Номер 18.6, страница 98 - гдз по алгебре 10 класс сборник задач Арефьева, Пирютко

Алгебра, 10 класс Сборник задач, авторы: Арефьева Ирина Глебовна, Пирютко Ольга Николаевна, издательство Народная асвета, Минск, 2020, белого цвета

Авторы: Арефьева И. Г., Пирютко О. Н.

Тип: Сборник задач

Издательство: Народная асвета

Год издания: 2020 - 2025

Уровень обучения: базовый и повышенный

Цвет обложки: белый, голубой с графиком

Допущено Министерством образования Республики Беларусь

Популярные ГДЗ в 10 классе

Глава 4. Корень n-й степени из числа. Параграф 18. Корень n-й степени из числа а (n≥2, n∈N) - номер 18.6, страница 98.

№18.6 (с. 98)
Условие. №18.6 (с. 98)
скриншот условия
Алгебра, 10 класс Сборник задач, авторы: Арефьева Ирина Глебовна, Пирютко Ольга Николаевна, издательство Народная асвета, Минск, 2020, белого цвета, страница 98, номер 18.6, Условие

18.6. Решите уравнение:

a) $x^6 + x^3 - 56 = 0$;

б) $x^{12} + 8x^6 - 9 = 0$;

в) $x^8 - 82x^4 + 81 = 0$;

г) $64x^6 - 63x^3 - 1 = 0$.

Решение. №18.6 (с. 98)
Алгебра, 10 класс Сборник задач, авторы: Арефьева Ирина Глебовна, Пирютко Ольга Николаевна, издательство Народная асвета, Минск, 2020, белого цвета, страница 98, номер 18.6, Решение Алгебра, 10 класс Сборник задач, авторы: Арефьева Ирина Глебовна, Пирютко Ольга Николаевна, издательство Народная асвета, Минск, 2020, белого цвета, страница 98, номер 18.6, Решение (продолжение 2)
Решение 2. №18.6 (с. 98)

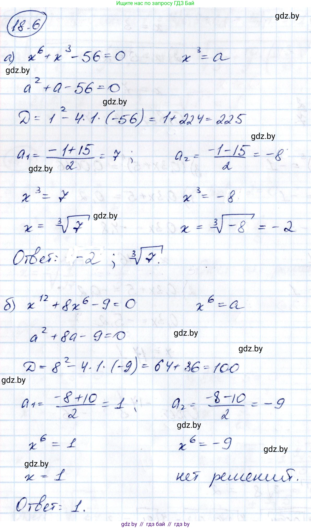
а) $x^6 + x^3 - 56 = 0$

Данное уравнение можно привести к квадратному с помощью замены переменной. Пусть $y = x^3$, тогда $x^6 = (x^3)^2 = y^2$.

Подставим новую переменную в исходное уравнение:

$y^2 + y - 56 = 0$

Решим полученное квадратное уравнение с помощью теоремы Виета. Сумма корней равна $-1$, а их произведение равно $-56$.

$y_1 + y_2 = -1$

$y_1 \cdot y_2 = -56$

Подбором находим, что корни равны $y_1 = 7$ и $y_2 = -8$.

Теперь выполним обратную замену для каждого корня:

1) $x^3 = y_1 \Rightarrow x^3 = 7 \Rightarrow x = \sqrt[3]{7}$.

2) $x^3 = y_2 \Rightarrow x^3 = -8 \Rightarrow x = \sqrt[3]{-8} = -2$.

Ответ: $-2; \sqrt[3]{7}$.

б) $x^{12} + 8x^6 - 9 = 0$

Это биквадратное уравнение относительно $x^6$. Сделаем замену $y = x^6$. Тогда $x^{12} = (x^6)^2 = y^2$.

Уравнение принимает вид:

$y^2 + 8y - 9 = 0$

По теореме Виета, сумма корней равна $-8$, а произведение $-9$.

$y_1 + y_2 = -8$

$y_1 \cdot y_2 = -9$

Корни этого уравнения: $y_1 = 1$ и $y_2 = -9$.

Произведем обратную замену:

1) $x^6 = y_1 \Rightarrow x^6 = 1$. Это уравнение имеет два действительных корня: $x = 1$ и $x = -1$.

2) $x^6 = y_2 \Rightarrow x^6 = -9$. Так как левая часть уравнения ($x^6$) не может быть отрицательной для действительных чисел $x$, это уравнение не имеет действительных корней.

Ответ: $-1; 1$.

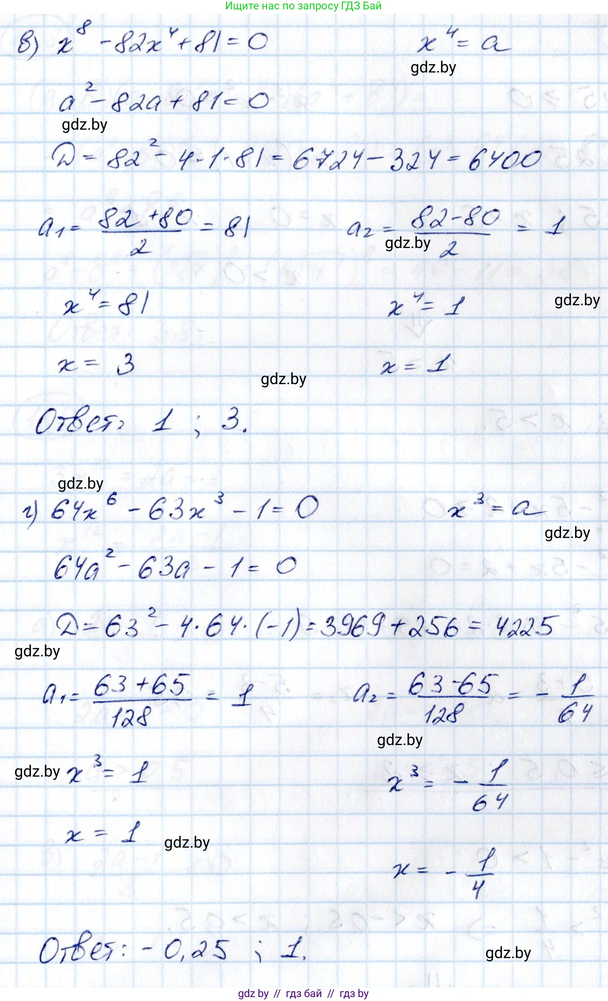
в) $x^8 - 82x^4 + 81 = 0$

Это биквадратное уравнение относительно $x^4$. Введем замену $y = x^4$, тогда $x^8 = y^2$.

Получим квадратное уравнение:

$y^2 - 82y + 81 = 0$

Решим его через дискриминант $D = b^2 - 4ac$.

$D = (-82)^2 - 4 \cdot 1 \cdot 81 = 6724 - 324 = 6400 = 80^2$.

Найдем корни для $y$:

$y_1 = \frac{82 + 80}{2} = \frac{162}{2} = 81$.

$y_2 = \frac{82 - 80}{2} = \frac{2}{2} = 1$.

Выполним обратную замену:

1) $x^4 = y_1 \Rightarrow x^4 = 81$. Корни этого уравнения: $x = \pm\sqrt[4]{81} = \pm3$.

2) $x^4 = y_2 \Rightarrow x^4 = 1$. Корни этого уравнения: $x = \pm\sqrt[4]{1} = \pm1$.

Ответ: $-3; -1; 1; 3$.

г) $64x^6 - 63x^3 - 1 = 0$

Сделаем замену переменной $y = x^3$. Тогда $64x^6 = 64(x^3)^2 = 64y^2$.

Уравнение преобразуется в квадратное:

$64y^2 - 63y - 1 = 0$

Найдем дискриминант: $D = b^2 - 4ac$.

$D = (-63)^2 - 4 \cdot 64 \cdot (-1) = 3969 + 256 = 4225 = 65^2$.

Найдем корни для $y$:

$y_1 = \frac{63 + 65}{2 \cdot 64} = \frac{128}{128} = 1$.

$y_2 = \frac{63 - 65}{128} = \frac{-2}{128} = -\frac{1}{64}$.

Выполним обратную замену:

1) $x^3 = y_1 \Rightarrow x^3 = 1$. Отсюда $x = 1$.

2) $x^3 = y_2 \Rightarrow x^3 = -\frac{1}{64}$. Отсюда $x = \sqrt[3]{-\frac{1}{64}} = -\frac{1}{4}$.

Ответ: $-\frac{1}{4}; 1$.

Помогло решение? Оставьте отзыв в комментариях ниже.

Присоединяйтесь к Телеграм-группе @gdz_by_belarus

Присоединиться

Мы подготовили для вас ответ c подробным объяснением домашего задания по алгебре за 10 класс, для упражнения номер 18.6 расположенного на странице 98 к сборнику задач 2020 года издания для учащихся школ и гимназий.

Теперь на нашем сайте ГДЗ.ТОП вы всегда легко и бесплатно найдёте условие с правильным ответом на вопрос «Как решить ДЗ» и «Как сделать» задание по алгебре к упражнению №18.6 (с. 98), авторов: Арефьева (Ирина Глебовна), Пирютко (Ольга Николаевна), базовый и повышенный уровень обучения учебного пособия издательства Народная асвета.