Номер 22.7, страница 110 - гдз по алгебре 10 класс сборник задач Арефьева, Пирютко

Алгебра, 10 класс Сборник задач, авторы: Арефьева Ирина Глебовна, Пирютко Ольга Николаевна, издательство Народная асвета, Минск, 2020, белого цвета

Авторы: Арефьева И. Г., Пирютко О. Н.

Тип: Сборник задач

Издательство: Народная асвета

Год издания: 2020 - 2025

Уровень обучения: базовый и повышенный

Цвет обложки: белый, голубой с графиком

Допущено Министерством образования Республики Беларусь

Популярные ГДЗ в 10 классе

Глава 4. Корень n-й степени из числа. Параграф 22. Иррациональные уравнения - номер 22.7, страница 110.

№22.7 (с. 110)
Условие. №22.7 (с. 110)
скриншот условия
Алгебра, 10 класс Сборник задач, авторы: Арефьева Ирина Глебовна, Пирютко Ольга Николаевна, издательство Народная асвета, Минск, 2020, белого цвета, страница 110, номер 22.7, Условие
22.7. Найдите сумму корней (корень, если он единственный) уравнения

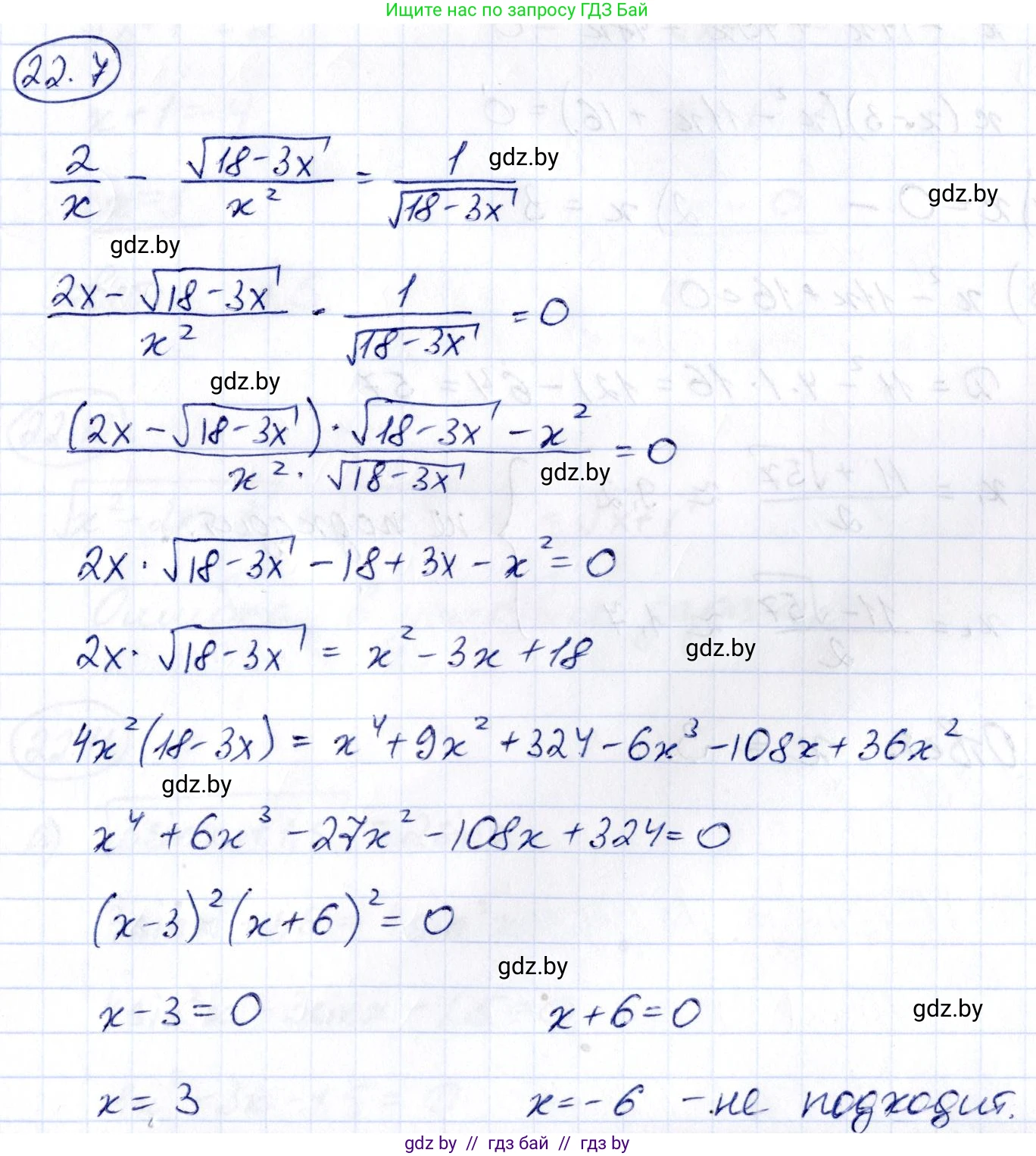
$\frac{2}{x} - \frac{\sqrt{18 - 3x}}{x^2} = \frac{1}{\sqrt{18 - 3x}}$

Решение. №22.7 (с. 110)
Алгебра, 10 класс Сборник задач, авторы: Арефьева Ирина Глебовна, Пирютко Ольга Николаевна, издательство Народная асвета, Минск, 2020, белого цвета, страница 110, номер 22.7, Решение Алгебра, 10 класс Сборник задач, авторы: Арефьева Ирина Глебовна, Пирютко Ольга Николаевна, издательство Народная асвета, Минск, 2020, белого цвета, страница 110, номер 22.7, Решение (продолжение 2)
Решение 2. №22.7 (с. 110)

Исходное уравнение:

$$ \frac{2}{x} - \frac{\sqrt{18 - 3x}}{x^2} = \frac{1}{\sqrt{18 - 3x}} $$

Сначала найдем область допустимых значений (ОДЗ). Знаменатели не могут быть равны нулю, а подкоренное выражение должно быть строго больше нуля (так как корень находится в знаменателе):

$$ \begin{cases} x \neq 0 \\ 18 - 3x > 0 \end{cases} $$

Из второго неравенства получаем $18 > 3x$, или $x < 6$. Таким образом, ОДЗ: $x \in (-\infty, 0) \cup (0, 6)$.

Теперь решим уравнение. Умножим обе части уравнения на общий знаменатель $x^2 \sqrt{18 - 3x}$, который на ОДЗ не равен нулю:

$$ \left(\frac{2}{x} - \frac{\sqrt{18 - 3x}}{x^2}\right) \cdot x^2 \sqrt{18 - 3x} = \frac{1}{\sqrt{18 - 3x}} \cdot x^2 \sqrt{18 - 3x} $$

$$ 2x \sqrt{18 - 3x} - (\sqrt{18 - 3x})^2 = x^2 $$

$$ 2x \sqrt{18 - 3x} - (18 - 3x) = x^2 $$

Изолируем корень:

$$ 2x \sqrt{18 - 3x} = x^2 - 3x + 18 $$

Рассмотрим правую часть $x^2 - 3x + 18$. Дискриминант этого квадратного трехчлена равен $D = (-3)^2 - 4 \cdot 1 \cdot 18 = 9 - 72 = -63$. Так как $D < 0$ и старший коэффициент положителен ($a=1>0$), выражение $x^2 - 3x + 18$ всегда положительно.

Поскольку правая часть уравнения всегда положительна, то и левая часть $2x\sqrt{18 - 3x}$ должна быть положительной. Так как на ОДЗ $\sqrt{18 - 3x} > 0$, это означает, что $x$ также должен быть положительным: $x > 0$. С учетом ОДЗ, получаем, что решения могут находиться только в интервале $(0, 6)$.

Сделаем замену $t = \sqrt{18 - 3x}$, где $t > 0$. Тогда $t^2 = 18 - 3x$. Уравнение $2x\sqrt{18 - 3x} = x^2 - 3x + 18$ можно переписать как:

$$ 2xt = x^2 + t^2 $$

Перенесем все слагаемые в одну сторону:

$$ x^2 - 2xt + t^2 = 0 $$

Это формула квадрата разности:

$$ (x - t)^2 = 0 $$

Отсюда следует, что $x = t$. Выполним обратную замену:

$$ x = \sqrt{18 - 3x} $$

Так как мы уже выяснили, что $x > 0$, можем возвести обе части в квадрат:

$$ x^2 = 18 - 3x $$

$$ x^2 + 3x - 18 = 0 $$

Найдем корни этого квадратного уравнения. По теореме Виета, сумма корней равна $-3$, а их произведение равно $-18$. Корнями являются $x_1 = 3$ и $x_2 = -6$.

Теперь необходимо проверить корни. Мы ищем решения в интервале $(0, 6)$.

Корень $x_1 = 3$ принадлежит этому интервалу, следовательно, является решением исходного уравнения.

Корень $x_2 = -6$ не принадлежит этому интервалу. Он является посторонним корнем. Если подставить его в уравнение $x = \sqrt{18 - 3x}$, получим неверное равенство: $-6 = \sqrt{18 - 3(-6)} \implies -6 = 6$.

Таким образом, уравнение имеет единственный корень $x = 3$.

Сумма корней (в данном случае это сам корень) равна 3.

Сумма корней Ответ: 3

Помогло решение? Оставьте отзыв в комментариях ниже.

Присоединяйтесь к Телеграм-группе @gdz_by_belarus

Присоединиться

Мы подготовили для вас ответ c подробным объяснением домашего задания по алгебре за 10 класс, для упражнения номер 22.7 расположенного на странице 110 к сборнику задач 2020 года издания для учащихся школ и гимназий.

Теперь на нашем сайте ГДЗ.ТОП вы всегда легко и бесплатно найдёте условие с правильным ответом на вопрос «Как решить ДЗ» и «Как сделать» задание по алгебре к упражнению №22.7 (с. 110), авторов: Арефьева (Ирина Глебовна), Пирютко (Ольга Николаевна), базовый и повышенный уровень обучения учебного пособия издательства Народная асвета.