Номер 16.16, страница 91 - гдз по алгебре 10 класс сборник задач Арефьева, Пирютко

Алгебра, 10 класс Сборник задач, авторы: Арефьева Ирина Глебовна, Пирютко Ольга Николаевна, издательство Народная асвета, Минск, 2020, белого цвета

Авторы: Арефьева И. Г., Пирютко О. Н.

Тип: Сборник задач

Издательство: Народная асвета

Год издания: 2020 - 2025

Уровень обучения: базовый и повышенный

Цвет обложки: белый, голубой с графиком

Допущено Министерством образования Республики Беларусь

Популярные ГДЗ в 10 классе

Глава 3. Тригонометрия. Параграф 16. Формулы двойного аргумента - номер 16.16, страница 91.

№16.16 (с. 91)
Условие. №16.16 (с. 91)
скриншот условия
Алгебра, 10 класс Сборник задач, авторы: Арефьева Ирина Глебовна, Пирютко Ольга Николаевна, издательство Народная асвета, Минск, 2020, белого цвета, страница 91, номер 16.16, Условие

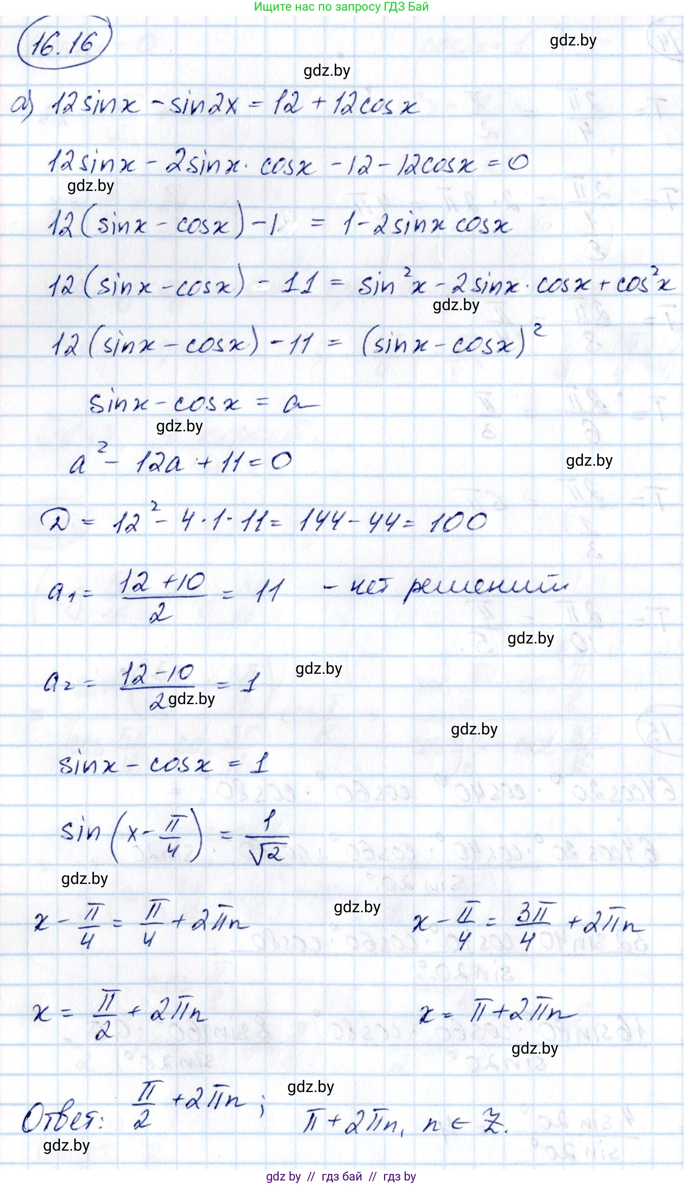
16.16. Решите уравнение:

a) $12\sin x - \sin 2x = 12 + 12\cos x$;

б) $7 + \sin 2x = 7\sin x + 7\cos x$.

Решение. №16.16 (с. 91)
Алгебра, 10 класс Сборник задач, авторы: Арефьева Ирина Глебовна, Пирютко Ольга Николаевна, издательство Народная асвета, Минск, 2020, белого цвета, страница 91, номер 16.16, Решение Алгебра, 10 класс Сборник задач, авторы: Арефьева Ирина Глебовна, Пирютко Ольга Николаевна, издательство Народная асвета, Минск, 2020, белого цвета, страница 91, номер 16.16, Решение (продолжение 2)
Решение 2. №16.16 (с. 91)

а) $12\sin x - \sin 2x = 12 + 12\cos x$

Для решения данного уравнения используем формулу синуса двойного угла: $\sin 2x = 2\sin x \cos x$.

$12\sin x - 2\sin x \cos x = 12 + 12\cos x$

Перенесем все члены уравнения в одну сторону и сгруппируем их:

$12\sin x - 12\cos x - 12 - 2\sin x \cos x = 0$

$12(\sin x - \cos x) - 12 - 2\sin x \cos x = 0$

Это уравнение удобно решать с помощью введения новой переменной. Пусть $t = \sin x - \cos x$.

Возведем обе части этого равенства в квадрат:

$t^2 = (\sin x - \cos x)^2 = \sin^2 x - 2\sin x \cos x + \cos^2 x$

Используя основное тригонометрическое тождество $\sin^2 x + \cos^2 x = 1$, получаем:

$t^2 = 1 - 2\sin x \cos x$

Отсюда выразим $2\sin x \cos x$: $2\sin x \cos x = 1 - t^2$.

Теперь подставим $t$ и выражение для $2\sin x \cos x$ в уравнение $12(\sin x - \cos x) - 12 - 2\sin x \cos x = 0$:

$12t - 12 - (1 - t^2) = 0$

$12t - 12 - 1 + t^2 = 0$

Получили квадратное уравнение относительно $t$: $t^2 + 12t - 13 = 0$.

Найдем корни этого уравнения по теореме Виета. Сумма корней равна $-12$, а произведение равно $-13$. Корни: $t_1 = 1$ и $t_2 = -13$.

Теперь выполним обратную замену для каждого корня.

Случай 1: $t = 1$.

$\sin x - \cos x = 1$.

Умножим обе части уравнения на $\frac{\sqrt{2}}{2}$ (или разделим на $\sqrt{2}$):

$\frac{\sqrt{2}}{2}\sin x - \frac{\sqrt{2}}{2}\cos x = \frac{\sqrt{2}}{2}$

Используя формулу синуса разности $\sin(\alpha - \beta) = \sin\alpha\cos\beta - \cos\alpha\sin\beta$ и зная, что $\cos(\frac{\pi}{4}) = \sin(\frac{\pi}{4}) = \frac{\sqrt{2}}{2}$, получаем:

$\sin x \cos(\frac{\pi}{4}) - \cos x \sin(\frac{\pi}{4}) = \frac{\sqrt{2}}{2}$

$\sin(x - \frac{\pi}{4}) = \frac{\sqrt{2}}{2}$

Отсюда получаем две серии решений:

1) $x - \frac{\pi}{4} = \frac{\pi}{4} + 2\pi k \implies x = \frac{\pi}{2} + 2\pi k$, где $k \in \mathbb{Z}$.

2) $x - \frac{\pi}{4} = \pi - \frac{\pi}{4} + 2\pi k \implies x - \frac{\pi}{4} = \frac{3\pi}{4} + 2\pi k \implies x = \pi + 2\pi k$, где $k \in \mathbb{Z}$.

Случай 2: $t = -13$.

$\sin x - \cos x = -13$.

Известно, что множество значений функции $y = a\sin x + b\cos x$ есть отрезок $[-\sqrt{a^2+b^2}, \sqrt{a^2+b^2}]$. Для функции $y = \sin x - \cos x$ область значений — это $[-\sqrt{1^2+(-1)^2}, \sqrt{1^2+(-1)^2}]$, то есть $[-\sqrt{2}, \sqrt{2}]$.

Поскольку $-13$ не принадлежит отрезку $[-\sqrt{2}, \sqrt{2}]$, уравнение $\sin x - \cos x = -13$ не имеет решений.

Таким образом, решениями исходного уравнения являются только те, что получены в первом случае.

Ответ: $x = \frac{\pi}{2} + 2\pi k, \quad x = \pi + 2\pi k, \quad k \in \mathbb{Z}$.

б) $7 + \sin 2x = 7\sin x + 7\cos x$

Перепишем уравнение, сгруппировав слагаемые:

$\sin 2x + 7 = 7(\sin x + \cos x)$

Данное уравнение решается аналогично предыдущему, с помощью введения замены. Пусть $t = \sin x + \cos x$.

Возведем это равенство в квадрат:

$t^2 = (\sin x + \cos x)^2 = \sin^2 x + 2\sin x \cos x + \cos^2 x$

Так как $\sin^2 x + \cos^2 x = 1$ и $2\sin x \cos x = \sin 2x$, получаем:

$t^2 = 1 + \sin 2x$

Отсюда выражаем $\sin 2x = t^2 - 1$.

Подставим $t$ и выражение для $\sin 2x$ в уравнение $\sin 2x + 7 = 7(\sin x + \cos x)$:

$(t^2 - 1) + 7 = 7t$

$t^2 + 6 = 7t$

Получили квадратное уравнение относительно $t$: $t^2 - 7t + 6 = 0$.

Найдем корни по теореме Виета. Сумма корней равна $7$, произведение равно $6$. Корни: $t_1 = 1$ и $t_2 = 6$.

Выполним обратную замену для каждого корня.

Случай 1: $t = 1$.

$\sin x + \cos x = 1$.

Разделим обе части на $\sqrt{2}$:

$\frac{1}{\sqrt{2}}\sin x + \frac{1}{\sqrt{2}}\cos x = \frac{1}{\sqrt{2}}$

Используя формулу синуса суммы $\sin(\alpha + \beta) = \sin\alpha\cos\beta + \cos\alpha\sin\beta$ и зная, что $\cos(\frac{\pi}{4}) = \sin(\frac{\pi}{4}) = \frac{\sqrt{2}}{2}$, получаем:

$\sin x \cos(\frac{\pi}{4}) + \cos x \sin(\frac{\pi}{4}) = \frac{\sqrt{2}}{2}$

$\sin(x + \frac{\pi}{4}) = \frac{\sqrt{2}}{2}$

Отсюда получаем две серии решений:

1) $x + \frac{\pi}{4} = \frac{\pi}{4} + 2\pi n \implies x = 2\pi n$, где $n \in \mathbb{Z}$.

2) $x + \frac{\pi}{4} = \pi - \frac{\pi}{4} + 2\pi n \implies x + \frac{\pi}{4} = \frac{3\pi}{4} + 2\pi n \implies x = \frac{\pi}{2} + 2\pi n$, где $n \in \mathbb{Z}$.

Случай 2: $t = 6$.

$\sin x + \cos x = 6$.

Множество значений функции $y = \sin x + \cos x$ есть отрезок $[-\sqrt{1^2+1^2}, \sqrt{1^2+1^2}]$, то есть $[-\sqrt{2}, \sqrt{2}]$.

Поскольку $6$ не принадлежит отрезку $[-\sqrt{2}, \sqrt{2}]$, уравнение $\sin x + \cos x = 6$ не имеет решений.

Следовательно, решениями исходного уравнения являются только те, что получены в первом случае.

Ответ: $x = 2\pi n, \quad x = \frac{\pi}{2} + 2\pi n, \quad n \in \mathbb{Z}$.

Помогло решение? Оставьте отзыв в комментариях ниже.

Присоединяйтесь к Телеграм-группе @gdz_by_belarus

Присоединиться

Мы подготовили для вас ответ c подробным объяснением домашего задания по алгебре за 10 класс, для упражнения номер 16.16 расположенного на странице 91 к сборнику задач 2020 года издания для учащихся школ и гимназий.

Теперь на нашем сайте ГДЗ.ТОП вы всегда легко и бесплатно найдёте условие с правильным ответом на вопрос «Как решить ДЗ» и «Как сделать» задание по алгебре к упражнению №16.16 (с. 91), авторов: Арефьева (Ирина Глебовна), Пирютко (Ольга Николаевна), базовый и повышенный уровень обучения учебного пособия издательства Народная асвета.