Номер 16.22, страница 91 - гдз по алгебре 10 класс сборник задач Арефьева, Пирютко

Алгебра, 10 класс Сборник задач, авторы: Арефьева Ирина Глебовна, Пирютко Ольга Николаевна, издательство Народная асвета, Минск, 2020, белого цвета

Авторы: Арефьева И. Г., Пирютко О. Н.

Тип: Сборник задач

Издательство: Народная асвета

Год издания: 2020 - 2025

Уровень обучения: базовый и повышенный

Цвет обложки: белый, голубой с графиком

Допущено Министерством образования Республики Беларусь

Популярные ГДЗ в 10 классе

Глава 3. Тригонометрия. Параграф 16. Формулы двойного аргумента - номер 16.22, страница 91.

№16.22 (с. 91)
Условие. №16.22 (с. 91)
скриншот условия
Алгебра, 10 класс Сборник задач, авторы: Арефьева Ирина Глебовна, Пирютко Ольга Николаевна, издательство Народная асвета, Минск, 2020, белого цвета, страница 91, номер 16.22, Условие

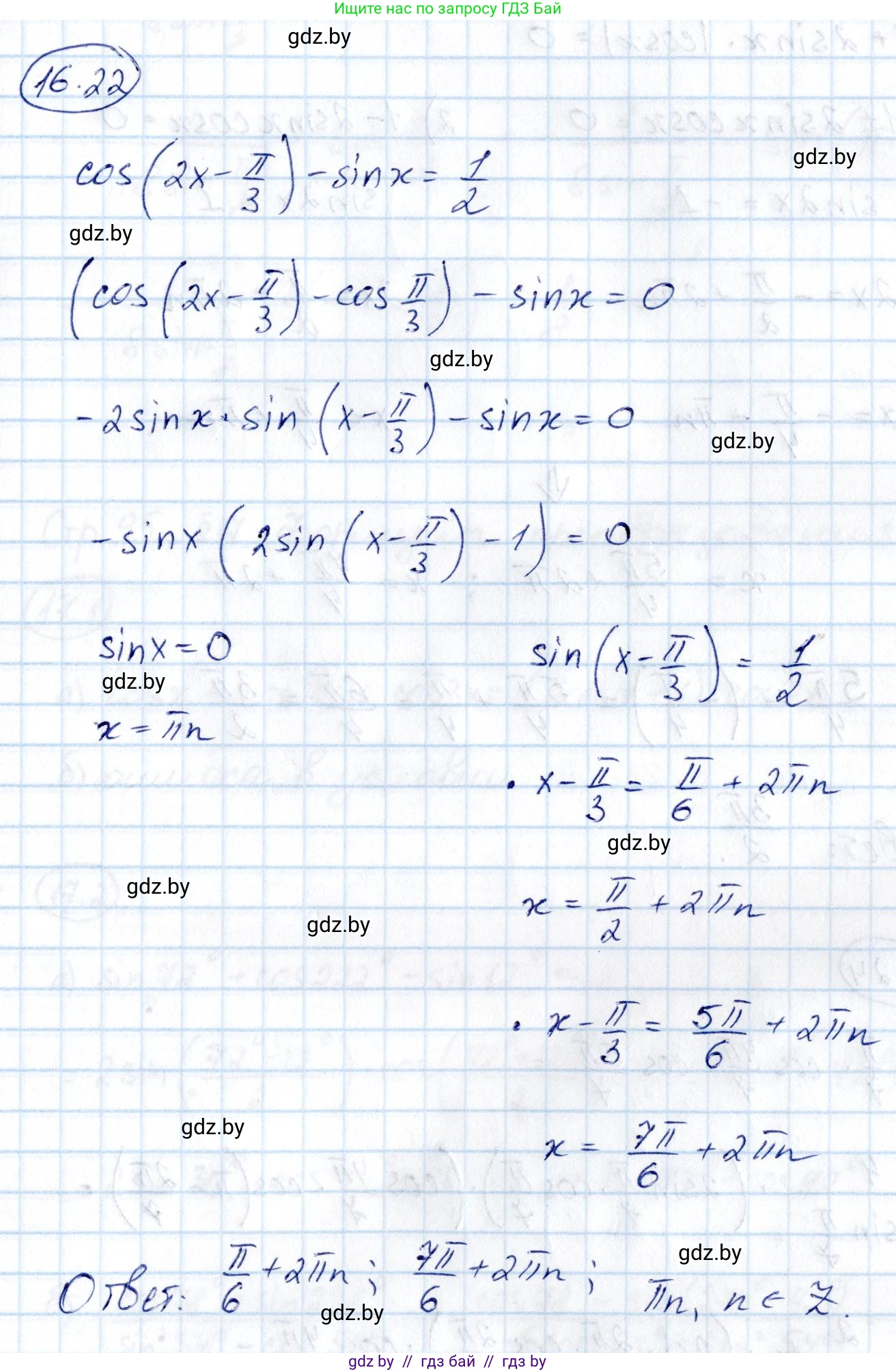
16.22. Решите уравнение $cos(2x - \frac{\pi}{3}) - sin x = \frac{1}{2}$

Решение. №16.22 (с. 91)
Алгебра, 10 класс Сборник задач, авторы: Арефьева Ирина Глебовна, Пирютко Ольга Николаевна, издательство Народная асвета, Минск, 2020, белого цвета, страница 91, номер 16.22, Решение
Решение 2. №16.22 (с. 91)

Преобразуем исходное уравнение $\cos(2x - \frac{\pi}{3}) - \sin x = \frac{1}{2}$.

Используя формулу косинуса разности $\cos(\alpha - \beta) = \cos\alpha \cos\beta + \sin\alpha \sin\beta$, получаем:

$\cos(2x)\cos(\frac{\pi}{3}) + \sin(2x)\sin(\frac{\pi}{3}) - \sin x = \frac{1}{2}$

Подставим известные значения тригонометрических функций $\cos(\frac{\pi}{3}) = \frac{1}{2}$ и $\sin(\frac{\pi}{3}) = \frac{\sqrt{3}}{2}$:

$\frac{1}{2}\cos(2x) + \frac{\sqrt{3}}{2}\sin(2x) - \sin x = \frac{1}{2}$

Умножим обе части уравнения на 2, чтобы избавиться от дробей:

$\cos(2x) + \sqrt{3}\sin(2x) - 2\sin x = 1$

Применим формулы двойного угла $\cos(2x) = 1 - 2\sin^2 x$ и $\sin(2x) = 2\sin x \cos x$:

$(1 - 2\sin^2 x) + \sqrt{3}(2\sin x \cos x) - 2\sin x = 1$

После раскрытия скобок и приведения подобных слагаемых уравнение принимает вид:

$1 - 2\sin^2 x + 2\sqrt{3}\sin x \cos x - 2\sin x - 1 = 0$

$-2\sin^2 x + 2\sqrt{3}\sin x \cos x - 2\sin x = 0$

Вынесем за скобки общий множитель $-2\sin x$:

$-2\sin x (\sin x - \sqrt{3}\cos x + 1) = 0$

Произведение равно нулю тогда и только тогда, когда хотя бы один из множителей равен нулю. Это приводит к совокупности двух уравнений:

1) $\sin x = 0$

2) $\sin x - \sqrt{3}\cos x + 1 = 0$

Решением первого уравнения $\sin x = 0$ является серия корней $x = \pi k$, где $k \in Z$.

Второе уравнение преобразуем к виду $\sin x - \sqrt{3}\cos x = -1$. Это линейное тригонометрическое уравнение, которое решается методом введения вспомогательного угла. Разделим обе части на $\sqrt{1^2 + (-\sqrt{3})^2} = \sqrt{1+3} = 2$:

$\frac{1}{2}\sin x - \frac{\sqrt{3}}{2}\cos x = -\frac{1}{2}$

Левую часть можно свернуть по формуле синуса разности $\sin(\alpha - \beta)$, где $\cos\beta = \frac{1}{2}$ и $\sin\beta = \frac{\sqrt{3}}{2}$, то есть $\beta=\frac{\pi}{3}$:

$\sin x \cos(\frac{\pi}{3}) - \cos x \sin(\frac{\pi}{3}) = -\frac{1}{2}$

$\sin(x - \frac{\pi}{3}) = -\frac{1}{2}$

Из этого уравнения получаем две серии решений:

$x - \frac{\pi}{3} = -\frac{\pi}{6} + 2\pi n \quad \Rightarrow \quad x = \frac{\pi}{3} - \frac{\pi}{6} + 2\pi n = \frac{\pi}{6} + 2\pi n$, где $n \in Z$.

$x - \frac{\pi}{3} = \pi - (-\frac{\pi}{6}) + 2\pi m = \frac{7\pi}{6} + 2\pi m \quad \Rightarrow \quad x = \frac{7\pi}{6} + \frac{\pi}{3} + 2\pi m = \frac{9\pi}{6} + 2\pi m = \frac{3\pi}{2} + 2\pi m$, где $m \in Z$.

Ответ: $x = \pi k$; $x = \frac{\pi}{6} + 2\pi n$; $x = \textbf{1}\frac{1}{2}\pi + 2\pi m$, где $k, n, m \in Z$.

Помогло решение? Оставьте отзыв в комментариях ниже.

Присоединяйтесь к Телеграм-группе @gdz_by_belarus

Присоединиться

Мы подготовили для вас ответ c подробным объяснением домашего задания по алгебре за 10 класс, для упражнения номер 16.22 расположенного на странице 91 к сборнику задач 2020 года издания для учащихся школ и гимназий.

Теперь на нашем сайте ГДЗ.ТОП вы всегда легко и бесплатно найдёте условие с правильным ответом на вопрос «Как решить ДЗ» и «Как сделать» задание по алгебре к упражнению №16.22 (с. 91), авторов: Арефьева (Ирина Глебовна), Пирютко (Ольга Николаевна), базовый и повышенный уровень обучения учебного пособия издательства Народная асвета.