Номер 17.12, страница 96 - гдз по алгебре 10 класс сборник задач Арефьева, Пирютко

Алгебра, 10 класс Сборник задач, авторы: Арефьева Ирина Глебовна, Пирютко Ольга Николаевна, издательство Народная асвета, Минск, 2020, белого цвета

Авторы: Арефьева И. Г., Пирютко О. Н.

Тип: Сборник задач

Издательство: Народная асвета

Год издания: 2020 - 2025

Уровень обучения: базовый и повышенный

Цвет обложки: белый, голубой с графиком

Допущено Министерством образования Республики Беларусь

Популярные ГДЗ в 10 классе

Глава 3. Тригонометрия. Параграф 17. Формулы преобразования суммы и разности синусов (косинусов) в произведение - номер 17.12, страница 96.

№17.12 (с. 96)
Условие. №17.12 (с. 96)
скриншот условия
Алгебра, 10 класс Сборник задач, авторы: Арефьева Ирина Глебовна, Пирютко Ольга Николаевна, издательство Народная асвета, Минск, 2020, белого цвета, страница 96, номер 17.12, Условие

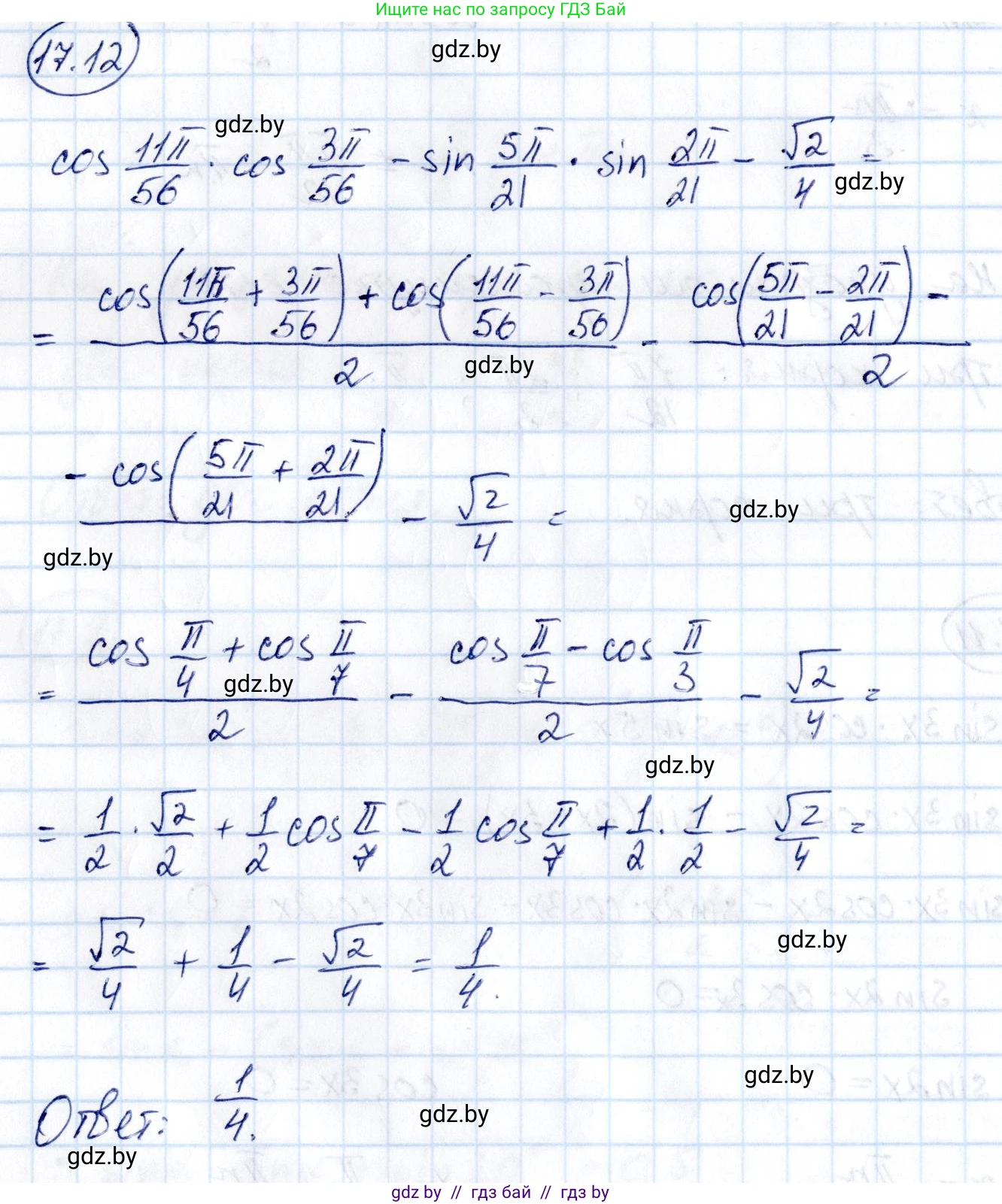
17.12. Найдите значение выражения $ \cos \frac{11\pi}{56}\cos \frac{3\pi}{56} - \sin \frac{5\pi}{21}\sin \frac{2\pi}{21} - \frac{\sqrt{2}}{4} $.

Решение. №17.12 (с. 96)
Алгебра, 10 класс Сборник задач, авторы: Арефьева Ирина Глебовна, Пирютко Ольга Николаевна, издательство Народная асвета, Минск, 2020, белого цвета, страница 96, номер 17.12, Решение
Решение 2. №17.12 (с. 96)

17.12. Для того чтобы найти значение выражения, мы преобразуем его части, используя тригонометрические формулы преобразования произведения в сумму. Исходное выражение:
$cos\frac{11\pi}{56}cos\frac{3\pi}{56} - sin\frac{5\pi}{21}sin\frac{2\pi}{21} - \frac{\sqrt{2}}{4}$

1. Сначала преобразуем произведение косинусов $cos\frac{11\pi}{56}cos\frac{3\pi}{56}$, используя формулу $cos\alpha \cdot cos\beta = \frac{1}{2}(cos(\alpha - \beta) + cos(\alpha + \beta))$.
Пусть $\alpha = \frac{11\pi}{56}$ и $\beta = \frac{3\pi}{56}$. Найдем сумму и разность углов:
$\alpha + \beta = \frac{11\pi}{56} + \frac{3\pi}{56} = \frac{14\pi}{56} = \frac{\pi}{4}$
$\alpha - \beta = \frac{11\pi}{56} - \frac{3\pi}{56} = \frac{8\pi}{56} = \frac{\pi}{7}$
Подставляем найденные значения в формулу:
$cos\frac{11\pi}{56}cos\frac{3\pi}{56} = \frac{1}{2}(cos\frac{\pi}{7} + cos\frac{\pi}{4}) = \frac{1}{2}(cos\frac{\pi}{7} + \frac{\sqrt{2}}{2}) = \frac{1}{2}cos\frac{\pi}{7} + \frac{\sqrt{2}}{4}$.

2. Теперь преобразуем произведение синусов $sin\frac{5\pi}{21}sin\frac{2\pi}{21}$, используя формулу $sin\alpha \cdot sin\beta = \frac{1}{2}(cos(\alpha - \beta) - cos(\alpha + \beta))$.
Пусть $\alpha = \frac{5\pi}{21}$ и $\beta = \frac{2\pi}{21}$. Найдем сумму и разность углов:
$\alpha - \beta = \frac{5\pi}{21} - \frac{2\pi}{21} = \frac{3\pi}{21} = \frac{\pi}{7}$
$\alpha + \beta = \frac{5\pi}{21} + \frac{2\pi}{21} = \frac{7\pi}{21} = \frac{\pi}{3}$
Подставляем найденные значения в формулу:
$sin\frac{5\pi}{21}sin\frac{2\pi}{21} = \frac{1}{2}(cos\frac{\pi}{7} - cos\frac{\pi}{3}) = \frac{1}{2}(cos\frac{\pi}{7} - \frac{1}{2}) = \frac{1}{2}cos\frac{\pi}{7} - \frac{1}{4}$.

3. Подставим полученные выражения обратно в исходное:
$(\frac{1}{2}cos\frac{\pi}{7} + \frac{\sqrt{2}}{4}) - (\frac{1}{2}cos\frac{\pi}{7} - \frac{1}{4}) - \frac{\sqrt{2}}{4}$
Раскроем скобки и упростим выражение:
$\frac{1}{2}cos\frac{\pi}{7} + \frac{\sqrt{2}}{4} - \frac{1}{2}cos\frac{\pi}{7} + \frac{1}{4} - \frac{\sqrt{2}}{4}$
Сгруппируем и сократим подобные слагаемые:
$(\frac{1}{2}cos\frac{\pi}{7} - \frac{1}{2}cos\frac{\pi}{7}) + (\frac{\sqrt{2}}{4} - \frac{\sqrt{2}}{4}) + \frac{1}{4} = 0 + 0 + \frac{1}{4} = \frac{1}{4}$.

Ответ: $\frac{1}{4}$.

Помогло решение? Оставьте отзыв в комментариях ниже.

Присоединяйтесь к Телеграм-группе @gdz_by_belarus

Присоединиться

Мы подготовили для вас ответ c подробным объяснением домашего задания по алгебре за 10 класс, для упражнения номер 17.12 расположенного на странице 96 к сборнику задач 2020 года издания для учащихся школ и гимназий.

Теперь на нашем сайте ГДЗ.ТОП вы всегда легко и бесплатно найдёте условие с правильным ответом на вопрос «Как решить ДЗ» и «Как сделать» задание по алгебре к упражнению №17.12 (с. 96), авторов: Арефьева (Ирина Глебовна), Пирютко (Ольга Николаевна), базовый и повышенный уровень обучения учебного пособия издательства Народная асвета.