Номер 23.19, страница 119 - гдз по алгебре 10 класс сборник задач Арефьева, Пирютко

Алгебра, 10 класс Сборник задач, авторы: Арефьева Ирина Глебовна, Пирютко Ольга Николаевна, издательство Народная асвета, Минск, 2020, белого цвета

Авторы: Арефьева И. Г., Пирютко О. Н.

Тип: Сборник задач

Издательство: Народная асвета

Год издания: 2020 - 2025

Уровень обучения: базовый и повышенный

Цвет обложки: белый, голубой с графиком

Допущено Министерством образования Республики Беларусь

Популярные ГДЗ в 10 классе

Глава 4. Корень n-й степени из числа. Параграф 23. Иррациональные неравенства - номер 23.19, страница 119.

№23.19 (с. 119)
Условие. №23.19 (с. 119)
скриншот условия
Алгебра, 10 класс Сборник задач, авторы: Арефьева Ирина Глебовна, Пирютко Ольга Николаевна, издательство Народная асвета, Минск, 2020, белого цвета, страница 119, номер 23.19, Условие

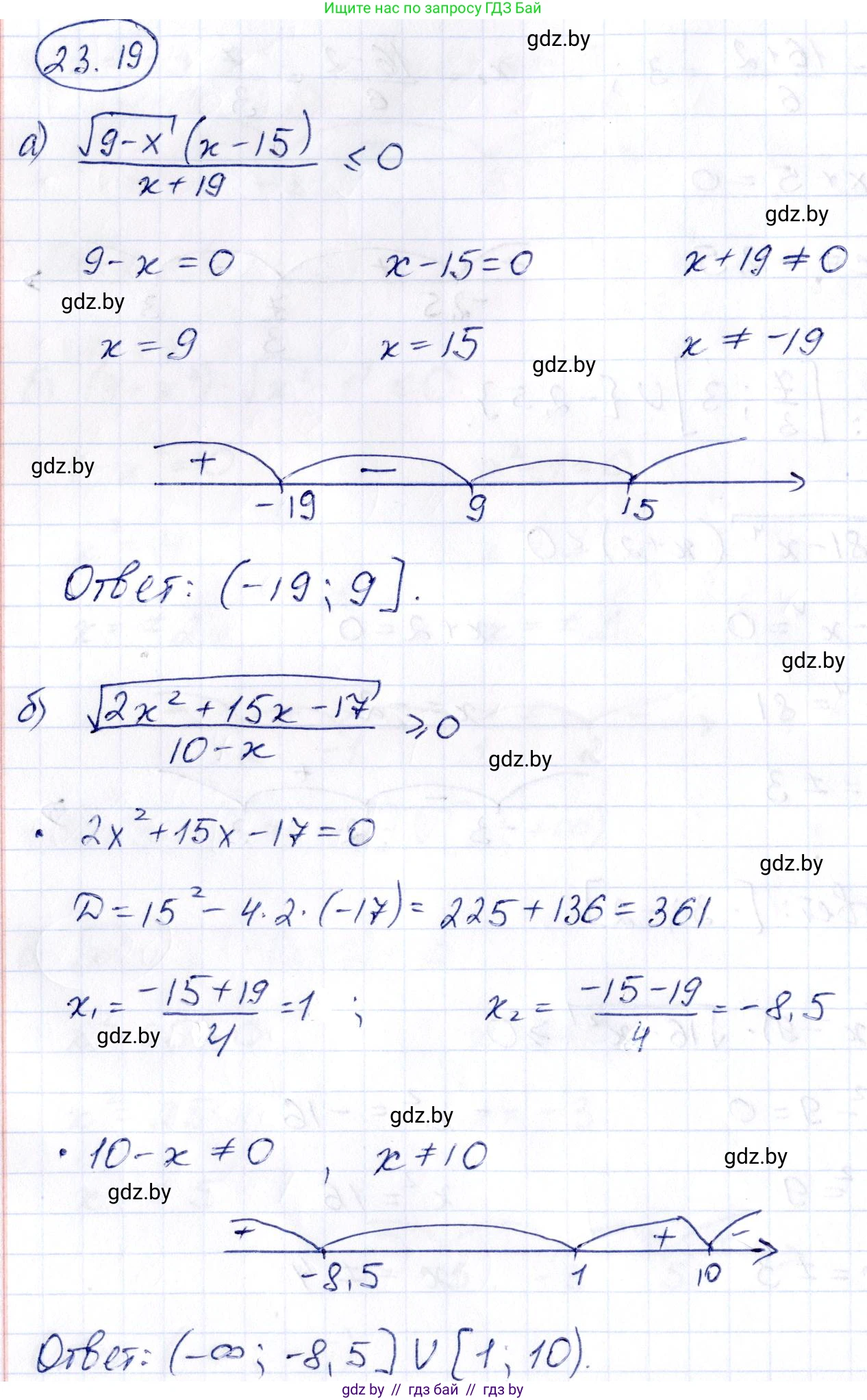
23.19. Решите неравенство:

a) $\frac{\sqrt{9 - x(x - 15)}}{x + 19} \le 0;$

б) $\frac{\sqrt{2x^2 + 15x - 17}}{10 - x} \ge 0;$

В) $\frac{6 - 2x}{\sqrt{x^2 - 7x + 12}} \ge 0;$

Г) $\frac{\sqrt{64 - x^6}}{x - 1} \ge 0;$

Д) $\frac{(x + 2) \cdot \sqrt{6 - x}}{x^2 + 8x + 16} \le 0;$

е) $\frac{\sqrt{8 - 2x - x^2}}{x + 10} \le \frac{\sqrt{8 - 2x - x^2}}{2x + 9}.$

Решение. №23.19 (с. 119)
Алгебра, 10 класс Сборник задач, авторы: Арефьева Ирина Глебовна, Пирютко Ольга Николаевна, издательство Народная асвета, Минск, 2020, белого цвета, страница 119, номер 23.19, Решение Алгебра, 10 класс Сборник задач, авторы: Арефьева Ирина Глебовна, Пирютко Ольга Николаевна, издательство Народная асвета, Минск, 2020, белого цвета, страница 119, номер 23.19, Решение (продолжение 2)
Решение 2. №23.19 (с. 119)

а) $\frac{\sqrt{9-x(x-15)}}{x+19} \le 0$

1. Найдем область допустимых значений (ОДЗ). Выражение под корнем должно быть неотрицательным, а знаменатель не должен быть равен нулю.

$\begin{cases} 9-x(x-15) \ge 0 \\ x+19 \ne 0 \end{cases}$

Решим первое неравенство:

$9-x^2+15x \ge 0$

$-x^2+15x+9 \ge 0$

$x^2-15x-9 \le 0$

Найдем корни квадратного трехчлена $x^2-15x-9=0$.

Дискриминант $D = (-15)^2 - 4(1)(-9) = 225+36 = 261$.

Корни: $x_{1,2} = \frac{15 \pm \sqrt{261}}{2} = \frac{15 \pm 3\sqrt{29}}{2}$.

Так как ветви параболы $y=x^2-15x-9$ направлены вверх, неравенство $x^2-15x-9 \le 0$ выполняется между корнями.

ОДЗ для корня: $x \in [\frac{15 - 3\sqrt{29}}{2}, \frac{15 + 3\sqrt{29}}{2}] $.

Приближенные значения корней: $\sqrt{29} \approx 5.385$, поэтому $x_1 \approx \frac{15 - 3 \cdot 5.385}{2} \approx -0.58$ и $x_2 \approx \frac{15 + 3 \cdot 5.385}{2} \approx 15.58$.

Таким образом, ОДЗ: $x \in [\frac{15 - 3\sqrt{29}}{2}, \frac{15 + 3\sqrt{29}}{2}]$. Условие $x \ne -19$ выполняется, так как $-19$ не входит в этот промежуток.

2. Решим исходное неравенство. Квадратный корень в числителе всегда неотрицателен ($\ge 0$).

Неравенство $\frac{\sqrt{...}}{x+19} \le 0$ может выполняться в двух случаях:

Случай 1: Числитель равен нулю.

$\sqrt{9-x^2+15x} = 0 \implies x = \frac{15 \pm 3\sqrt{29}}{2}$. Эти значения входят в ОДЗ и являются решениями.

Случай 2: Числитель строго больше нуля, а знаменатель строго меньше нуля.

$\sqrt{9-x^2+15x} > 0 \implies x \in (\frac{15 - 3\sqrt{29}}{2}, \frac{15 + 3\sqrt{29}}{2})$

$x+19 < 0 \implies x < -19$.

Пересечение этих двух условий: $(\frac{15 - 3\sqrt{29}}{2}, \frac{15 + 3\sqrt{29}}{2}) \cap (-\infty, -19)$ является пустым множеством, так как $\frac{15 - 3\sqrt{29}}{2} \approx -0.58 > -19$.

3. Объединяя результаты, получаем, что решениями являются только те значения $x$, при которых числитель равен нулю.

Ответ: $x \in \{\frac{15 - 3\sqrt{29}}{2}, \frac{15 + 3\sqrt{29}}{2}\}$.

б) $\frac{\sqrt{2x^2 + 15x - 17}}{10-x} \ge 0$

1. Найдем ОДЗ:

$\begin{cases} 2x^2+15x-17 \ge 0 \\ 10-x \ne 0 \end{cases}$

Решим $2x^2+15x-17 \ge 0$. Корни уравнения $2x^2+15x-17=0$: так как $2+15-17=0$, то $x_1=1$. Второй корень $x_2 = c/a = -17/2$.

Ветви параболы направлены вверх, поэтому $2x^2+15x-17 \ge 0$ при $x \in (-\infty, -17/2] \cup [1, \infty)$.

ОДЗ: $x \in (-\infty, -17/2] \cup [1, \infty)$ и $x \ne 10$.

2. Решим исходное неравенство. Числитель $\sqrt{2x^2+15x-17}$ всегда $\ge 0$.

Случай 1: Числитель равен нулю.

$\sqrt{2x^2+15x-17} = 0 \implies x=1$ или $x=-17/2$. Оба значения удовлетворяют ОДЗ и являются решениями.

Случай 2: Числитель строго больше нуля, знаменатель строго больше нуля.

$\sqrt{2x^2+15x-17} > 0 \implies x \in (-\infty, -17/2) \cup (1, \infty)$.

$10-x>0 \implies x < 10$.

Найдем пересечение: $((-\infty, -17/2) \cup (1, \infty)) \cap (-\infty, 10)$.

Это дает нам $x \in (-\infty, -17/2) \cup (1, 10)$.

3. Объединим решения из обоих случаев: $\{1, -17/2\} \cup (-\infty, -17/2) \cup (1, 10)$.

Получаем $(-\infty, -17/2] \cup [1, 10)$.

Преобразуем неправильную дробь $-17/2$ в смешанное число: $-17/2 = -8\frac{1}{2}$.

Ответ: $x \in (-\infty, -8\frac{1}{2}] \cup [1, 10)$.

в) $\frac{6-2x}{\sqrt{x^2-7x+12}} \ge 0$

1. Найдем ОДЗ. Выражение под корнем в знаменателе должно быть строго положительным.

$x^2-7x+12 > 0$.

Корни уравнения $x^2-7x+12=0$ по теореме Виета: $x_1=3, x_2=4$.

Ветви параболы направлены вверх, поэтому $x^2-7x+12 > 0$ при $x \in (-\infty, 3) \cup (4, \infty)$.

2. На ОДЗ знаменатель $\sqrt{x^2-7x+12}$ всегда положителен. Значит, знак дроби совпадает со знаком числителя.

$6-2x \ge 0$

$6 \ge 2x$

$3 \ge x$ или $x \le 3$.

3. Найдем пересечение полученного решения $x \le 3$ с ОДЗ $x \in (-\infty, 3) \cup (4, \infty)$.

Пересечение $(-\infty, 3]$ и $(-\infty, 3) \cup (4, \infty)$ есть интервал $(-\infty, 3)$. Точка $x=3$ не включается, так как она не входит в ОДЗ.

Ответ: $x \in (-\infty, 3)$.

г) $\frac{\sqrt{64-x^6}}{x-1} \ge 0$

1. Найдем ОДЗ:

$\begin{cases} 64-x^6 \ge 0 \\ x-1 \ne 0 \end{cases} \implies \begin{cases} x^6 \le 64 \\ x \ne 1 \end{cases} \implies \begin{cases} |x| \le 2 \\ x \ne 1 \end{cases} \implies \begin{cases} -2 \le x \le 2 \\ x \ne 1 \end{cases}$

ОДЗ: $x \in [-2, 1) \cup (1, 2]$.

2. Решим неравенство.

Случай 1: Числитель равен нулю.

$\sqrt{64-x^6}=0 \implies x^6=64 \implies x=2$ или $x=-2$. Оба значения входят в ОДЗ и являются решениями.

Случай 2: Числитель и знаменатель строго положительны.

$\sqrt{64-x^6} > 0 \implies x \in (-2, 2)$.

$x-1 > 0 \implies x > 1$.

Пересечение этих условий: $(-2, 2) \cap (1, \infty) = (1, 2)$.

3. Объединим решения: $\{-2, 2\} \cup (1, 2) = \{-2\} \cup (1, 2]$.

Ответ: $x \in \{-2\} \cup (1, 2]$.

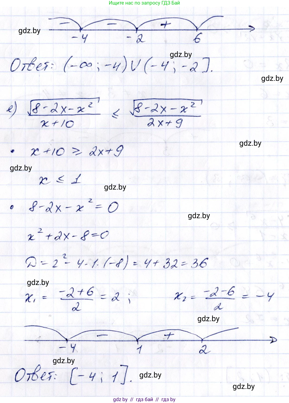
д) $\frac{(x+2)\sqrt{6-x}}{x^2+8x+16} \le 0$

1. Найдем ОДЗ:

$\begin{cases} 6-x \ge 0 \\ x^2+8x+16 \ne 0 \end{cases} \implies \begin{cases} x \le 6 \\ (x+4)^2 \ne 0 \end{cases} \implies \begin{cases} x \le 6 \\ x \ne -4 \end{cases}$

ОДЗ: $x \in (-\infty, -4) \cup (-4, 6]$.

2. Знаменатель $x^2+8x+16=(x+4)^2$ на ОДЗ всегда строго положителен. Поэтому неравенство равносильно следующему:

$(x+2)\sqrt{6-x} \le 0$.

Поскольку $\sqrt{6-x} \ge 0$ на ОДЗ, рассмотрим два случая:

Случай 1: $\sqrt{6-x}=0 \implies x=6$. Это значение удовлетворяет неравенству $(8 \cdot 0 \le 0)$ и входит в ОДЗ. Значит, $x=6$ - решение.

Случай 2: $\sqrt{6-x} > 0$ (то есть $x<6$). Тогда для выполнения неравенства требуется $x+2 \le 0 \implies x \le -2$.

Объединяя условия $x<6$ и $x \le -2$, получаем $x \le -2$.

3. Итак, общее решение неравенства $(x+2)\sqrt{6-x} \le 0$ есть $x \in (-\infty, -2] \cup \{6\}$.

4. Пересечем это решение с ОДЗ: $(-\infty, -2] \cup \{6\}) \cap ((-\infty, -4) \cup (-4, 6])$.

Получаем $(-\infty, -4) \cup (-4, -2] \cup \{6\}$.

Ответ: $x \in (-\infty, -4) \cup (-4, -2] \cup \{6\}$.

е) $\frac{\sqrt{8-2x-x^2}}{x+10} \le \frac{\sqrt{8-2x-x^2}}{2x+9}$

1. Перенесем все в левую часть и вынесем общий множитель за скобки:

$\frac{\sqrt{8-2x-x^2}}{x+10} - \frac{\sqrt{8-2x-x^2}}{2x+9} \le 0$

$\sqrt{8-2x-x^2} \left( \frac{1}{x+10} - \frac{1}{2x+9} \right) \le 0$

$\sqrt{8-2x-x^2} \left( \frac{2x+9 - (x+10)}{(x+10)(2x+9)} \right) \le 0$

$\sqrt{8-2x-x^2} \cdot \frac{x-1}{(x+10)(2x+9)} \le 0$

2. Найдем ОДЗ:

$\begin{cases} 8-2x-x^2 \ge 0 \\ x+10 \ne 0 \\ 2x+9 \ne 0 \end{cases} \implies \begin{cases} x^2+2x-8 \le 0 \\ x \ne -10 \\ x \ne -4.5 \end{cases}$

Решим $x^2+2x-8 \le 0$. Корни уравнения $x^2+2x-8=0$ это $x_1=-4, x_2=2$. Ветви параболы вверх, значит решение $x \in [-4, 2]$.

Условия $x \ne -10$ и $x \ne -4.5$ выполняются для этого отрезка. ОДЗ: $x \in [-4, 2]$.

3. Решим неравенство на ОДЗ.

Случай 1: $\sqrt{8-2x-x^2} = 0 \implies x=-4$ или $x=2$. В этих точках неравенство $0 \le 0$ выполняется. Это решения.

Случай 2: $\sqrt{8-2x-x^2} > 0 \implies x \in (-4, 2)$. В этом случае знак всего выражения определяется знаком дроби:

$\frac{x-1}{(x+10)(2x+9)} \le 0$

На интервале $(-4, 2)$ множители в знаменателе ведут себя так:

$x+10$: $x > -4 \implies x+10 > 6 > 0$.

$2x+9$: $x > -4 \implies 2x > -8 \implies 2x+9 > 1 > 0$.

Знаменатель $(x+10)(2x+9)$ положителен на $(-4, 2)$. Неравенство упрощается до:

$x-1 \le 0 \implies x \le 1$.

Найдем пересечение $x \le 1$ и $x \in (-4, 2)$: получаем $x \in (-4, 1]$.

4. Объединим решения из обоих случаев: $\{-4, 2\} \cup (-4, 1] = [-4, 1] \cup \{2\}$.

Ответ: $x \in [-4, 1] \cup \{2\}$.

Помогло решение? Оставьте отзыв в комментариях ниже.

Присоединяйтесь к Телеграм-группе @gdz_by_belarus

Присоединиться

Мы подготовили для вас ответ c подробным объяснением домашего задания по алгебре за 10 класс, для упражнения номер 23.19 расположенного на странице 119 к сборнику задач 2020 года издания для учащихся школ и гимназий.

Теперь на нашем сайте ГДЗ.ТОП вы всегда легко и бесплатно найдёте условие с правильным ответом на вопрос «Как решить ДЗ» и «Как сделать» задание по алгебре к упражнению №23.19 (с. 119), авторов: Арефьева (Ирина Глебовна), Пирютко (Ольга Николаевна), базовый и повышенный уровень обучения учебного пособия издательства Народная асвета.