Номер 24.2, страница 120 - гдз по алгебре 10 класс сборник задач Арефьева, Пирютко

Алгебра, 10 класс Сборник задач, авторы: Арефьева Ирина Глебовна, Пирютко Ольга Николаевна, издательство Народная асвета, Минск, 2020, белого цвета

Авторы: Арефьева И. Г., Пирютко О. Н.

Тип: Сборник задач

Издательство: Народная асвета

Год издания: 2020 - 2025

Уровень обучения: базовый и повышенный

Цвет обложки: белый, голубой с графиком

Допущено Министерством образования Республики Беларусь

Популярные ГДЗ в 10 классе

Глава 5. Производная. Параграф 24. Определение производной функции - номер 24.2, страница 120.

№24.2 (с. 120)
Условие. №24.2 (с. 120)
скриншот условия
Алгебра, 10 класс Сборник задач, авторы: Арефьева Ирина Глебовна, Пирютко Ольга Николаевна, издательство Народная асвета, Минск, 2020, белого цвета, страница 120, номер 24.2, Условие Алгебра, 10 класс Сборник задач, авторы: Арефьева Ирина Глебовна, Пирютко Ольга Николаевна, издательство Народная асвета, Минск, 2020, белого цвета, страница 120, номер 24.2, Условие (продолжение 2)

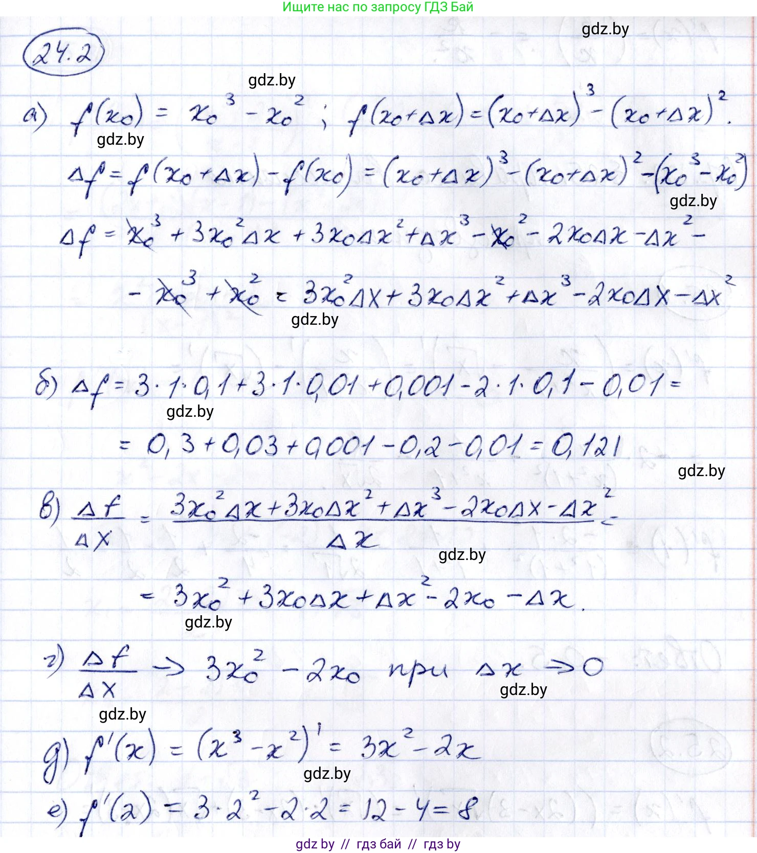
24.2. Для функции $f(x) = x^3 - x^2$ найдите:

а) приращение функции при переходе от $x_0$ к $x_0 + \Delta x$;

б) приращение функции, если $x_0 = 1$; $\Delta x = 0,1$;

в) отношение $\frac{\Delta f}{\Delta x}$;

г) к чему стремится отношение $\frac{\Delta f}{\Delta x}$, если $\Delta x$ стремится к нулю;

д) производную функции;

е) производную функции в точке $x = 2$.

Решение. №24.2 (с. 120)
Алгебра, 10 класс Сборник задач, авторы: Арефьева Ирина Глебовна, Пирютко Ольга Николаевна, издательство Народная асвета, Минск, 2020, белого цвета, страница 120, номер 24.2, Решение
Решение 2. №24.2 (с. 120)

а) приращение функции при переходе от $x_0$ к $x_0 + \Delta x$;
Приращение функции $\Delta f$ по определению равно разности значений функции в точках $x_0 + \Delta x$ и $x_0$:
$\Delta f = f(x_0 + \Delta x) - f(x_0)$
Для заданной функции $f(x) = x^3 - x^2$ имеем:
$f(x_0) = x_0^3 - x_0^2$
$f(x_0 + \Delta x) = (x_0 + \Delta x)^3 - (x_0 + \Delta x)^2$
Подставим эти выражения в формулу для приращения:
$\Delta f = [(x_0 + \Delta x)^3 - (x_0 + \Delta x)^2] - (x_0^3 - x_0^2)$
Раскроем скобки, используя формулы сокращенного умножения (куб суммы и квадрат суммы):
$\Delta f = (x_0^3 + 3x_0^2\Delta x + 3x_0(\Delta x)^2 + (\Delta x)^3) - (x_0^2 + 2x_0\Delta x + (\Delta x)^2) - x_0^3 + x_0^2$
Упростим выражение, сократив подобные члены:
$\Delta f = 3x_0^2\Delta x + 3x_0(\Delta x)^2 + (\Delta x)^3 - 2x_0\Delta x - (\Delta x)^2$
Сгруппируем слагаемые по степеням $\Delta x$:
$\Delta f = (3x_0^2 - 2x_0)\Delta x + (3x_0 - 1)(\Delta x)^2 + (\Delta x)^3$
Ответ: $\Delta f = (3x_0^2 - 2x_0)\Delta x + (3x_0 - 1)(\Delta x)^2 + (\Delta x)^3$.

б) приращение функции, если $x_0 = 1; \Delta x = 0,1$;
Для нахождения приращения подставим значения $x_0 = 1$ и $\Delta x = 0,1$ в формулу, полученную в пункте а):
$\Delta f = (3 \cdot 1^2 - 2 \cdot 1)(0,1) + (3 \cdot 1 - 1)(0,1)^2 + (0,1)^3$
$\Delta f = (3 - 2)(0,1) + (2)(0,01) + 0,001$
$\Delta f = 1 \cdot 0,1 + 0,02 + 0,001 = 0,121$
В качестве проверки можно вычислить напрямую:
$f(1) = 1^3 - 1^2 = 0$
$f(1,1) = (1,1)^3 - (1,1)^2 = 1,331 - 1,21 = 0,121$
$\Delta f = f(1,1) - f(1) = 0,121 - 0 = 0,121$
Ответ: $0,121$.

в) отношение $\frac{\Delta f}{\Delta x}$;
Возьмем выражение для $\Delta f$ из пункта а) и разделим его на $\Delta x$ (при условии, что $\Delta x \neq 0$):
$\frac{\Delta f}{\Delta x} = \frac{(3x_0^2 - 2x_0)\Delta x + (3x_0 - 1)(\Delta x)^2 + (\Delta x)^3}{\Delta x}$
Разделим каждый член числителя на $\Delta x$:
$\frac{\Delta f}{\Delta x} = 3x_0^2 - 2x_0 + (3x_0 - 1)\Delta x + (\Delta x)^2$
Ответ: $\frac{\Delta f}{\Delta x} = 3x_0^2 - 2x_0 + (3x_0 - 1)\Delta x + (\Delta x)^2$.

г) к чему стремится отношение $\frac{\Delta f}{\Delta x}$, если $\Delta x$ стремится к нулю;
Найдем предел отношения, полученного в пункте в), при $\Delta x \to 0$. Этот предел по определению является производной функции в точке $x_0$.
$\lim_{\Delta x \to 0} \frac{\Delta f}{\Delta x} = \lim_{\Delta x \to 0} (3x_0^2 - 2x_0 + (3x_0 - 1)\Delta x + (\Delta x)^2)$
Поскольку при $\Delta x \to 0$ все члены, содержащие $\Delta x$, также стремятся к нулю, получаем:
$\lim_{\Delta x \to 0} \frac{\Delta f}{\Delta x} = 3x_0^2 - 2x_0 + (3x_0 - 1) \cdot 0 + 0^2 = 3x_0^2 - 2x_0$
Ответ: Отношение стремится к $3x_0^2 - 2x_0$.

д) производную функции;
Производная функции $f'(x)$ — это предел отношения приращения функции к приращению аргумента при стремлении последнего к нулю. Этот предел был найден в пункте г) для точки $x_0$. Заменив $x_0$ на $x$, получим производную для произвольной точки:
$f'(x) = 3x^2 - 2x$
Этот же результат можно получить, используя правила дифференцирования (в частности, производную степенной функции $(x^n)' = nx^{n-1}$):
$f'(x) = (x^3 - x^2)' = (x^3)' - (x^2)' = 3x^{3-1} - 2x^{2-1} = 3x^2 - 2x$
Ответ: $f'(x) = 3x^2 - 2x$.

е) производную функции в точке $x = 2$.
Чтобы найти значение производной в точке $x = 2$, подставим это значение в выражение для производной $f'(x)$, полученное в пункте д):
$f'(x) = 3x^2 - 2x$
$f'(2) = 3 \cdot 2^2 - 2 \cdot 2 = 3 \cdot 4 - 4 = 12 - 4 = 8$
Ответ: $8$.

Помогло решение? Оставьте отзыв в комментариях ниже.

Присоединяйтесь к Телеграм-группе @gdz_by_belarus

Присоединиться

Мы подготовили для вас ответ c подробным объяснением домашего задания по алгебре за 10 класс, для упражнения номер 24.2 расположенного на странице 120 к сборнику задач 2020 года издания для учащихся школ и гимназий.

Теперь на нашем сайте ГДЗ.ТОП вы всегда легко и бесплатно найдёте условие с правильным ответом на вопрос «Как решить ДЗ» и «Как сделать» задание по алгебре к упражнению №24.2 (с. 120), авторов: Арефьева (Ирина Глебовна), Пирютко (Ольга Николаевна), базовый и повышенный уровень обучения учебного пособия издательства Народная асвета.