Номер 23.18, страница 119 - гдз по алгебре 10 класс сборник задач Арефьева, Пирютко

Алгебра, 10 класс Сборник задач, авторы: Арефьева Ирина Глебовна, Пирютко Ольга Николаевна, издательство Народная асвета, Минск, 2020, белого цвета

Авторы: Арефьева И. Г., Пирютко О. Н.

Тип: Сборник задач

Издательство: Народная асвета

Год издания: 2020 - 2025

Уровень обучения: базовый и повышенный

Цвет обложки: белый, голубой с графиком

Допущено Министерством образования Республики Беларусь

Популярные ГДЗ в 10 классе

Глава 4. Корень n-й степени из числа. Параграф 23. Иррациональные неравенства - номер 23.18, страница 119.

№23.18 (с. 119)
Условие. №23.18 (с. 119)
скриншот условия
Алгебра, 10 класс Сборник задач, авторы: Арефьева Ирина Глебовна, Пирютко Ольга Николаевна, издательство Народная асвета, Минск, 2020, белого цвета, страница 119, номер 23.18, Условие

23.18. Решите неравенство:

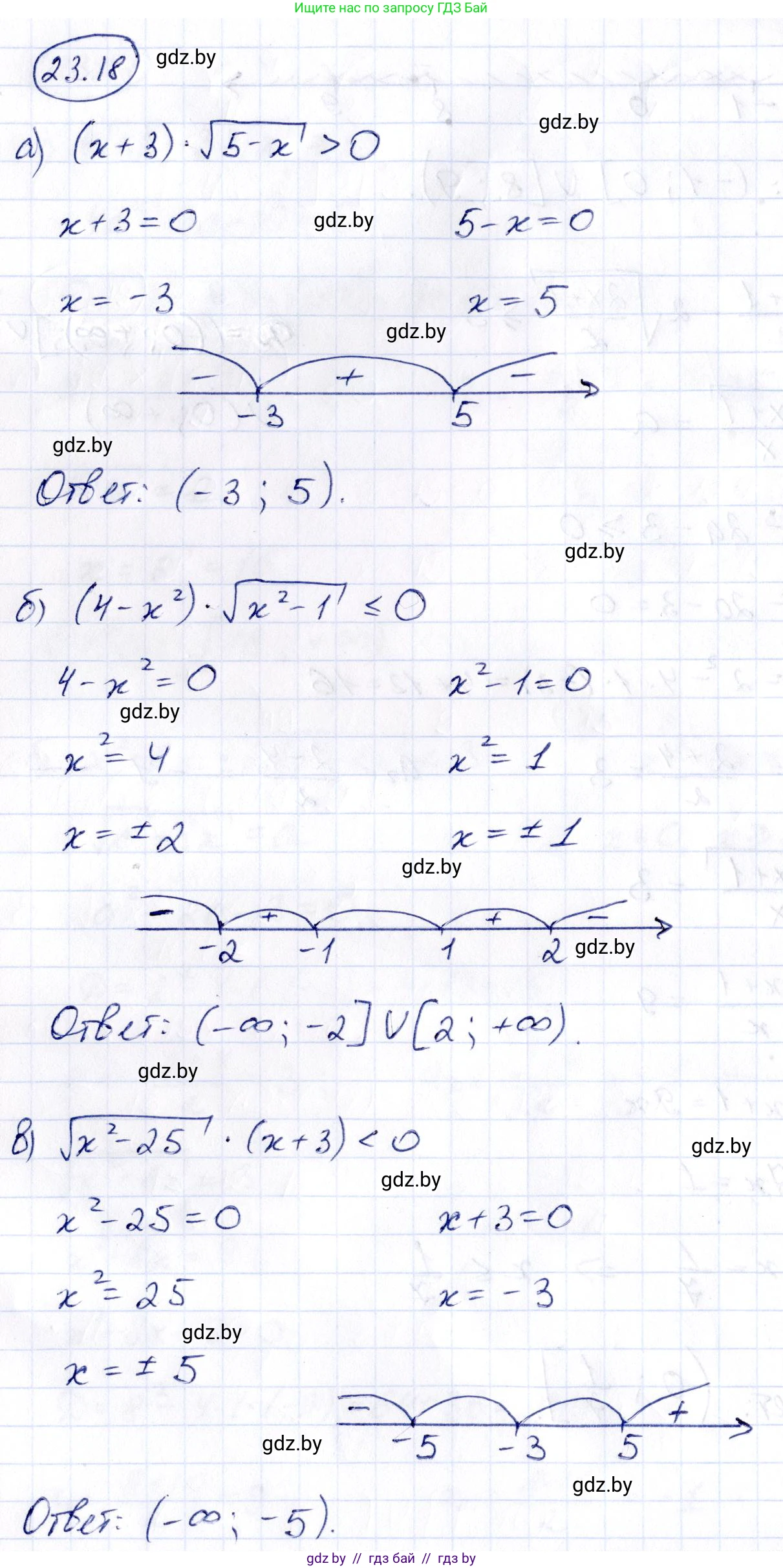
а) $(x+3)\sqrt{5-x} > 0;$

б) $(4-x^2)\sqrt{x^2-1} \le 0;$

в) $\sqrt{x^2-25} \cdot (x+3) < 0;$

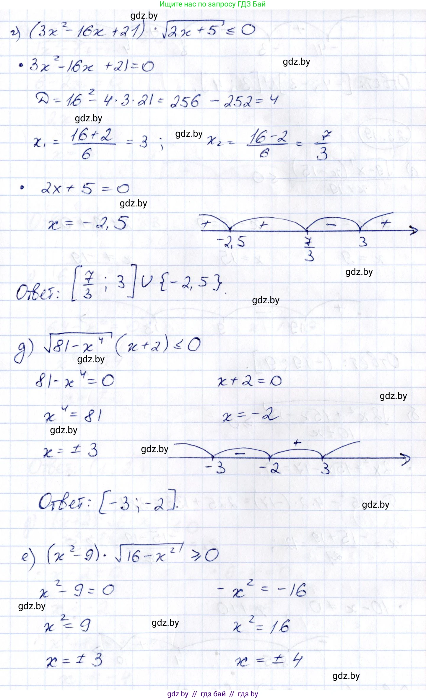
г) $(3x^2-16x+21)\sqrt{2x+5} \le 0;$

д) $\sqrt{81-x^4} \cdot (x+2) \le 0;$

е) $(x^2-9)\cdot\sqrt{16-x^2} \ge 0.$

Решение. №23.18 (с. 119)
Алгебра, 10 класс Сборник задач, авторы: Арефьева Ирина Глебовна, Пирютко Ольга Николаевна, издательство Народная асвета, Минск, 2020, белого цвета, страница 119, номер 23.18, Решение Алгебра, 10 класс Сборник задач, авторы: Арефьева Ирина Глебовна, Пирютко Ольга Николаевна, издательство Народная асвета, Минск, 2020, белого цвета, страница 119, номер 23.18, Решение (продолжение 2)
Решение 2. №23.18 (с. 119)

а) $(x+3)\sqrt{5-x} > 0$

Неравенство равносильно системе, так как множитель $\sqrt{5-x}$ должен быть строго больше нуля (иначе произведение будет равно 0, что не удовлетворяет знаку `>`).
Это означает, что подкоренное выражение должно быть строго положительным, и второй множитель также должен быть положительным.
$ \begin{cases} 5-x > 0 \\ x+3 > 0 \end{cases} $
Решаем систему:
$ \begin{cases} x < 5 \\ x > -3 \end{cases} $
Пересекая эти два условия, получаем интервал $(-3; 5)$.

а) Ответ: $x \in (-3; 5)$.

б) $(4-x^2)\sqrt{x^2-1} \le 0$

1. Область допустимых значений (ОДЗ) определяется условием $x^2-1 \ge 0$, что равносильно $(x-1)(x+1) \ge 0$. Решением является $x \in (-\infty; -1] \cup [1; \infty)$.
2. Множитель $\sqrt{x^2-1}$ всегда неотрицателен. Поэтому неравенство выполняется, если:
а) Произведение равно нулю. Это происходит, когда один из множителей равен нулю, и при этом $x$ принадлежит ОДЗ.
$\sqrt{x^2-1} = 0 \implies x^2=1 \implies x = \pm 1$. Оба значения входят в ОДЗ.
$4-x^2 = 0 \implies x^2=4 \implies x = \pm 2$. Оба значения входят в ОДЗ. Таким образом, $x \in \{-2; -1; 1; 2\}$ являются решениями.
б) Произведение меньше нуля. Это возможно, только если $4-x^2 < 0$ и $\sqrt{x^2-1} > 0$.
$4-x^2 < 0 \implies x^2 > 4 \implies x \in (-\infty; -2) \cup (2; \infty)$.
Условие $\sqrt{x^2-1} > 0$ выполняется для всех $x$ из ОДЗ, кроме $x=\pm1$.
Пересекая $x \in (-\infty; -2) \cup (2; \infty)$ с ОДЗ, получаем то же самое множество.
3. Объединяем решения из пунктов а) и б): $(-\infty; -2) \cup (2; \infty) \cup \{-2; -1; 1; 2\}$.

б) Ответ: $x \in (-\infty; -2] \cup \{-1; 1\} \cup [2; \infty)$.

в) $\sqrt{x^2-25} \cdot (x+3) < 0$

1. ОДЗ: $x^2-25 \ge 0 \implies (x-5)(x+5) \ge 0 \implies x \in (-\infty; -5] \cup [5; \infty)$.
2. Множитель $\sqrt{x^2-25}$ неотрицателен. Чтобы произведение было строго отрицательным, необходимо, чтобы $\sqrt{x^2-25} > 0$ и $(x+3) < 0$.
$\sqrt{x^2-25} > 0 \implies x^2-25 > 0 \implies x \in (-\infty; -5) \cup (5; \infty)$.
$x+3 < 0 \implies x < -3$.
3. Находим пересечение множеств $(-\infty; -5) \cup (5; \infty)$ и $(-\infty; -3)$.

в) Ответ: $x \in (-\infty; -5)$.

г) $(3x^2-16x+21)\sqrt{2x+5} \le 0$

1. ОДЗ: $2x+5 \ge 0 \implies 2x \ge -5 \implies x \ge -2.5$. То есть $x \in [-\frac{5}{2}; \infty)$.
2. Множитель $\sqrt{2x+5}$ неотрицателен. Неравенство выполняется, если:
а) Произведение равно нулю.
$\sqrt{2x+5}=0 \implies x = -\frac{5}{2}$. Это значение входит в ОДЗ.
$3x^2-16x+21 = 0$. Дискриминант $D=16^2 - 4 \cdot 3 \cdot 21 = 256-252=4$. Корни $x_{1,2} = \frac{16 \pm 2}{6}$, то есть $x_1 = \frac{14}{6} = \frac{7}{3}$ и $x_2=\frac{18}{6}=3$. Оба корня принадлежат ОДЗ. Решения: $x \in \{-\frac{5}{2}, \frac{7}{3}, 3\}$.
б) Произведение меньше нуля. Это возможно, если $3x^2-16x+21 < 0$ и $\sqrt{2x+5} > 0$.
Парабола $y=3x^2-16x+21$ имеет ветви вверх, поэтому она отрицательна между корнями: $x \in (\frac{7}{3}; 3)$. Этот интервал полностью входит в ОДЗ.
3. Объединяем решения: $\{-\frac{5}{2}\} \cup (\frac{7}{3}; 3) \cup \{\frac{7}{3}; 3\}$.

г) Ответ: $x \in \{-2\frac{1}{2}\} \cup [2\frac{1}{3}; 3]$.

д) $\sqrt{81-x^4} \cdot (x+2) \le 0$

1. ОДЗ: $81-x^4 \ge 0 \implies x^4 \le 81 \implies x^2 \le 9 \implies -3 \le x \le 3$. ОДЗ: $x \in [-3; 3]$.
2. Множитель $\sqrt{81-x^4}$ неотрицателен. Неравенство выполняется, если:
а) Произведение равно нулю.
$\sqrt{81-x^4}=0 \implies x^4=81 \implies x=\pm3$. Входят в ОДЗ.
$x+2=0 \implies x=-2$. Входит в ОДЗ. Решения: $x \in \{-3, -2, 3\}$.
б) Произведение меньше нуля: $x+2 < 0$ и $\sqrt{81-x^4} > 0$.
$x+2 < 0 \implies x < -2$.
$\sqrt{81-x^4} > 0 \implies x \in (-3; 3)$.
Пересечение $x < -2$ и $x \in (-3; 3)$ дает $x \in (-3; -2)$.
3. Объединяем решения: $\{-3, -2, 3\} \cup (-3; -2)$.

д) Ответ: $x \in [-3; -2] \cup \{3\}$.

е) $(x^2-9)\sqrt{16-x^2} \ge 0$

1. ОДЗ: $16-x^2 \ge 0 \implies x^2 \le 16 \implies -4 \le x \le 4$. ОДЗ: $x \in [-4; 4]$.
2. Множитель $\sqrt{16-x^2}$ неотрицателен. Неравенство выполняется, если:
а) Произведение равно нулю.
$\sqrt{16-x^2}=0 \implies x^2=16 \implies x=\pm4$. Входят в ОДЗ.
$x^2-9=0 \implies x^2=9 \implies x=\pm3$. Входят в ОДЗ. Решения: $x \in \{-4, -3, 3, 4\}$.
б) Произведение больше нуля: $x^2-9 > 0$ и $\sqrt{16-x^2} > 0$.
$x^2-9 > 0 \implies x^2 > 9 \implies x \in (-\infty; -3) \cup (3; \infty)$.
$\sqrt{16-x^2} > 0 \implies x \in (-4; 4)$.
Пересечение $x \in (-\infty; -3) \cup (3; \infty)$ и $x \in (-4; 4)$ дает $x \in (-4; -3) \cup (3; 4)$.
3. Объединяем решения: $\{-4, -3, 3, 4\} \cup ((-4; -3) \cup (3; 4))$.

е) Ответ: $x \in [-4; -3] \cup [3; 4]$.

Помогло решение? Оставьте отзыв в комментариях ниже.

Присоединяйтесь к Телеграм-группе @gdz_by_belarus

Присоединиться

Мы подготовили для вас ответ c подробным объяснением домашего задания по алгебре за 10 класс, для упражнения номер 23.18 расположенного на странице 119 к сборнику задач 2020 года издания для учащихся школ и гимназий.

Теперь на нашем сайте ГДЗ.ТОП вы всегда легко и бесплатно найдёте условие с правильным ответом на вопрос «Как решить ДЗ» и «Как сделать» задание по алгебре к упражнению №23.18 (с. 119), авторов: Арефьева (Ирина Глебовна), Пирютко (Ольга Николаевна), базовый и повышенный уровень обучения учебного пособия издательства Народная асвета.