Номер 22.8, страница 110 - гдз по алгебре 10 класс сборник задач Арефьева, Пирютко

Алгебра, 10 класс Сборник задач, авторы: Арефьева Ирина Глебовна, Пирютко Ольга Николаевна, издательство Народная асвета, Минск, 2020, белого цвета

Авторы: Арефьева И. Г., Пирютко О. Н.

Тип: Сборник задач

Издательство: Народная асвета

Год издания: 2020 - 2025

Уровень обучения: базовый и повышенный

Цвет обложки: белый, голубой с графиком

Допущено Министерством образования Республики Беларусь

Популярные ГДЗ в 10 классе

Глава 4. Корень n-й степени из числа. Параграф 22. Иррациональные уравнения - номер 22.8, страница 110.

№22.8 (с. 110)
Условие. №22.8 (с. 110)
скриншот условия
Алгебра, 10 класс Сборник задач, авторы: Арефьева Ирина Глебовна, Пирютко Ольга Николаевна, издательство Народная асвета, Минск, 2020, белого цвета, страница 110, номер 22.8, Условие

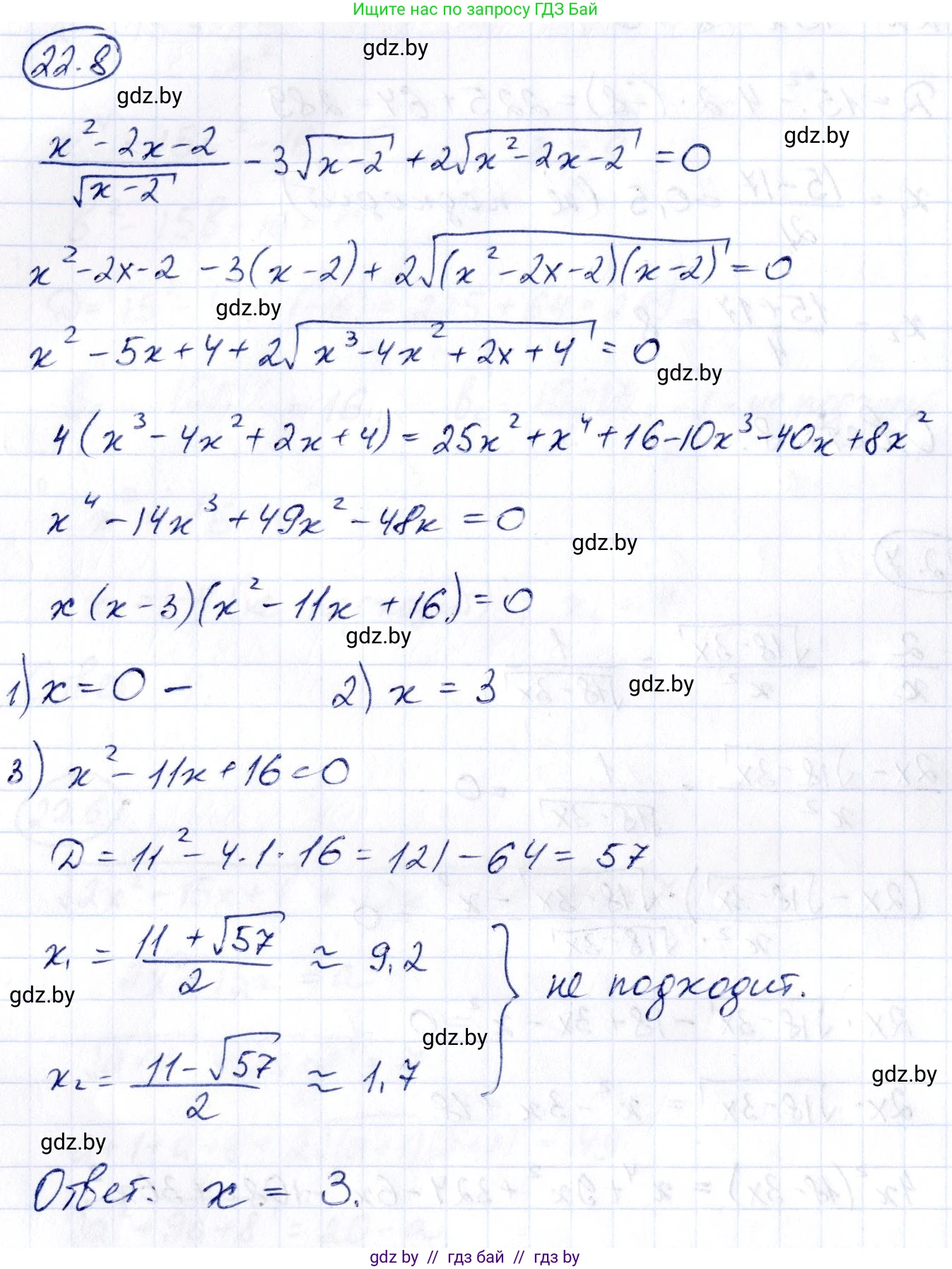
22.8. Найдите сумму корней (корень, если он единственный) уравнения

$\frac{x^2 - 2x - 2}{\sqrt{x - 2}} - 3\sqrt{x - 2} + 2\sqrt{x^2 - 2x - 2} = 0.$

Решение. №22.8 (с. 110)
Алгебра, 10 класс Сборник задач, авторы: Арефьева Ирина Глебовна, Пирютко Ольга Николаевна, издательство Народная асвета, Минск, 2020, белого цвета, страница 110, номер 22.8, Решение
Решение 2. №22.8 (с. 110)

Для решения данного уравнения в первую очередь определим область допустимых значений (ОДЗ).

1. Выражение под корнем в числителе и в последнем слагаемом должно быть неотрицательным: $x^2 - 2x - 2 \ge 0$.
Найдем корни квадратного трехчлена $x^2 - 2x - 2 = 0$. Используя формулу для корней квадратного уравнения, получаем:
$x = \frac{-(-2) \pm \sqrt{(-2)^2 - 4 \cdot 1 \cdot (-2)}}{2 \cdot 1} = \frac{2 \pm \sqrt{4+8}}{2} = \frac{2 \pm \sqrt{12}}{2} = \frac{2 \pm 2\sqrt{3}}{2} = 1 \pm \sqrt{3}$.
Графиком функции $y = x^2 - 2x - 2$ является парабола с ветвями вверх, поэтому неравенство выполняется при $x \le 1 - \sqrt{3}$ или $x \ge 1 + \sqrt{3}$.

2. Выражение под корнем в знаменателе должно быть строго положительным: $x - 2 > 0$, откуда следует, что $x > 2$.

Объединим оба условия для нахождения ОДЗ. Нам нужно найти пересечение множеств $x \in (-\infty; 1-\sqrt{3}] \cup [1+\sqrt{3}; \infty)$ и $x \in (2; \infty)$.
Оценим значение $1+\sqrt{3} \approx 1+1.732 = 2.732$. Так как $2.732 > 2$, пересечением будет промежуток $[1+\sqrt{3}; \infty)$.
Итак, ОДЗ: $x \ge 1+\sqrt{3}$.

Теперь приступим к решению самого уравнения: $$ \frac{x^2 - 2x - 2}{\sqrt{x - 2}} - 3\sqrt{x - 2} + 2\sqrt{x^2 - 2x - 2} = 0 $$

Для упрощения введем замену. Пусть $a = \sqrt{x^2 - 2x - 2}$ и $b = \sqrt{x - 2}$. В соответствии с ОДЗ, $a \ge 0$ и $b > 0$.
Тогда уравнение можно переписать в виде: $$ \frac{a^2}{b} - 3b + 2a = 0 $$

Домножим обе части уравнения на $b$ (так как $b>0$, это равносильное преобразование): $a^2 - 3b^2 + 2ab = 0$
Перегруппируем слагаемые: $a^2 + 2ab - 3b^2 = 0$

Это однородное квадратное уравнение относительно переменных $a$ и $b$. Поскольку $b \neq 0$, мы можем разделить обе части уравнения на $b^2$: $$ \left(\frac{a}{b}\right)^2 + 2\left(\frac{a}{b}\right) - 3 = 0 $$

Сделаем еще одну замену $t = \frac{a}{b}$. Уравнение примет вид: $t^2 + 2t - 3 = 0$

По теореме Виета (или через дискриминант) находим корни: $t_1 = 1$ и $t_2 = -3$.

Теперь выполним обратную замену.

Случай 1: $t = 1$.
$\frac{a}{b} = 1 \implies a = b$.
$\sqrt{x^2 - 2x - 2} = \sqrt{x - 2}$.
Так как обе части неотрицательны, возводим их в квадрат:
$x^2 - 2x - 2 = x - 2$
$x^2 - 3x = 0$
$x(x - 3) = 0$.
Получаем два потенциальных корня: $x_1 = 0$, $x_2 = 3$.

Случай 2: $t = -3$.
$\frac{a}{b} = -3 \implies a = -3b$.
$\sqrt{x^2 - 2x - 2} = -3\sqrt{x - 2}$.
Левая часть этого равенства неотрицательна ($a \ge 0$), а правая — неположительна (так как $b>0$, то $-3b<0$). Равенство возможно только в случае, если обе части равны нулю, но $b \neq 0$. Следовательно, в этом случае решений нет.

Проверим найденные в первом случае корни ($0$ и $3$) на соответствие ОДЗ ($x \ge 1+\sqrt{3}$).

- $x_1 = 0$: $0 < 1+\sqrt{3}$, поэтому этот корень является посторонним.

- $x_2 = 3$: $3 \ge 1+\sqrt{3} \iff 2 \ge \sqrt{3} \iff 4 \ge 3$. Неравенство верно, значит, $x=3$ является корнем уравнения.

Таким образом, уравнение имеет единственный корень $x=3$.

Сумма корней уравнения: Ответ: 3

Помогло решение? Оставьте отзыв в комментариях ниже.

Присоединяйтесь к Телеграм-группе @gdz_by_belarus

Присоединиться

Мы подготовили для вас ответ c подробным объяснением домашего задания по алгебре за 10 класс, для упражнения номер 22.8 расположенного на странице 110 к сборнику задач 2020 года издания для учащихся школ и гимназий.

Теперь на нашем сайте ГДЗ.ТОП вы всегда легко и бесплатно найдёте условие с правильным ответом на вопрос «Как решить ДЗ» и «Как сделать» задание по алгебре к упражнению №22.8 (с. 110), авторов: Арефьева (Ирина Глебовна), Пирютко (Ольга Николаевна), базовый и повышенный уровень обучения учебного пособия издательства Народная асвета.