Номер 23.11, страница 118 - гдз по алгебре 10 класс сборник задач Арефьева, Пирютко

Алгебра, 10 класс Сборник задач, авторы: Арефьева Ирина Глебовна, Пирютко Ольга Николаевна, издательство Народная асвета, Минск, 2020, белого цвета

Авторы: Арефьева И. Г., Пирютко О. Н.

Тип: Сборник задач

Издательство: Народная асвета

Год издания: 2020 - 2025

Уровень обучения: базовый и повышенный

Цвет обложки: белый, голубой с графиком

Допущено Министерством образования Республики Беларусь

Популярные ГДЗ в 10 классе

Глава 4. Корень n-й степени из числа. Параграф 23. Иррациональные неравенства - номер 23.11, страница 118.

№23.11 (с. 118)
Условие. №23.11 (с. 118)
скриншот условия
Алгебра, 10 класс Сборник задач, авторы: Арефьева Ирина Глебовна, Пирютко Ольга Николаевна, издательство Народная асвета, Минск, 2020, белого цвета, страница 118, номер 23.11, Условие

23.11. Решите неравенство:

а) $\sqrt{x^2 - 1} < \sqrt{2x + 7};$

б) $\sqrt{8x + 44} \ge \sqrt{x^2 - 4};$

в) $\sqrt{x + 4} \le \sqrt{x^2 - 2x + 4};$

г) $\sqrt{x + 2} > \sqrt{8 - x^2};$

д) $\sqrt{x^2 + 5x} < \sqrt{1 - x^2 + 4x};$

е) $\sqrt{2x^2 - x - 6} \ge \sqrt{x^2 - 4}.$

Решение. №23.11 (с. 118)
Алгебра, 10 класс Сборник задач, авторы: Арефьева Ирина Глебовна, Пирютко Ольга Николаевна, издательство Народная асвета, Минск, 2020, белого цвета, страница 118, номер 23.11, Решение Алгебра, 10 класс Сборник задач, авторы: Арефьева Ирина Глебовна, Пирютко Ольга Николаевна, издательство Народная асвета, Минск, 2020, белого цвета, страница 118, номер 23.11, Решение (продолжение 2)
Решение 2. №23.11 (с. 118)

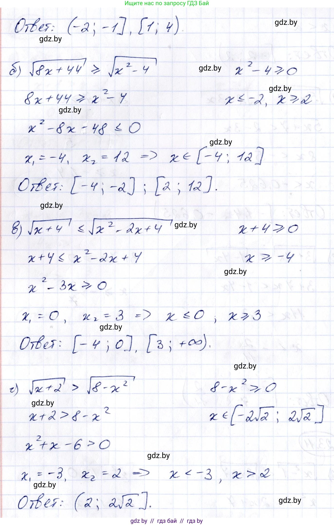
а) Решим неравенство $\sqrt{x^2 - 1} < \sqrt{2x + 7}$. Данное иррациональное неравенство вида $\sqrt{f(x)} < \sqrt{g(x)}$ равносильно системе неравенств:

$\begin{cases} x^2 - 1 \ge 0 \\ x^2 - 1 < 2x + 7\end{cases}$

Решим первое неравенство: $x^2 - 1 \ge 0$, что равносильно $(x-1)(x+1) \ge 0$. Решением является объединение промежутков $x \in (-\infty, -1] \cup [1, \infty)$.

Решим второе неравенство: $x^2 - 1 < 2x + 7$, что равносильно $x^2 - 2x - 8 < 0$. Найдем корни квадратного трехчлена $x^2 - 2x - 8 = 0$. По теореме Виета, корни $x_1 = -2$ и $x_2 = 4$. Таким образом, неравенство можно записать в виде $(x+2)(x-4) < 0$. Решением является интервал $x \in (-2, 4)$.

Найдем пересечение решений обоих неравенств: $x \in ((-\infty, -1] \cup [1, \infty)) \cap (-2, 4)$.

Ответ: $x \in (-2, -1] \cup [1, 4)$.

б) Решим неравенство $\sqrt{8x + 44} \ge \sqrt{x^2 - 4}$. Данное неравенство вида $\sqrt{f(x)} \ge \sqrt{g(x)}$ равносильно системе:

$\begin{cases} x^2 - 4 \ge 0 \\ 8x + 44 \ge x^2 - 4\end{cases}$

Решим первое неравенство: $x^2 - 4 \ge 0$, что равносильно $(x-2)(x+2) \ge 0$. Решением является $x \in (-\infty, -2] \cup [2, \infty)$.

Решим второе неравенство: $8x + 44 \ge x^2 - 4$, что равносильно $x^2 - 8x - 48 \le 0$. Найдем корни уравнения $x^2 - 8x - 48 = 0$. Дискриминант $D = (-8)^2 - 4(1)(-48) = 64 + 192 = 256 = 16^2$. Корни: $x_1 = \frac{8-16}{2} = -4$ и $x_2 = \frac{8+16}{2} = 12$. Неравенство можно записать как $(x+4)(x-12) \le 0$. Решением является отрезок $x \in [-4, 12]$.

Найдем пересечение решений: $x \in ((-\infty, -2] \cup [2, \infty)) \cap [-4, 12]$.

Ответ: $x \in [-4, -2] \cup [2, 12]$.

в) Решим неравенство $\sqrt{x + 4} \le \sqrt{x^2 - 2x + 4}$. Данное неравенство равносильно системе:

$\begin{cases} x + 4 \ge 0 \\ x + 4 \le x^2 - 2x + 4\end{cases}$

Заметим, что подкоренное выражение $x^2 - 2x + 4$ всегда положительно, так как его дискриминант $D = (-2)^2 - 4(1)(4) = -12 < 0$ и коэффициент при $x^2$ положителен.

Решим первое неравенство: $x + 4 \ge 0 \Rightarrow x \ge -4$.

Решим второе неравенство: $x + 4 \le x^2 - 2x + 4 \Rightarrow x^2 - 3x \ge 0 \Rightarrow x(x-3) \ge 0$. Решением является $x \in (-\infty, 0] \cup [3, \infty)$.

Найдем пересечение решений: $x \in [-4, \infty) \cap ((-\infty, 0] \cup [3, \infty))$.

Ответ: $x \in [-4, 0] \cup [3, \infty)$.

г) Решим неравенство $\sqrt{x + 2} > \sqrt{8 - x^2}$. Данное неравенство равносильно системе:

$\begin{cases} 8 - x^2 \ge 0 \\ x + 2 > 8 - x^2\end{cases}$

Решим первое неравенство: $8 - x^2 \ge 0 \Rightarrow x^2 \le 8 \Rightarrow -\sqrt{8} \le x \le \sqrt{8}$. Таким образом, $x \in [-2\sqrt{2}, 2\sqrt{2}]$.

Решим второе неравенство: $x + 2 > 8 - x^2 \Rightarrow x^2 + x - 6 > 0$. Корни уравнения $x^2 + x - 6 = 0$ равны $x_1 = -3$ и $x_2 = 2$. Неравенство можно записать как $(x+3)(x-2) > 0$. Решением является $x \in (-\infty, -3) \cup (2, \infty)$.

Найдем пересечение решений: $x \in [-2\sqrt{2}, 2\sqrt{2}] \cap ((-\infty, -3) \cup (2, \infty))$. Учитывая, что $-3 < -2\sqrt{2} \approx -2.828$, пересечение с интервалом $(-\infty, -3)$ пустое.

Ответ: $x \in (2, 2\sqrt{2}]$.

д) Решим неравенство $\sqrt{x^2 + 5x} < \sqrt{1 - x^2 + 4x}$. Данное неравенство равносильно системе:

$\begin{cases} x^2 + 5x \ge 0 \\ x^2 + 5x < 1 - x^2 + 4x\end{cases}$

Решим первое неравенство: $x^2 + 5x \ge 0 \Rightarrow x(x+5) \ge 0$. Решением является $x \in (-\infty, -5] \cup [0, \infty)$.

Решим второе неравенство: $x^2 + 5x < 1 - x^2 + 4x \Rightarrow 2x^2 + x - 1 < 0$. Корни уравнения $2x^2 + x - 1 = 0$ равны $x_1=-1$ и $x_2=\frac{1}{2}$. Неравенство можно записать как $2(x+1)(x-\frac{1}{2}) < 0$. Решением является $x \in (-1, \frac{1}{2})$.

Найдем пересечение решений: $x \in ((-\infty, -5] \cup [0, \infty)) \cap (-1, \frac{1}{2})$.

Ответ: $x \in [0, \frac{1}{2})$.

е) Решим неравенство $\sqrt{2x^2 - x - 6} \ge \sqrt{x^2 - 4}$. Данное неравенство равносильно системе:

$\begin{cases} x^2 - 4 \ge 0 \\ 2x^2 - x - 6 \ge x^2 - 4\end{cases}$

Решим первое неравенство: $x^2 - 4 \ge 0 \Rightarrow (x-2)(x+2) \ge 0$. Решением является $x \in (-\infty, -2] \cup [2, \infty)$.

Решим второе неравенство: $2x^2 - x - 6 \ge x^2 - 4 \Rightarrow x^2 - x - 2 \ge 0$. Корни уравнения $x^2 - x - 2 = 0$ равны $x_1 = -1$ и $x_2 = 2$. Неравенство можно записать как $(x+1)(x-2) \ge 0$. Решением является $x \in (-\infty, -1] \cup [2, \infty)$.

Найдем пересечение решений: $x \in ((-\infty, -2] \cup [2, \infty)) \cap ((-\infty, -1] \cup [2, \infty))$.

Ответ: $x \in (-\infty, -2] \cup [2, \infty)$.

Помогло решение? Оставьте отзыв в комментариях ниже.

Присоединяйтесь к Телеграм-группе @gdz_by_belarus

Присоединиться

Мы подготовили для вас ответ c подробным объяснением домашего задания по алгебре за 10 класс, для упражнения номер 23.11 расположенного на странице 118 к сборнику задач 2020 года издания для учащихся школ и гимназий.

Теперь на нашем сайте ГДЗ.ТОП вы всегда легко и бесплатно найдёте условие с правильным ответом на вопрос «Как решить ДЗ» и «Как сделать» задание по алгебре к упражнению №23.11 (с. 118), авторов: Арефьева (Ирина Глебовна), Пирютко (Ольга Николаевна), базовый и повышенный уровень обучения учебного пособия издательства Народная асвета.