Номер 22.11, страница 110 - гдз по алгебре 10 класс сборник задач Арефьева, Пирютко

Алгебра, 10 класс Сборник задач, авторы: Арефьева Ирина Глебовна, Пирютко Ольга Николаевна, издательство Народная асвета, Минск, 2020, белого цвета

Авторы: Арефьева И. Г., Пирютко О. Н.

Тип: Сборник задач

Издательство: Народная асвета

Год издания: 2020 - 2025

Уровень обучения: базовый и повышенный

Цвет обложки: белый, голубой с графиком

Допущено Министерством образования Республики Беларусь

Популярные ГДЗ в 10 классе

Глава 4. Корень n-й степени из числа. Параграф 22. Иррациональные уравнения - номер 22.11, страница 110.

№22.11 (с. 110)
Условие. №22.11 (с. 110)
скриншот условия
Алгебра, 10 класс Сборник задач, авторы: Арефьева Ирина Глебовна, Пирютко Ольга Николаевна, издательство Народная асвета, Минск, 2020, белого цвета, страница 110, номер 22.11, Условие

22.11. Решите уравнение:

а) $\sqrt{3\sin x + 1.5} = 2\sin x;$

б) $\sqrt{1 + 4\cos x} = 1 - 3\cos x;$

в) $\sqrt{1 - 4\sin x} = \sqrt{1 - 4\cos 2x}.$

Решение. №22.11 (с. 110)
Алгебра, 10 класс Сборник задач, авторы: Арефьева Ирина Глебовна, Пирютко Ольга Николаевна, издательство Народная асвета, Минск, 2020, белого цвета, страница 110, номер 22.11, Решение Алгебра, 10 класс Сборник задач, авторы: Арефьева Ирина Глебовна, Пирютко Ольга Николаевна, издательство Народная асвета, Минск, 2020, белого цвета, страница 110, номер 22.11, Решение (продолжение 2)
Решение 2. №22.11 (с. 110)

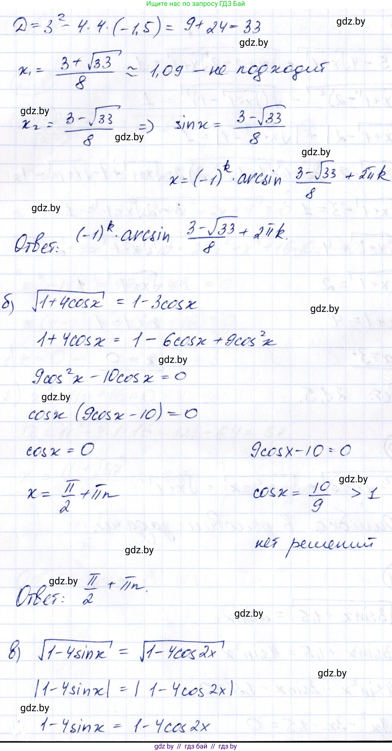
а)Решим уравнение $\sqrt{3\sin x + 1,5} = 2\sin x$.
Поскольку корень арифметический, правая часть уравнения должна быть неотрицательной, а подкоренное выражение — неотрицательным. Получаем систему ограничений:
$\begin{cases} 3\sin x + 1,5 \ge 0 \\ 2\sin x \ge 0 \end{cases}$
Из второго неравенства следует $\sin x \ge 0$. Если это условие выполнено, то первое неравенство ($3\sin x \ge -1,5$) также очевидно выполняется. Таким образом, область допустимых значений (ОДЗ) определяется условием $\sin x \ge 0$.
Возведем обе части уравнения в квадрат:
$3\sin x + 1,5 = (2\sin x)^2$
$3\sin x + 1,5 = 4\sin^2 x$
Сделаем замену $t = \sin x$, где $t \ge 0$ согласно ОДЗ.
$4t^2 - 3t - 1,5 = 0$
Умножим на 2, чтобы избавиться от дроби:
$8t^2 - 6t - 3 = 0$
Найдем корни квадратного уравнения с помощью дискриминанта:
$D = (-6)^2 - 4 \cdot 8 \cdot (-3) = 36 + 96 = 132$
$t = \frac{6 \pm \sqrt{132}}{2 \cdot 8} = \frac{6 \pm 2\sqrt{33}}{16} = \frac{3 \pm \sqrt{33}}{8}$
Получаем два возможных значения для $t$:
$t_1 = \frac{3 + \sqrt{33}}{8}$ и $t_2 = \frac{3 - \sqrt{33}}{8}$.
Проверим эти корни с учетом ограничений.
1. $t_1 = \frac{3 + \sqrt{33}}{8}$. Так как $\sqrt{33} > \sqrt{25} = 5$, то $3 + \sqrt{33} > 3+5=8$, следовательно, $t_1 > \frac{8}{8} = 1$. Поскольку $\sin x$ не может быть больше 1, этот корень является посторонним.
2. $t_2 = \frac{3 - \sqrt{33}}{8}$. Так как $\sqrt{33} > \sqrt{9} = 3$, то $3 - \sqrt{33} < 0$, следовательно, $t_2 < 0$. Это противоречит нашему условию $t = \sin x \ge 0$. Этот корень также является посторонним.
Таким образом, уравнение не имеет решений.
Ответ: корней нет.

б)Решим уравнение $\sqrt{1 + 4\cos x} = 1 - 3\cos x$.
Определим область допустимых значений. Правая часть и подкоренное выражение должны быть неотрицательны:
$\begin{cases} 1 + 4\cos x \ge 0 \\ 1 - 3\cos x \ge 0 \end{cases} \implies \begin{cases} \cos x \ge -\frac{1}{4} \\ \cos x \le \frac{1}{3} \end{cases}$
Итак, ОДЗ: $-\frac{1}{4} \le \cos x \le \frac{1}{3}$.
Возведем обе части уравнения в квадрат:
$1 + 4\cos x = (1 - 3\cos x)^2$
$1 + 4\cos x = 1 - 6\cos x + 9\cos^2 x$
Сделаем замену $t = \cos x$, где $-\frac{1}{4} \le t \le \frac{1}{3}$.
$1 + 4t = 1 - 6t + 9t^2$
$9t^2 - 10t = 0$
$t(9t - 10) = 0$
Отсюда получаем два возможных значения для $t$:
$t_1 = 0$ или $t_2 = \frac{10}{9}$.
Проверим корни с учетом ОДЗ:
1. $t_1 = 0$. Это значение удовлетворяет условию $-\frac{1}{4} \le 0 \le \frac{1}{3}$. Следовательно, $\cos x = 0$ является решением.
$x = \frac{\pi}{2} + \pi k, k \in \mathbb{Z}$.
2. $t_2 = \frac{10}{9}$. Это значение больше 1, а также не удовлетворяет условию $t \le \frac{1}{3}$. Следовательно, это посторонний корень.
Решением уравнения является серия корней $x = \frac{\pi}{2} + \pi k, k \in \mathbb{Z}$.
Ответ: $x = \frac{\pi}{2} + \pi k, k \in \mathbb{Z}$.

в)Решим уравнение $\sqrt{1 - 4\sin x} = \sqrt{1 - 4\cos 2x}$.
Область допустимых значений определяется системой неравенств:
$\begin{cases} 1 - 4\sin x \ge 0 \\ 1 - 4\cos 2x \ge 0 \end{cases} \implies \begin{cases} \sin x \le \frac{1}{4} \\ \cos 2x \le \frac{1}{4} \end{cases}$
Возведем обе части уравнения в квадрат, так как они обе неотрицательны:
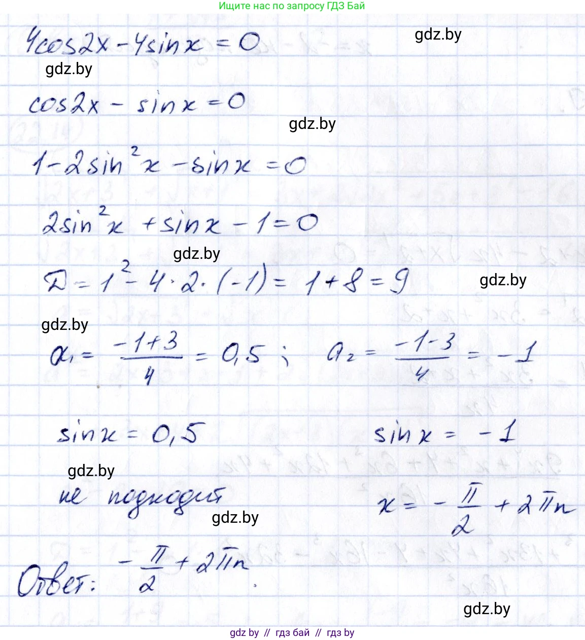
$1 - 4\sin x = 1 - 4\cos 2x$
$-4\sin x = -4\cos 2x$
$\sin x = \cos 2x$
Используем формулу косинуса двойного угла $\cos 2x = 1 - 2\sin^2 x$:
$\sin x = 1 - 2\sin^2 x$
Сделаем замену $t = \sin x$:
$t = 1 - 2t^2$
$2t^2 + t - 1 = 0$
Решим квадратное уравнение. Дискриминант $D = 1^2 - 4 \cdot 2 \cdot (-1) = 9$.
$t = \frac{-1 \pm \sqrt{9}}{2 \cdot 2} = \frac{-1 \pm 3}{4}$
Получаем два возможных значения для $t$:
$t_1 = \frac{-1 + 3}{4} = \frac{2}{4} = \frac{1}{2}$
$t_2 = \frac{-1 - 3}{4} = -1$
Проверим найденные значения с учетом ОДЗ $\sin x \le \frac{1}{4}$.
1. $t_1 = \sin x = \frac{1}{2}$. Это значение не удовлетворяет условию $\frac{1}{2} \le \frac{1}{4}$, так как $0,5 > 0,25$. Следовательно, это посторонний корень.
2. $t_2 = \sin x = -1$. Это значение удовлетворяет условию $-1 \le \frac{1}{4}$. Также проверим второе условие ОДЗ: $\cos 2x = \sin x = -1$. Значение $\cos 2x = -1$ удовлетворяет условию $-1 \le \frac{1}{4}$. Следовательно, $\sin x = -1$ является решением.
Находим $x$:
$\sin x = -1 \implies x = -\frac{\pi}{2} + 2\pi k, k \in \mathbb{Z}$.
Эту серию корней можно также записать в виде $x = \frac{3\pi}{2} + 2\pi k, k \in \mathbb{Z}$. Выделим целую часть из дроби $\frac{3}{2}$ ($3:2=1$ (ост. 1)), получим $1\frac{1}{2}$.
Ответ: $x = 1\frac{1}{2}\pi + 2\pi k, k \in \mathbb{Z}$.

Помогло решение? Оставьте отзыв в комментариях ниже.

Присоединяйтесь к Телеграм-группе @gdz_by_belarus

Присоединиться

Мы подготовили для вас ответ c подробным объяснением домашего задания по алгебре за 10 класс, для упражнения номер 22.11 расположенного на странице 110 к сборнику задач 2020 года издания для учащихся школ и гимназий.

Теперь на нашем сайте ГДЗ.ТОП вы всегда легко и бесплатно найдёте условие с правильным ответом на вопрос «Как решить ДЗ» и «Как сделать» задание по алгебре к упражнению №22.11 (с. 110), авторов: Арефьева (Ирина Глебовна), Пирютко (Ольга Николаевна), базовый и повышенный уровень обучения учебного пособия издательства Народная асвета.