Номер 22.3, страница 109 - гдз по алгебре 10 класс сборник задач Арефьева, Пирютко

Алгебра, 10 класс Сборник задач, авторы: Арефьева Ирина Глебовна, Пирютко Ольга Николаевна, издательство Народная асвета, Минск, 2020, белого цвета

Авторы: Арефьева И. Г., Пирютко О. Н.

Тип: Сборник задач

Издательство: Народная асвета

Год издания: 2020 - 2025

Уровень обучения: базовый и повышенный

Цвет обложки: белый, голубой с графиком

Допущено Министерством образования Республики Беларусь

Популярные ГДЗ в 10 классе

Глава 4. Корень n-й степени из числа. Параграф 22. Иррациональные уравнения - номер 22.3, страница 109.

№22.3 (с. 109)
Условие. №22.3 (с. 109)
скриншот условия
Алгебра, 10 класс Сборник задач, авторы: Арефьева Ирина Глебовна, Пирютко Ольга Николаевна, издательство Народная асвета, Минск, 2020, белого цвета, страница 109, номер 22.3, Условие

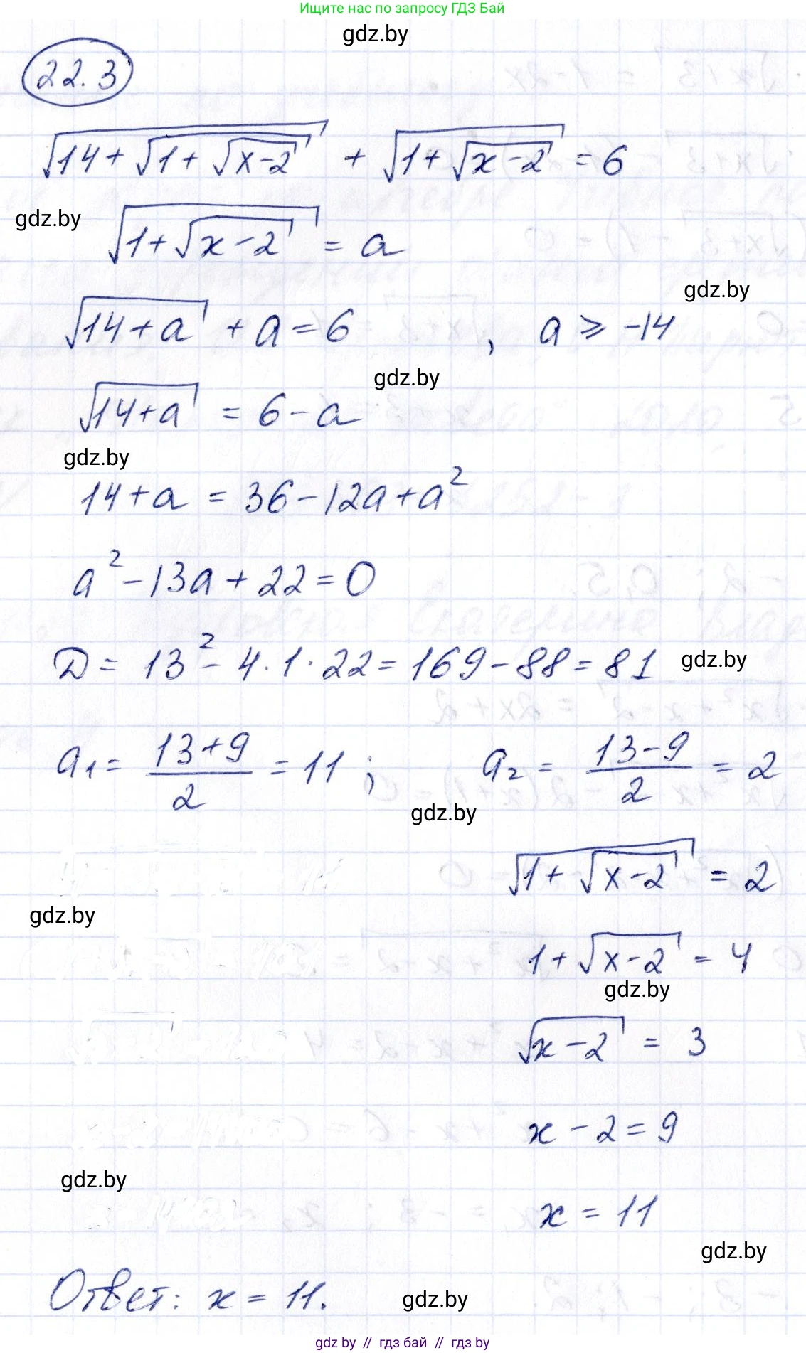
22.3. Решите уравнение $\sqrt{14 + \sqrt{1 + \sqrt{x-2}}} + \sqrt{1 + \sqrt{x-2}} = 6.$

Решение. №22.3 (с. 109)
Алгебра, 10 класс Сборник задач, авторы: Арефьева Ирина Глебовна, Пирютко Ольга Николаевна, издательство Народная асвета, Минск, 2020, белого цвета, страница 109, номер 22.3, Решение
Решение 2. №22.3 (с. 109)

Исходное уравнение: $\sqrt{14 + \sqrt{1 + \sqrt{x-2}}} + \sqrt{1 + \sqrt{x-2}} = 6$.

Найдем область допустимых значений (ОДЗ). Все выражения под знаком квадратного корня должны быть неотрицательными.

1. $x - 2 \ge 0 \implies x \ge 2$.

2. $1 + \sqrt{x-2}$. При $x \ge 2$, $\sqrt{x-2} \ge 0$, следовательно $1 + \sqrt{x-2} \ge 1$. Условие выполняется.

3. $14 + \sqrt{1 + \sqrt{x-2}}$. Аналогично, это выражение всегда будет положительным.

Таким образом, ОДЗ уравнения: $x \ge 2$.

Для упрощения решения введем замену. Пусть $y = \sqrt{1 + \sqrt{x-2}}$. Поскольку $y$ — это значение квадратного корня, то $y \ge 0$.

Подставим новую переменную в исходное уравнение:$\sqrt{14 + y} + y = 6$.

Теперь решим это уравнение относительно $y$.$\sqrt{14 + y} = 6 - y$.

Правая часть уравнения должна быть неотрицательной, так как она равна значению арифметического квадратного корня:$6 - y \ge 0 \implies y \le 6$. С учетом ранее введенного ограничения $y \ge 0$, получаем, что допустимые значения для $y$ лежат в промежутке $0 \le y \le 6$.

Возведем обе части уравнения $\sqrt{14 + y} = 6 - y$ в квадрат:$(\sqrt{14 + y})^2 = (6 - y)^2$$14 + y = 36 - 12y + y^2$.

Перенесем все члены в одну сторону, чтобы получить стандартное квадратное уравнение:$y^2 - 12y - y + 36 - 14 = 0$$y^2 - 13y + 22 = 0$.

Решим квадратное уравнение с помощью теоремы Виета. Сумма корней $y_1 + y_2 = 13$. Произведение корней $y_1 \cdot y_2 = 22$. Отсюда находим корни: $y_1 = 2$ и $y_2 = 11$.

Проверим найденные корни на соответствие условию $0 \le y \le 6$:

  • $y_1 = 2$ удовлетворяет условию, так как $0 \le 2 \le 6$.
  • $y_2 = 11$ не удовлетворяет условию, так как $11 > 6$. Этот корень является посторонним.

Итак, единственное решение для $y$ — это $y=2$.

Выполним обратную замену, чтобы найти $x$:$\sqrt{1 + \sqrt{x-2}} = 2$.

Возведем обе части в квадрат:$1 + \sqrt{x-2} = 2^2$$1 + \sqrt{x-2} = 4$.

Выразим оставшийся корень:$\sqrt{x-2} = 4 - 1$$\sqrt{x-2} = 3$.

Снова возведем обе части в квадрат:$(\sqrt{x-2})^2 = 3^2$$x - 2 = 9$.

Отсюда находим $x$:$x = 9 + 2$$x = 11$.

Найденное значение $x=11$ удовлетворяет ОДЗ ($x \ge 2$). Проведем проверку, подставив корень в исходное уравнение:$\sqrt{14 + \sqrt{1 + \sqrt{11-2}}} + \sqrt{1 + \sqrt{11-2}} = \sqrt{14 + \sqrt{1 + \sqrt{9}}} + \sqrt{1 + \sqrt{9}} = \sqrt{14 + \sqrt{1+3}} + \sqrt{1+3} = \sqrt{14 + \sqrt{4}} + \sqrt{4} = \sqrt{14+2} + 2 = \sqrt{16} + 2 = 4 + 2 = 6$.$6 = 6$. Равенство выполняется, следовательно, корень найден верно.

Ответ: 11.

Помогло решение? Оставьте отзыв в комментариях ниже.

Присоединяйтесь к Телеграм-группе @gdz_by_belarus

Присоединиться

Мы подготовили для вас ответ c подробным объяснением домашего задания по алгебре за 10 класс, для упражнения номер 22.3 расположенного на странице 109 к сборнику задач 2020 года издания для учащихся школ и гимназий.

Теперь на нашем сайте ГДЗ.ТОП вы всегда легко и бесплатно найдёте условие с правильным ответом на вопрос «Как решить ДЗ» и «Как сделать» задание по алгебре к упражнению №22.3 (с. 109), авторов: Арефьева (Ирина Глебовна), Пирютко (Ольга Николаевна), базовый и повышенный уровень обучения учебного пособия издательства Народная асвета.