Номер 17.15, страница 96 - гдз по алгебре 10 класс сборник задач Арефьева, Пирютко

Алгебра, 10 класс Сборник задач, авторы: Арефьева Ирина Глебовна, Пирютко Ольга Николаевна, издательство Народная асвета, Минск, 2020, белого цвета

Авторы: Арефьева И. Г., Пирютко О. Н.

Тип: Сборник задач

Издательство: Народная асвета

Год издания: 2020 - 2025

Уровень обучения: базовый и повышенный

Цвет обложки: белый, голубой с графиком

Допущено Министерством образования Республики Беларусь

Популярные ГДЗ в 10 классе

Глава 3. Тригонометрия. Параграф 17. Формулы преобразования суммы и разности синусов (косинусов) в произведение - номер 17.15, страница 96.

№17.15 (с. 96)
Условие. №17.15 (с. 96)
скриншот условия
Алгебра, 10 класс Сборник задач, авторы: Арефьева Ирина Глебовна, Пирютко Ольга Николаевна, издательство Народная асвета, Минск, 2020, белого цвета, страница 96, номер 17.15, Условие

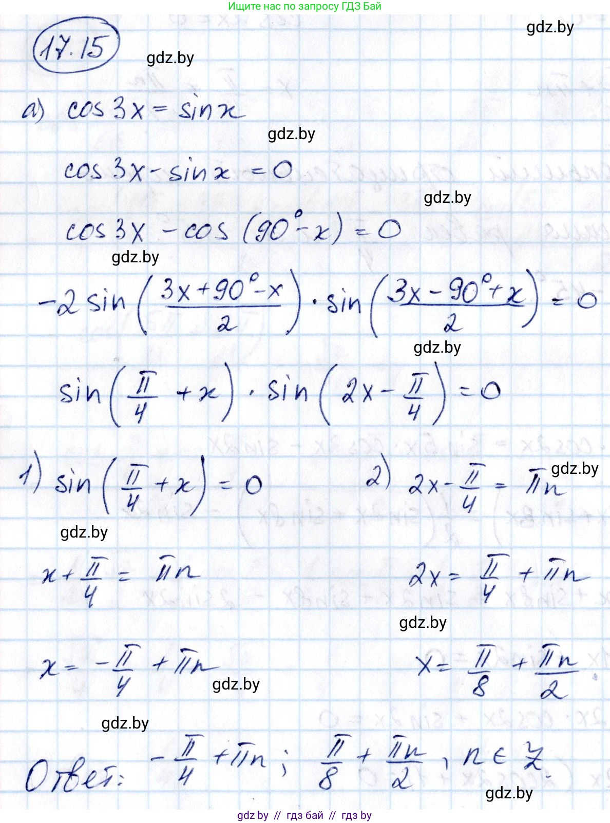
17.15. Решите уравнение:

a) $ \cos 3x = \sin x $;

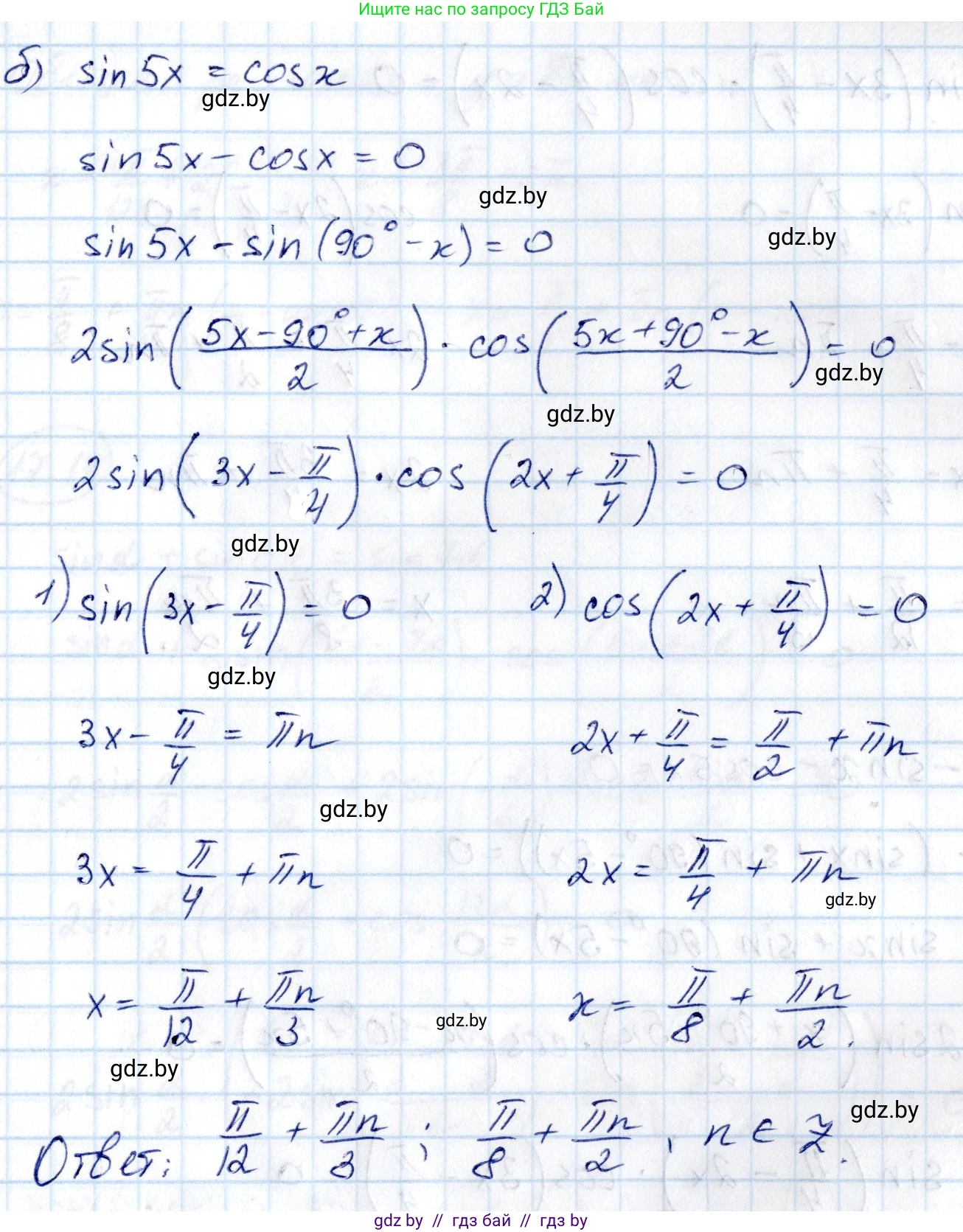
б) $ \sin 5x = \cos x $.

Решение. №17.15 (с. 96)
Алгебра, 10 класс Сборник задач, авторы: Арефьева Ирина Глебовна, Пирютко Ольга Николаевна, издательство Народная асвета, Минск, 2020, белого цвета, страница 96, номер 17.15, Решение Алгебра, 10 класс Сборник задач, авторы: Арефьева Ирина Глебовна, Пирютко Ольга Николаевна, издательство Народная асвета, Минск, 2020, белого цвета, страница 96, номер 17.15, Решение (продолжение 2)
Решение 2. №17.15 (с. 96)

а) $cos(3x) = sin(x)$

Для решения данного уравнения воспользуемся формулой приведения, чтобы привести обе части уравнения к одной тригонометрической функции. Используем тождество $sin(x) = cos(\frac{\pi}{2} - x)$.

Подставив это выражение в исходное уравнение, получаем:

$cos(3x) = cos(\frac{\pi}{2} - x)$

Это уравнение вида $cos(a) = cos(b)$, общее решение которого записывается в виде $a = \pm b + 2\pi k$, где $k \in \mathbb{Z}$ (k — любое целое число).

Рассмотрим два возможных случая:

1. Когда аргументы равны:

$3x = \frac{\pi}{2} - x + 2\pi k$

$3x + x = \frac{\pi}{2} + 2\pi k$

$4x = \frac{\pi}{2} + 2\pi k$

Разделив обе части на 4, находим первую серию корней:

$x = \frac{\pi}{8} + \frac{2\pi k}{4}$

$x = \frac{\pi}{8} + \frac{\pi k}{2}, k \in \mathbb{Z}$

2. Когда аргументы противоположны:

$3x = -(\frac{\pi}{2} - x) + 2\pi n$ (используем другую букву n для целого числа, чтобы не путать серии решений)

$3x = -\frac{\pi}{2} + x + 2\pi n$

$3x - x = -\frac{\pi}{2} + 2\pi n$

$2x = -\frac{\pi}{2} + 2\pi n$

Разделив обе части на 2, находим вторую серию корней:

$x = -\frac{\pi}{4} + \pi n, n \in \mathbb{Z}$

Ответ: $x = \frac{\pi}{8} + \frac{\pi k}{2}, x = -\frac{\pi}{4} + \pi n$, где $k, n \in \mathbb{Z}$.

б) $sin(5x) = cos(x)$

Аналогично предыдущему пункту, приведем уравнение к одной тригонометрической функции. Воспользуемся формулой приведения $cos(x) = sin(\frac{\pi}{2} - x)$.

Подставляем это выражение в уравнение:

$sin(5x) = sin(\frac{\pi}{2} - x)$

Это уравнение вида $sin(a) = sin(b)$. Его общее решение распадается на две серии: $a = b + 2\pi k$ и $a = \pi - b + 2\pi k$, где $k \in \mathbb{Z}$.

Рассмотрим каждый случай:

1. Первая серия решений:

$5x = \frac{\pi}{2} - x + 2\pi k$

$5x + x = \frac{\pi}{2} + 2\pi k$

$6x = \frac{\pi}{2} + 2\pi k$

Делим на 6:

$x = \frac{\pi}{12} + \frac{2\pi k}{6}$

$x = \frac{\pi}{12} + \frac{\pi k}{3}, k \in \mathbb{Z}$

2. Вторая серия решений:

$5x = \pi - (\frac{\pi}{2} - x) + 2\pi n$

$5x = \pi - \frac{\pi}{2} + x + 2\pi n$

$5x = \frac{\pi}{2} + x + 2\pi n$

$5x - x = \frac{\pi}{2} + 2\pi n$

$4x = \frac{\pi}{2} + 2\pi n$

Делим на 4:

$x = \frac{\pi}{8} + \frac{2\pi n}{4}$

$x = \frac{\pi}{8} + \frac{\pi n}{2}, n \in \mathbb{Z}$

Ответ: $x = \frac{\pi}{12} + \frac{\pi k}{3}, x = \frac{\pi}{8} + \frac{\pi n}{2}$, где $k, n \in \mathbb{Z}$.

Помогло решение? Оставьте отзыв в комментариях ниже.

Присоединяйтесь к Телеграм-группе @gdz_by_belarus

Присоединиться

Мы подготовили для вас ответ c подробным объяснением домашего задания по алгебре за 10 класс, для упражнения номер 17.15 расположенного на странице 96 к сборнику задач 2020 года издания для учащихся школ и гимназий.

Теперь на нашем сайте ГДЗ.ТОП вы всегда легко и бесплатно найдёте условие с правильным ответом на вопрос «Как решить ДЗ» и «Как сделать» задание по алгебре к упражнению №17.15 (с. 96), авторов: Арефьева (Ирина Глебовна), Пирютко (Ольга Николаевна), базовый и повышенный уровень обучения учебного пособия издательства Народная асвета.