Номер 23.1, страница 116 - гдз по алгебре 10 класс сборник задач Арефьева, Пирютко

Алгебра, 10 класс Сборник задач, авторы: Арефьева Ирина Глебовна, Пирютко Ольга Николаевна, издательство Народная асвета, Минск, 2020, белого цвета

Авторы: Арефьева И. Г., Пирютко О. Н.

Тип: Сборник задач

Издательство: Народная асвета

Год издания: 2020 - 2025

Уровень обучения: базовый и повышенный

Цвет обложки: белый, голубой с графиком

Допущено Министерством образования Республики Беларусь

Популярные ГДЗ в 10 классе

Глава 4. Корень n-й степени из числа. Параграф 23. Иррациональные неравенства - номер 23.1, страница 116.

№23.1 (с. 116)
Условие. №23.1 (с. 116)
скриншот условия
Алгебра, 10 класс Сборник задач, авторы: Арефьева Ирина Глебовна, Пирютко Ольга Николаевна, издательство Народная асвета, Минск, 2020, белого цвета, страница 116, номер 23.1, Условие

23.1. Решите неравенство:

а) $\sqrt{x + 3} > 4;$

б) $\sqrt[4]{x - 1} \ge 2;$

В) $\sqrt{x^2 - 6x + 4} > 4;$

Г) $\sqrt[6]{x - x^2 + 1} \ge 1.$

Решение. №23.1 (с. 116)
Алгебра, 10 класс Сборник задач, авторы: Арефьева Ирина Глебовна, Пирютко Ольга Николаевна, издательство Народная асвета, Минск, 2020, белого цвета, страница 116, номер 23.1, Решение Алгебра, 10 класс Сборник задач, авторы: Арефьева Ирина Глебовна, Пирютко Ольга Николаевна, издательство Народная асвета, Минск, 2020, белого цвета, страница 116, номер 23.1, Решение (продолжение 2)
Решение 2. №23.1 (с. 116)

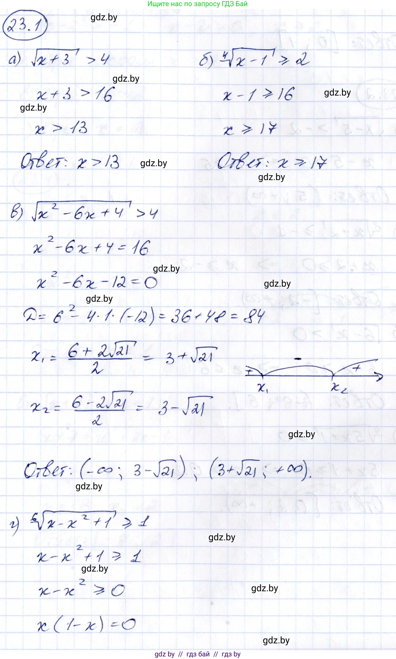
а) Исходное неравенство: $\sqrt{x+3} > 4$.
Так как обе части неравенства неотрицательны, мы можем возвести их в квадрат. При этом необходимо учесть область допустимых значений (ОДЗ) для квадратного корня, то есть подкоренное выражение должно быть неотрицательным. Таким образом, неравенство равносильно системе:

$\begin{cases} x+3 > 4^2 \\ x+3 \ge 0 \end{cases}$

Решим эту систему:

$\begin{cases} x+3 > 16 \\ x \ge -3 \end{cases} \implies \begin{cases} x > 13 \\ x \ge -3 \end{cases}$

Общим решением системы является $x > 13$.

Ответ: $x \in (13; +\infty)$.

б) Исходное неравенство: $\sqrt[4]{x-1} \ge 2$.
Корень четной степени, поэтому, как и в предыдущем случае, обе части неравенства неотрицательны, и мы можем возвести их в степень корня (в четвертую степень). ОДЗ: подкоренное выражение должно быть неотрицательным.

Неравенство равносильно системе:

$\begin{cases} x-1 \ge 2^4 \\ x-1 \ge 0 \end{cases}$

Решим систему:

$\begin{cases} x-1 \ge 16 \\ x \ge 1 \end{cases} \implies \begin{cases} x \ge 17 \\ x \ge 1 \end{cases}$

Общим решением системы является $x \ge 17$.

Ответ: $x \in [17; +\infty)$.

в) Исходное неравенство: $\sqrt{x^2 - 6x + 4} > 4$.
Обе части неравенства неотрицательны, поэтому мы можем возвести их в квадрат.

$x^2 - 6x + 4 > 4^2$

$x^2 - 6x + 4 > 16$

$x^2 - 6x - 12 > 0$

Заметим, что условие ОДЗ ($x^2 - 6x + 4 \ge 0$) выполняется автоматически, так как из полученного неравенства следует, что $x^2 - 6x + 4 > 16$, а $16 > 0$.
Для решения квадратного неравенства найдем корни уравнения $x^2 - 6x - 12 = 0$.

Вычислим дискриминант: $D = (-6)^2 - 4 \cdot 1 \cdot (-12) = 36 + 48 = 84$.

Найдем корни: $x_{1,2} = \frac{6 \pm \sqrt{84}}{2} = \frac{6 \pm 2\sqrt{21}}{2} = 3 \pm \sqrt{21}$.

Так как ветви параболы $y = x^2 - 6x - 12$ направлены вверх, неравенство $x^2 - 6x - 12 > 0$ выполняется вне интервала между корнями.

Ответ: $x \in (-\infty; 3 - \sqrt{21}) \cup (3 + \sqrt{21}; +\infty)$.

г) Исходное неравенство: $\sqrt[6]{x - x^2 + 1} \ge 1$.
Так как корень четной степени, обе части неравенства неотрицательны. Возведем обе части в шестую степень.

$x - x^2 + 1 \ge 1^6$

$x - x^2 + 1 \ge 1$

$-x^2 + x \ge 0$

Умножим обе части на $-1$, изменив знак неравенства:

$x^2 - x \le 0$

Условие ОДЗ ($x - x^2 + 1 \ge 0$) выполняется автоматически, так как из решенного неравенства следует, что $x - x^2 + 1 \ge 1$, а $1 \ge 0$.
Разложим левую часть на множители:

$x(x-1) \le 0$

Решим это неравенство методом интервалов. Корни левой части: $x=0$ и $x=1$. Ветви параболы $y=x^2-x$ направлены вверх, значит, неположительные значения функция принимает между корнями (включая сами корни).

Ответ: $x \in [0; 1]$.

Помогло решение? Оставьте отзыв в комментариях ниже.

Присоединяйтесь к Телеграм-группе @gdz_by_belarus

Присоединиться

Мы подготовили для вас ответ c подробным объяснением домашего задания по алгебре за 10 класс, для упражнения номер 23.1 расположенного на странице 116 к сборнику задач 2020 года издания для учащихся школ и гимназий.

Теперь на нашем сайте ГДЗ.ТОП вы всегда легко и бесплатно найдёте условие с правильным ответом на вопрос «Как решить ДЗ» и «Как сделать» задание по алгебре к упражнению №23.1 (с. 116), авторов: Арефьева (Ирина Глебовна), Пирютко (Ольга Николаевна), базовый и повышенный уровень обучения учебного пособия издательства Народная асвета.