Номер 25.3, страница 122 - гдз по алгебре 10 класс сборник задач Арефьева, Пирютко

Алгебра, 10 класс Сборник задач, авторы: Арефьева Ирина Глебовна, Пирютко Ольга Николаевна, издательство Народная асвета, Минск, 2020, белого цвета

Авторы: Арефьева И. Г., Пирютко О. Н.

Тип: Сборник задач

Издательство: Народная асвета

Год издания: 2020 - 2025

Уровень обучения: базовый и повышенный

Цвет обложки: белый, голубой с графиком

Допущено Министерством образования Республики Беларусь

Популярные ГДЗ в 10 классе

Глава 5. Производная. Параграф 25. Правила вычисления производных - номер 25.3, страница 122.

№25.3 (с. 122)
Условие. №25.3 (с. 122)
скриншот условия
Алгебра, 10 класс Сборник задач, авторы: Арефьева Ирина Глебовна, Пирютко Ольга Николаевна, издательство Народная асвета, Минск, 2020, белого цвета, страница 122, номер 25.3, Условие

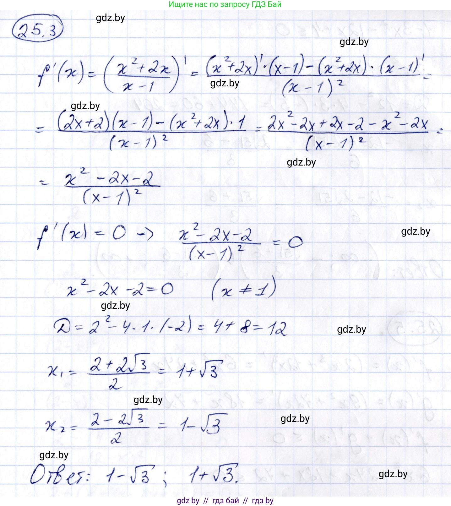
25.3. Решите уравнение $f'(x) = 0$, если $f(x) = \frac{x^2+2x}{x-1}$.

Решение. №25.3 (с. 122)
Алгебра, 10 класс Сборник задач, авторы: Арефьева Ирина Глебовна, Пирютко Ольга Николаевна, издательство Народная асвета, Минск, 2020, белого цвета, страница 122, номер 25.3, Решение
Решение 2. №25.3 (с. 122)

Для решения уравнения $f'(x) = 0$, необходимо сначала найти производную функции $f(x) = \frac{x^2+2x}{x-1}$.

Функция $f(x)$ представляет собой частное двух функций, поэтому для нахождения ее производной воспользуемся правилом дифференцирования частного: $(\frac{u}{v})' = \frac{u'v - uv'}{v^2}$.

Пусть $u(x) = x^2+2x$ и $v(x) = x-1$. Найдем их производные:

$u'(x) = (x^2+2x)' = 2x+2$

$v'(x) = (x-1)' = 1$

Теперь подставим эти выражения в формулу производной частного:

$f'(x) = \frac{(2x+2)(x-1) - (x^2+2x) \cdot 1}{(x-1)^2}$

Упростим выражение в числителе, раскрыв скобки и приведя подобные слагаемые:

$f'(x) = \frac{2x^2 - 2x + 2x - 2 - x^2 - 2x}{(x-1)^2} = \frac{x^2 - 2x - 2}{(x-1)^2}$

Теперь решим уравнение $f'(x) = 0$:

$\frac{x^2 - 2x - 2}{(x-1)^2} = 0$

Дробь равна нулю тогда и только тогда, когда ее числитель равен нулю, а знаменатель не равен нулю. Это приводит к системе:

$\begin{cases} x^2 - 2x - 2 = 0 \\ (x-1)^2 \neq 0 \end{cases}$

Из второго условия системы следует, что $x \neq 1$.

Решим квадратное уравнение $x^2 - 2x - 2 = 0$ с помощью дискриминанта:

$D = b^2 - 4ac = (-2)^2 - 4 \cdot 1 \cdot (-2) = 4 + 8 = 12$

Так как $D > 0$, уравнение имеет два действительных корня.

$\sqrt{D} = \sqrt{12} = \sqrt{4 \cdot 3} = 2\sqrt{3}$

Найдем корни уравнения по формуле $x = \frac{-b \pm \sqrt{D}}{2a}$:

$x_1 = \frac{2 + 2\sqrt{3}}{2} = 1 + \sqrt{3}$

$x_2 = \frac{2 - 2\sqrt{3}}{2} = 1 - \sqrt{3}$

Оба найденных корня не равны 1, следовательно, они удовлетворяют условию $x \neq 1$ и являются решениями исходного уравнения.

25.3. Ответ: $1 + \sqrt{3}; 1 - \sqrt{3}$.

Помогло решение? Оставьте отзыв в комментариях ниже.

Присоединяйтесь к Телеграм-группе @gdz_by_belarus

Присоединиться

Мы подготовили для вас ответ c подробным объяснением домашего задания по алгебре за 10 класс, для упражнения номер 25.3 расположенного на странице 122 к сборнику задач 2020 года издания для учащихся школ и гимназий.

Теперь на нашем сайте ГДЗ.ТОП вы всегда легко и бесплатно найдёте условие с правильным ответом на вопрос «Как решить ДЗ» и «Как сделать» задание по алгебре к упражнению №25.3 (с. 122), авторов: Арефьева (Ирина Глебовна), Пирютко (Ольга Николаевна), базовый и повышенный уровень обучения учебного пособия издательства Народная асвета.