Номер 22.6, страница 110 - гдз по алгебре 10 класс сборник задач Арефьева, Пирютко

Алгебра, 10 класс Сборник задач, авторы: Арефьева Ирина Глебовна, Пирютко Ольга Николаевна, издательство Народная асвета, Минск, 2020, белого цвета

Авторы: Арефьева И. Г., Пирютко О. Н.

Тип: Сборник задач

Издательство: Народная асвета

Год издания: 2020 - 2025

Уровень обучения: базовый и повышенный

Цвет обложки: белый, голубой с графиком

Допущено Министерством образования Республики Беларусь

Популярные ГДЗ в 10 классе

Глава 4. Корень n-й степени из числа. Параграф 22. Иррациональные уравнения - номер 22.6, страница 110.

№22.6 (с. 110)
Условие. №22.6 (с. 110)
скриншот условия
Алгебра, 10 класс Сборник задач, авторы: Арефьева Ирина Глебовна, Пирютко Ольга Николаевна, издательство Народная асвета, Минск, 2020, белого цвета, страница 110, номер 22.6, Условие

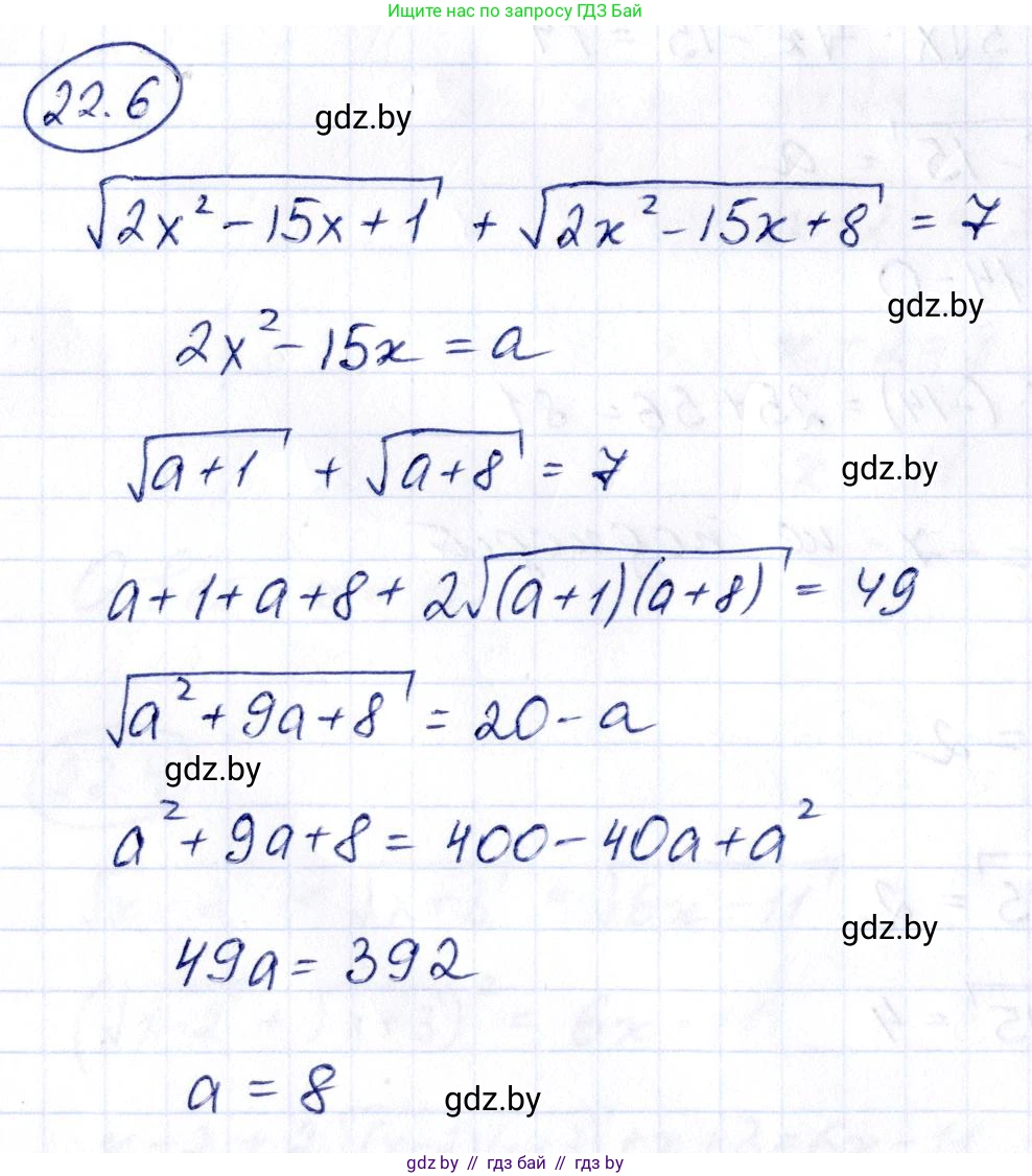
22.6. Решите уравнение $\sqrt{2x^2-15x+1} + \sqrt{2x^2-15x+8} = 7$.

Решение. №22.6 (с. 110)
Алгебра, 10 класс Сборник задач, авторы: Арефьева Ирина Глебовна, Пирютко Ольга Николаевна, издательство Народная асвета, Минск, 2020, белого цвета, страница 110, номер 22.6, Решение Алгебра, 10 класс Сборник задач, авторы: Арефьева Ирина Глебовна, Пирютко Ольга Николаевна, издательство Народная асвета, Минск, 2020, белого цвета, страница 110, номер 22.6, Решение (продолжение 2)
Решение 2. №22.6 (с. 110)

Данное иррациональное уравнение решается методом введения новой переменной. Заметим, что выражение $2x^2 - 15x$ присутствует в обоих подкоренных выражениях.

Пусть $t = 2x^2 - 15x$. Тогда исходное уравнение можно переписать в виде:

$\sqrt{t+1} + \sqrt{t+8} = 7$

Найдем область допустимых значений для переменной $t$. Поскольку подкоренные выражения должны быть неотрицательными, получаем систему неравенств:

$ \begin{cases} t+1 \ge 0 \\ t+8 \ge 0 \end{cases} \implies \begin{cases} t \ge -1 \\ t \ge -8 \end{cases} $

Таким образом, должно выполняться условие $t \ge -1$.

Возведем обе части уравнения с переменной $t$ в квадрат:

$(\sqrt{t+1} + \sqrt{t+8})^2 = 7^2$

$(t+1) + 2\sqrt{(t+1)(t+8)} + (t+8) = 49$

Приведем подобные слагаемые и уединим оставшийся радикал:

$2t + 9 + 2\sqrt{t^2 + 8t + t + 8} = 49$

$2\sqrt{t^2 + 9t + 8} = 49 - 9 - 2t$

$2\sqrt{t^2 + 9t + 8} = 40 - 2t$

Разделим обе части на 2:

$\sqrt{t^2 + 9t + 8} = 20 - t$

Прежде чем снова возводить в квадрат, необходимо потребовать, чтобы правая часть была неотрицательной, так как она равна значению арифметического квадратного корня: $20 - t \ge 0$, откуда $t \le 20$. Объединяя с предыдущим условием, получаем $ -1 \le t \le 20$.

Теперь возведем обе части последнего уравнения в квадрат:

$(\sqrt{t^2 + 9t + 8})^2 = (20 - t)^2$

$t^2 + 9t + 8 = 400 - 40t + t^2$

Сократим $t^2$ в обеих частях и решим полученное линейное уравнение:

$9t + 40t = 400 - 8$

$49t = 392$

$t = \frac{392}{49} = 8$

Полученное значение $t=8$ удовлетворяет условию $-1 \le t \le 20$, значит, это верный корень уравнения для $t$.

Выполним обратную замену, чтобы найти $x$:

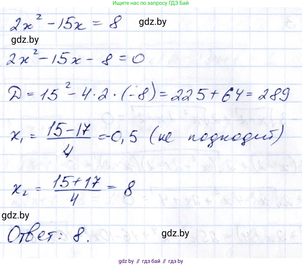
$2x^2 - 15x = 8$

$2x^2 - 15x - 8 = 0$

Решим это квадратное уравнение с помощью дискриминанта:

$D = b^2 - 4ac = (-15)^2 - 4 \cdot 2 \cdot (-8) = 225 + 64 = 289$

Так как $D = 17^2 > 0$, уравнение имеет два различных корня:

$x_1 = \frac{-b + \sqrt{D}}{2a} = \frac{15 + 17}{2 \cdot 2} = \frac{32}{4} = 8$

$x_2 = \frac{-b - \sqrt{D}}{2a} = \frac{15 - 17}{2 \cdot 2} = \frac{-2}{4} = -\frac{1}{2}$

Проверка показала, что при найденных значениях $x$ выражение $2x^2-15x$ равно 8, а значит подкоренные выражения в исходном уравнении равны $8+1=9$ и $8+8=16$. Оба они положительны, следовательно, оба корня являются решениями.

Ответ: $8; -\frac{1}{2}$.

Помогло решение? Оставьте отзыв в комментариях ниже.

Присоединяйтесь к Телеграм-группе @gdz_by_belarus

Присоединиться

Мы подготовили для вас ответ c подробным объяснением домашего задания по алгебре за 10 класс, для упражнения номер 22.6 расположенного на странице 110 к сборнику задач 2020 года издания для учащихся школ и гимназий.

Теперь на нашем сайте ГДЗ.ТОП вы всегда легко и бесплатно найдёте условие с правильным ответом на вопрос «Как решить ДЗ» и «Как сделать» задание по алгебре к упражнению №22.6 (с. 110), авторов: Арефьева (Ирина Глебовна), Пирютко (Ольга Николаевна), базовый и повышенный уровень обучения учебного пособия издательства Народная асвета.