Номер 22.15, страница 110 - гдз по алгебре 10 класс сборник задач Арефьева, Пирютко

Алгебра, 10 класс Сборник задач, авторы: Арефьева Ирина Глебовна, Пирютко Ольга Николаевна, издательство Народная асвета, Минск, 2020, белого цвета

Авторы: Арефьева И. Г., Пирютко О. Н.

Тип: Сборник задач

Издательство: Народная асвета

Год издания: 2020 - 2025

Уровень обучения: базовый и повышенный

Цвет обложки: белый, голубой с графиком

Допущено Министерством образования Республики Беларусь

Популярные ГДЗ в 10 классе

Глава 4. Корень n-й степени из числа. Параграф 22. Иррациональные уравнения - номер 22.15, страница 110.

№22.15 (с. 110)
Условие. №22.15 (с. 110)
скриншот условия
Алгебра, 10 класс Сборник задач, авторы: Арефьева Ирина Глебовна, Пирютко Ольга Николаевна, издательство Народная асвета, Минск, 2020, белого цвета, страница 110, номер 22.15, Условие

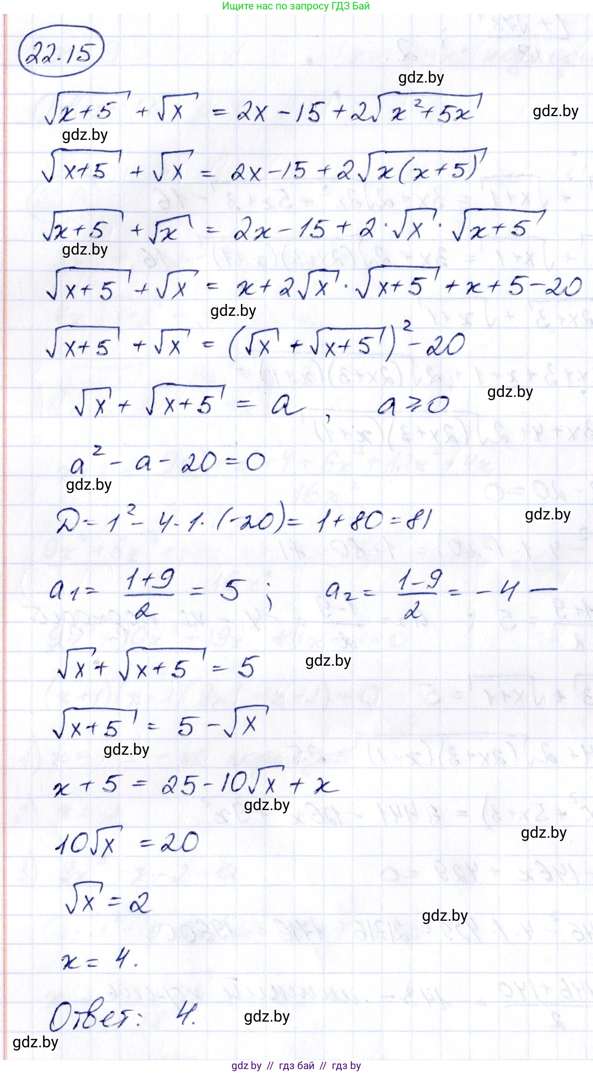
22.15. Найдите произведение корней (корень, если он единственный) уравнения $\sqrt{x+5}+\sqrt{x}=2x-15+2\sqrt{x^2+5x}$.

Решение. №22.15 (с. 110)
Алгебра, 10 класс Сборник задач, авторы: Арефьева Ирина Глебовна, Пирютко Ольга Николаевна, издательство Народная асвета, Минск, 2020, белого цвета, страница 110, номер 22.15, Решение
Решение 2. №22.15 (с. 110)

Исходное уравнение: $ \sqrt{x+5} + \sqrt{x} = 2x - 15 + 2\sqrt{x^2+5x} $.

Сначала определим область допустимых значений (ОДЗ). Подкоренные выражения должны быть неотрицательными:
$x+5 \ge 0 \implies x \ge -5$
$x \ge 0$
Объединяя эти условия, получаем ОДЗ: $x \ge 0$.

Заметим, что выражение под корнем в правой части можно представить в виде произведения: $x^2+5x = x(x+5)$. Так как в ОДЗ оба множителя неотрицательны, справедливо равенство $\sqrt{x^2+5x} = \sqrt{x}\sqrt{x+5}$.
Уравнение можно переписать так:
$ \sqrt{x+5} + \sqrt{x} = 2x - 15 + 2\sqrt{x}\sqrt{x+5} $.

Это наводит на мысль о замене переменной. Пусть $ t = \sqrt{x+5} + \sqrt{x} $.
Возведем это выражение в квадрат:
$ t^2 = (\sqrt{x+5} + \sqrt{x})^2 = (x+5) + 2\sqrt{x(x+5)} + x = 2x + 5 + 2\sqrt{x^2+5x} $.

Теперь посмотрим на правую часть исходного уравнения и выразим ее через $t^2$:
$ 2x - 15 + 2\sqrt{x^2+5x} = (2x + 5 + 2\sqrt{x^2+5x}) - 5 - 15 = t^2 - 20 $.

Подставив все в исходное уравнение, получаем простое квадратное уравнение относительно $t$:
$ t = t^2 - 20 $
$ t^2 - t - 20 = 0 $.

Решим это уравнение. По теореме Виета или через дискриминант находим корни:
$ D = (-1)^2 - 4 \cdot 1 \cdot (-20) = 1 + 80 = 81 $
$ t_1 = \frac{1 - \sqrt{81}}{2} = \frac{1 - 9}{2} = -4 $
$ t_2 = \frac{1 + \sqrt{81}}{2} = \frac{1 + 9}{2} = 5 $

Теперь необходимо выполнить обратную замену. Вспомним, что $ t = \sqrt{x+5} + \sqrt{x} $. Поскольку по ОДЗ $x \ge 0$, то $t$ как сумма двух арифметических корней не может быть отрицательной. Значит, корень $t_1 = -4$ является посторонним.
Остается единственное возможное значение $t=5$.
$ \sqrt{x+5} + \sqrt{x} = 5 $.

Решим полученное иррациональное уравнение:
$ \sqrt{x+5} = 5 - \sqrt{x} $.
Прежде чем возводить в квадрат, убедимся, что правая часть неотрицательна: $5 - \sqrt{x} \ge 0$, что означает $\sqrt{x} \le 5$, или $x \le 25$. Совместно с ОДЗ получаем, что корень должен лежать в промежутке $[0, 25]$.
Возводим в квадрат:
$ x+5 = (5 - \sqrt{x})^2 $
$ x+5 = 25 - 10\sqrt{x} + x $
$ 5 = 25 - 10\sqrt{x} $
$ 10\sqrt{x} = 20 $
$ \sqrt{x} = 2 $
$ x = 4 $.

Найденный корень $x=4$ удовлетворяет условию $0 \le x \le 25$. Проведем проверку, подставив $x=4$ в исходное уравнение:
Левая часть: $ \sqrt{4+5} + \sqrt{4} = \sqrt{9} + 2 = 3+2=5 $.
Правая часть: $ 2(4) - 15 + 2\sqrt{4^2+5 \cdot 4} = 8 - 15 + 2\sqrt{16+20} = -7 + 2\sqrt{36} = -7+12=5 $.
Поскольку $5=5$, корень $x=4$ найден верно.

Найдите произведение корней (корень, если он единственный): Ответ: 4.

Помогло решение? Оставьте отзыв в комментариях ниже.

Присоединяйтесь к Телеграм-группе @gdz_by_belarus

Присоединиться

Мы подготовили для вас ответ c подробным объяснением домашего задания по алгебре за 10 класс, для упражнения номер 22.15 расположенного на странице 110 к сборнику задач 2020 года издания для учащихся школ и гимназий.

Теперь на нашем сайте ГДЗ.ТОП вы всегда легко и бесплатно найдёте условие с правильным ответом на вопрос «Как решить ДЗ» и «Как сделать» задание по алгебре к упражнению №22.15 (с. 110), авторов: Арефьева (Ирина Глебовна), Пирютко (Ольга Николаевна), базовый и повышенный уровень обучения учебного пособия издательства Народная асвета.