Номер 17.16, страница 96 - гдз по алгебре 10 класс сборник задач Арефьева, Пирютко

Алгебра, 10 класс Сборник задач, авторы: Арефьева Ирина Глебовна, Пирютко Ольга Николаевна, издательство Народная асвета, Минск, 2020, белого цвета

Авторы: Арефьева И. Г., Пирютко О. Н.

Тип: Сборник задач

Издательство: Народная асвета

Год издания: 2020 - 2025

Уровень обучения: базовый и повышенный

Цвет обложки: белый, голубой с графиком

Допущено Министерством образования Республики Беларусь

Популярные ГДЗ в 10 классе

Глава 3. Тригонометрия. Параграф 17. Формулы преобразования суммы и разности синусов (косинусов) в произведение - номер 17.16, страница 96.

№17.16 (с. 96)
Условие. №17.16 (с. 96)
скриншот условия
Алгебра, 10 класс Сборник задач, авторы: Арефьева Ирина Глебовна, Пирютко Ольга Николаевна, издательство Народная асвета, Минск, 2020, белого цвета, страница 96, номер 17.16, Условие

17.16. Решите уравнение $|\sin x| = \cos 5x$.

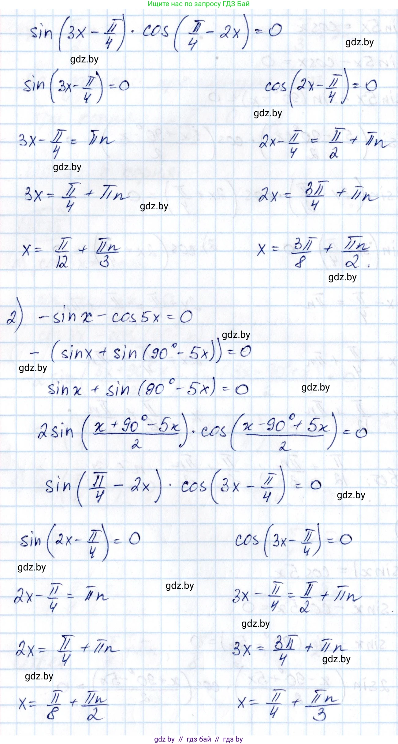
Решение. №17.16 (с. 96)
Алгебра, 10 класс Сборник задач, авторы: Арефьева Ирина Глебовна, Пирютко Ольга Николаевна, издательство Народная асвета, Минск, 2020, белого цвета, страница 96, номер 17.16, Решение Алгебра, 10 класс Сборник задач, авторы: Арефьева Ирина Глебовна, Пирютко Ольга Николаевна, издательство Народная асвета, Минск, 2020, белого цвета, страница 96, номер 17.16, Решение (продолжение 2)
Решение 2. №17.16 (с. 96)

Исходное уравнение: $|\sin x| = \cos 5x$.

Поскольку левая часть уравнения неотрицательна ($|\sin x| \ge 0$), то и правая часть должна быть неотрицательной. Это является областью допустимых значений (ОДЗ) для данного уравнения:

$\cos 5x \ge 0$

Раскроем модуль, рассмотрев два случая.

1 случай: $\sin x \ge 0$

В этом случае $|\sin x| = \sin x$, и уравнение принимает вид:

$\sin x = \cos 5x$

Используем формулу приведения $\cos \alpha = \sin(\frac{\pi}{2} - \alpha)$:

$\sin x = \sin(\frac{\pi}{2} - 5x)$

Решения этого уравнения имеют вид:

$x = (\frac{\pi}{2} - 5x) + 2\pi n, \quad n \in \mathbb{Z}$

$x = \pi - (\frac{\pi}{2} - 5x) + 2\pi k, \quad k \in \mathbb{Z}$

Решим каждое из них:

1) $x = \frac{\pi}{2} - 5x + 2\pi n \implies 6x = \frac{\pi}{2} + 2\pi n \implies x = \frac{\pi}{12} + \frac{\pi n}{3}$

2) $x = \pi - \frac{\pi}{2} + 5x + 2\pi k \implies -4x = \frac{\pi}{2} + 2\pi k \implies x = -\frac{\pi}{8} - \frac{\pi k}{2}$

Теперь отберем корни, удовлетворяющие условию $\sin x \ge 0$.

Для серии $x = \frac{\pi}{12} + \frac{\pi n}{3}$ условие $\sin x \ge 0$ выполняется при $n \equiv 0, 1, 2 \pmod 6$. Это дает решения:

$x = \frac{\pi}{12} + 2\pi m$, $x = \frac{5\pi}{12} + 2\pi m$, $x = \frac{9\pi}{12} + 2\pi m = \frac{3\pi}{4} + 2\pi m$, где $m \in \mathbb{Z}$.

Для серии $x = -\frac{\pi}{8} - \frac{\pi k}{2}$ (что эквивалентно $x = -\frac{\pi}{8} + \frac{\pi m}{2}$) условие $\sin x \ge 0$ выполняется при $m \equiv 1, 2 \pmod 4$. Это дает решения:

$x = \frac{3\pi}{8} + 2\pi m$, $x = \frac{7\pi}{8} + 2\pi m$, где $m \in \mathbb{Z}$.

Ответ: $x = \frac{\pi}{12} + 2\pi m$, $x = \frac{5\pi}{12} + 2\pi m$, $x = \frac{3\pi}{4} + 2\pi m$, $x = \frac{3\pi}{8} + 2\pi m$, $x = \frac{7\pi}{8} + 2\pi m$, где $m \in \mathbb{Z}$.

2 случай: $\sin x < 0$

В этом случае $|\sin x| = -\sin x$, и уравнение принимает вид:

$-\sin x = \cos 5x \implies \sin(-x) = \cos 5x$

Используем формулу приведения:

$\sin(-x) = \sin(\frac{\pi}{2} - 5x)$

Решения этого уравнения имеют вид:

$-x = (\frac{\pi}{2} - 5x) + 2\pi n, \quad n \in \mathbb{Z}$

$-x = \pi - (\frac{\pi}{2} - 5x) + 2\pi k, \quad k \in \mathbb{Z}$

Решим каждое из них:

1) $-x = \frac{\pi}{2} - 5x + 2\pi n \implies 4x = \frac{\pi}{2} + 2\pi n \implies x = \frac{\pi}{8} + \frac{\pi n}{2}$

2) $-x = \pi - \frac{\pi}{2} + 5x + 2\pi k \implies -6x = \frac{\pi}{2} + 2\pi k \implies x = -\frac{\pi}{12} - \frac{\pi k}{3}$

Теперь отберем корни, удовлетворяющие условию $\sin x < 0$.

Для серии $x = \frac{\pi}{8} + \frac{\pi n}{2}$ условие $\sin x < 0$ выполняется при $n \equiv 2, 3 \pmod 4$. Это дает решения:

$x = \frac{9\pi}{8} + 2\pi m$, $x = \frac{13\pi}{8} + 2\pi m$, где $m \in \mathbb{Z}$.

Для серии $x = -\frac{\pi}{12} - \frac{\pi k}{3}$ (что эквивалентно $x = -\frac{\pi}{12} + \frac{\pi m}{3}$) условие $\sin x < 0$ выполняется при $m \equiv 0, 4, 5 \pmod 6$. Это дает решения:

$x = -\frac{\pi}{12} + 2\pi m$, $x = \frac{15\pi}{12} + 2\pi m = \frac{5\pi}{4} + 2\pi m$, $x = \frac{19\pi}{12} + 2\pi m$, где $m \in \mathbb{Z}$.

Ответ: $x = \frac{9\pi}{8} + 2\pi m$, $x = \frac{13\pi}{8} + 2\pi m$, $x = -\frac{\pi}{12} + 2\pi m$, $x = \frac{5\pi}{4} + 2\pi m$, $x = \frac{19\pi}{12} + 2\pi m$, где $m \in \mathbb{Z}$.

Объединение решений и итоговый ответ

Соберем все найденные серии решений и сгруппируем их для получения более компактной записи:

  • $x = \frac{\pi}{12} + 2\pi m$ и $x = -\frac{\pi}{12} + 2\pi m \implies x = \pm \frac{\pi}{12} + 2\pi m$
  • $x = \frac{5\pi}{12} + 2\pi m$ и $x = \frac{19\pi}{12} + 2\pi m = -\frac{5\pi}{12} + 2\pi m \implies x = \pm \frac{5\pi}{12} + 2\pi m$
  • $x = \frac{3\pi}{4} + 2\pi m$ и $x = \frac{5\pi}{4} + 2\pi m = -\frac{3\pi}{4} + 2\pi m \implies x = \pm \frac{3\pi}{4} + 2\pi m$
  • $x = \frac{3\pi}{8} + 2\pi m$ и $x = \frac{13\pi}{8} + 2\pi m = -\frac{3\pi}{8} + 2\pi m \implies x = \pm \frac{3\pi}{8} + 2\pi m$
  • $x = \frac{7\pi}{8} + 2\pi m$ и $x = \frac{9\pi}{8} + 2\pi m = -\frac{7\pi}{8} + 2\pi m \implies x = \pm \frac{7\pi}{8} + 2\pi m$

Все эти решения автоматически удовлетворяют условию $\cos 5x \ge 0$.

Ответ:

$x = \pm \frac{\pi}{12} + 2\pi k$

$x = \pm \frac{5\pi}{12} + 2\pi k$

$x = \pm \frac{3\pi}{4} + 2\pi k$

$x = \pm \frac{3\pi}{8} + 2\pi k$

$x = \pm \frac{7\pi}{8} + 2\pi k$, где $k \in \mathbb{Z}$.

Помогло решение? Оставьте отзыв в комментариях ниже.

Присоединяйтесь к Телеграм-группе @gdz_by_belarus

Присоединиться

Мы подготовили для вас ответ c подробным объяснением домашего задания по алгебре за 10 класс, для упражнения номер 17.16 расположенного на странице 96 к сборнику задач 2020 года издания для учащихся школ и гимназий.

Теперь на нашем сайте ГДЗ.ТОП вы всегда легко и бесплатно найдёте условие с правильным ответом на вопрос «Как решить ДЗ» и «Как сделать» задание по алгебре к упражнению №17.16 (с. 96), авторов: Арефьева (Ирина Глебовна), Пирютко (Ольга Николаевна), базовый и повышенный уровень обучения учебного пособия издательства Народная асвета.