Номер 22.5, страница 110 - гдз по алгебре 10 класс сборник задач Арефьева, Пирютко

Алгебра, 10 класс Сборник задач, авторы: Арефьева Ирина Глебовна, Пирютко Ольга Николаевна, издательство Народная асвета, Минск, 2020, белого цвета

Авторы: Арефьева И. Г., Пирютко О. Н.

Тип: Сборник задач

Издательство: Народная асвета

Год издания: 2020 - 2025

Уровень обучения: базовый и повышенный

Цвет обложки: белый, голубой с графиком

Допущено Министерством образования Республики Беларусь

Популярные ГДЗ в 10 классе

Глава 4. Корень n-й степени из числа. Параграф 22. Иррациональные уравнения - номер 22.5, страница 110.

№22.5 (с. 110)
Условие. №22.5 (с. 110)
скриншот условия
Алгебра, 10 класс Сборник задач, авторы: Арефьева Ирина Глебовна, Пирютко Ольга Николаевна, издательство Народная асвета, Минск, 2020, белого цвета, страница 110, номер 22.5, Условие

22.5. Найдите сумму корней (корень, если он единственный) уравнения

$x\sqrt{x^2 - 15} + 5\sqrt{x}\cdot\sqrt[4]{x^2 - 15} = 14.$

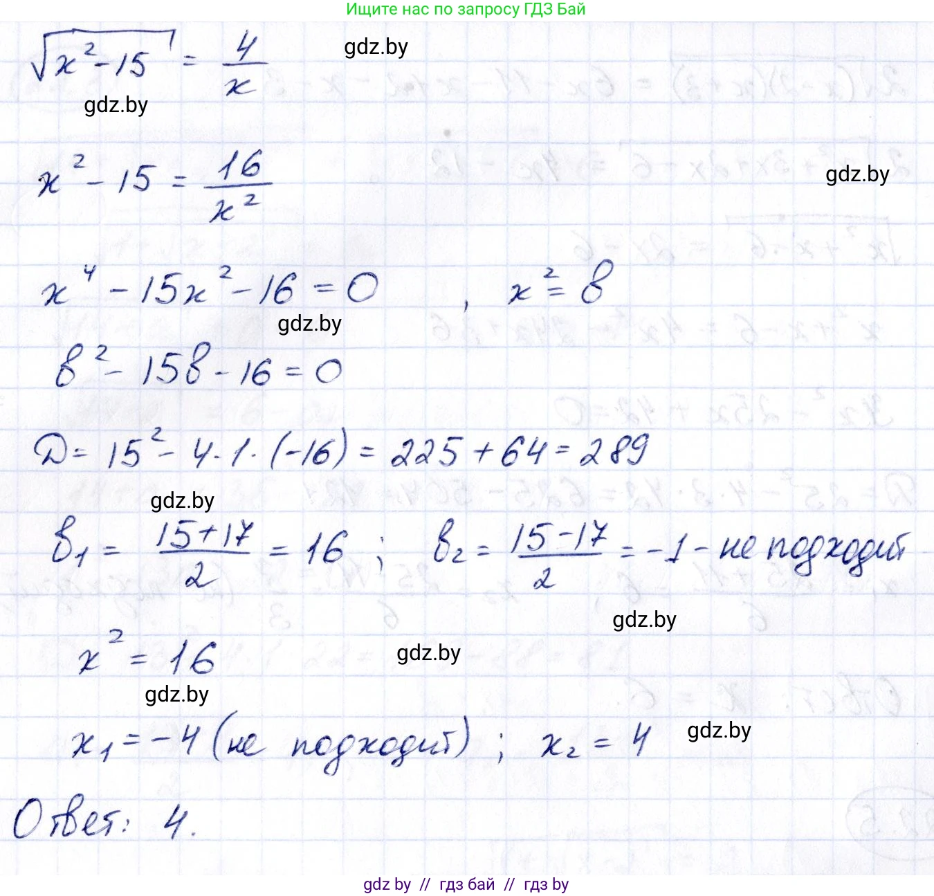
Решение. №22.5 (с. 110)
Алгебра, 10 класс Сборник задач, авторы: Арефьева Ирина Глебовна, Пирютко Ольга Николаевна, издательство Народная асвета, Минск, 2020, белого цвета, страница 110, номер 22.5, Решение Алгебра, 10 класс Сборник задач, авторы: Арефьева Ирина Глебовна, Пирютко Ольга Николаевна, издательство Народная асвета, Минск, 2020, белого цвета, страница 110, номер 22.5, Решение (продолжение 2)
Решение 2. №22.5 (с. 110)

Для решения уравнения $x\sqrt{x^2 - 15} + 5\sqrt{x} \cdot \sqrt[4]{x^2 - 15} = 14$ необходимо выполнить следующие шаги.

Сначала определим область допустимых значений (ОДЗ). Для существования действительных корней необходимо, чтобы все подкоренные выражения были неотрицательными:
1. $x \ge 0$
2. $x^2 - 15 \ge 0 \implies x^2 \ge 15 \implies x \in (-\infty, -\sqrt{15}] \cup [\sqrt{15}, +\infty)$.
Пересекая эти два условия, получаем ОДЗ: $x \ge \sqrt{15}$.

Далее воспользуемся методом замены переменной. Заметим, что первый член уравнения можно представить в виде квадрата:
$x\sqrt{x^2 - 15} = (\sqrt{x})^2 \cdot (\sqrt[4]{x^2 - 15})^2 = (\sqrt{x}\sqrt[4]{x^2 - 15})^2$.
Пусть $y = \sqrt{x}\sqrt[4]{x^2 - 15}$. С учетом ОДЗ ($x \ge \sqrt{15}$), переменная $y$ должна быть неотрицательной, то есть $y \ge 0$.
Подставив $y$ в исходное уравнение, мы получим квадратное уравнение:
$y^2 + 5y - 14 = 0$.

Решим это уравнение с помощью теоремы Виета:
$y_1 + y_2 = -5$
$y_1 \cdot y_2 = -14$
Корни уравнения: $y_1 = 2$ и $y_2 = -7$.
Поскольку мы ранее определили, что $y \ge 0$, корень $y_2 = -7$ является посторонним. Таким образом, у нас остается единственное значение $y=2$.

Теперь выполним обратную замену:
$\sqrt{x}\sqrt[4]{x^2 - 15} = 2$.
Возведем обе части уравнения в квадрат:
$x\sqrt{x^2 - 15} = 4$.
Поскольку в ОДЗ обе части уравнения положительны, мы можем снова возвести их в квадрат, чтобы избавиться от оставшегося корня:
$x^2(x^2 - 15) = 16$.
Это биквадратное уравнение. Сделаем еще одну замену: $z = x^2$. Уравнение примет вид:
$z(z-15) = 16 \implies z^2 - 15z - 16 = 0$.
Корни этого квадратного уравнения: $z_1 = 16$ и $z_2 = -1$.
Корень $z_2 = -1$ является посторонним, так как $z = x^2$ не может быть отрицательным.
Следовательно, $x^2 = 16$, откуда получаем два возможных значения для $x$: $x_1 = 4$ и $x_2 = -4$.

На последнем шаге проверим найденные корни на соответствие ОДЗ ($x \ge \sqrt{15}$):
- $x=4$: Проверяем $4 \ge \sqrt{15}$. Так как $4 = \sqrt{16}$, а $16 > 15$, неравенство $ \sqrt{16} \ge \sqrt{15}$ верно. Этот корень подходит.
- $x=-4$: Этот корень не удовлетворяет ОДЗ, так как $-4 < \sqrt{15}$.
Таким образом, исходное уравнение имеет единственный корень $x=4$.

Сумма корней: Так как уравнение имеет единственный корень, его сумма равна самому этому корню. Ответ: 4

Помогло решение? Оставьте отзыв в комментариях ниже.

Присоединяйтесь к Телеграм-группе @gdz_by_belarus

Присоединиться

Мы подготовили для вас ответ c подробным объяснением домашего задания по алгебре за 10 класс, для упражнения номер 22.5 расположенного на странице 110 к сборнику задач 2020 года издания для учащихся школ и гимназий.

Теперь на нашем сайте ГДЗ.ТОП вы всегда легко и бесплатно найдёте условие с правильным ответом на вопрос «Как решить ДЗ» и «Как сделать» задание по алгебре к упражнению №22.5 (с. 110), авторов: Арефьева (Ирина Глебовна), Пирютко (Ольга Николаевна), базовый и повышенный уровень обучения учебного пособия издательства Народная асвета.