Номер 22.1, страница 109 - гдз по алгебре 10 класс сборник задач Арефьева, Пирютко

Алгебра, 10 класс Сборник задач, авторы: Арефьева Ирина Глебовна, Пирютко Ольга Николаевна, издательство Народная асвета, Минск, 2020, белого цвета

Авторы: Арефьева И. Г., Пирютко О. Н.

Тип: Сборник задач

Издательство: Народная асвета

Год издания: 2020 - 2025

Уровень обучения: базовый и повышенный

Цвет обложки: белый, голубой с графиком

Допущено Министерством образования Республики Беларусь

Популярные ГДЗ в 10 классе

Глава 4. Корень n-й степени из числа. Параграф 22. Иррациональные уравнения - номер 22.1, страница 109.

№22.1 (с. 109)
Условие. №22.1 (с. 109)
скриншот условия
Алгебра, 10 класс Сборник задач, авторы: Арефьева Ирина Глебовна, Пирютко Ольга Николаевна, издательство Народная асвета, Минск, 2020, белого цвета, страница 109, номер 22.1, Условие

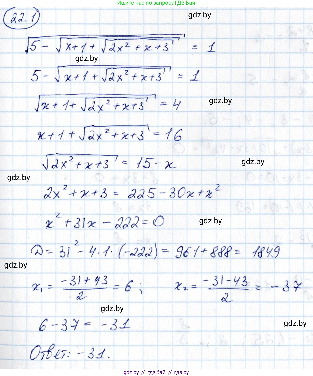
22.1. Найдите сумму корней уравнения $\sqrt{5-\sqrt{x+1+\sqrt{2x^2+x+3}}}=1$.

Решение. №22.1 (с. 109)
Алгебра, 10 класс Сборник задач, авторы: Арефьева Ирина Глебовна, Пирютко Ольга Николаевна, издательство Народная асвета, Минск, 2020, белого цвета, страница 109, номер 22.1, Решение
Решение 2. №22.1 (с. 109)

22.1. Для решения данного иррационального уравнения необходимо последовательно избавляться от внешних корней путем возведения обеих частей уравнения в квадрат.
Исходное уравнение:
$\sqrt{5 - \sqrt{x+1+\sqrt{2x^2+x+3}}} = 1$
Возведем обе части в квадрат:
$5 - \sqrt{x+1+\sqrt{2x^2+x+3}} = 1^2 = 1$
Выразим радикал:
$\sqrt{x+1+\sqrt{2x^2+x+3}} = 5 - 1 = 4$
Снова возведем обе части в квадрат:
$x+1+\sqrt{2x^2+x+3} = 4^2 = 16$
Изолируем последний радикал:
$\sqrt{2x^2+x+3} = 16 - x - 1 = 15 - x$
Для существования решения необходимо, чтобы правая часть была неотрицательна: $15 - x \ge 0$, то есть $x \le 15$. Также необходимо, чтобы подкоренное выражение было неотрицательным: $2x^2+x+3 \ge 0$. Дискриминант этого квадратного трехчлена $D = 1^2-4 \cdot 2 \cdot 3 = -23 < 0$, а старший коэффициент $a=2 > 0$, следовательно, выражение $2x^2+x+3$ положительно при любых $x$. Таким образом, единственным ограничением является $x \le 15$.
С учетом этого ограничения, возведем обе части уравнения $\sqrt{2x^2+x+3} = 15 - x$ в квадрат:
$2x^2+x+3 = (15 - x)^2$
$2x^2+x+3 = 225 - 30x + x^2$
Приведем уравнение к стандартному квадратному виду:
$x^2 + 31x - 222 = 0$
Решим полученное квадратное уравнение через дискриминант:
$D = 31^2 - 4 \cdot 1 \cdot (-222) = 961 + 888 = 1849 = 43^2$
Найдем корни уравнения:
$x_1 = \frac{-31 + 43}{2} = \frac{12}{2} = 6$
$x_2 = \frac{-31 - 43}{2} = \frac{-74}{2} = -37$
Оба корня ($6$ и $-37$) удовлетворяют условию $x \le 15$, поэтому являются решениями исходного уравнения. Найдем их сумму:
$S = 6 + (-37) = -31$.
Ответ: -31

Помогло решение? Оставьте отзыв в комментариях ниже.

Присоединяйтесь к Телеграм-группе @gdz_by_belarus

Присоединиться

Мы подготовили для вас ответ c подробным объяснением домашего задания по алгебре за 10 класс, для упражнения номер 22.1 расположенного на странице 109 к сборнику задач 2020 года издания для учащихся школ и гимназий.

Теперь на нашем сайте ГДЗ.ТОП вы всегда легко и бесплатно найдёте условие с правильным ответом на вопрос «Как решить ДЗ» и «Как сделать» задание по алгебре к упражнению №22.1 (с. 109), авторов: Арефьева (Ирина Глебовна), Пирютко (Ольга Николаевна), базовый и повышенный уровень обучения учебного пособия издательства Народная асвета.