева (Ирина Глебовна), Пирютко (Ольга Николаевна), базовый и повышенный уровень обучения учебного пособия издательства Народная асвета.