Номер 25.5, страница 122 - гдз по алгебре 10 класс сборник задач Арефьева, Пирютко

Алгебра, 10 класс Сборник задач, авторы: Арефьева Ирина Глебовна, Пирютко Ольга Николаевна, издательство Народная асвета, Минск, 2020, белого цвета

Авторы: Арефьева И. Г., Пирютко О. Н.

Тип: Сборник задач

Издательство: Народная асвета

Год издания: 2020 - 2025

Уровень обучения: базовый и повышенный

Цвет обложки: белый, голубой с графиком

Допущено Министерством образования Республики Беларусь

Популярные ГДЗ в 10 классе

Глава 5. Производная. Параграф 25. Правила вычисления производных - номер 25.5, страница 122.

№25.5 (с. 122)
Условие. №25.5 (с. 122)
скриншот условия
Алгебра, 10 класс Сборник задач, авторы: Арефьева Ирина Глебовна, Пирютко Ольга Николаевна, издательство Народная асвета, Минск, 2020, белого цвета, страница 122, номер 25.5, Условие

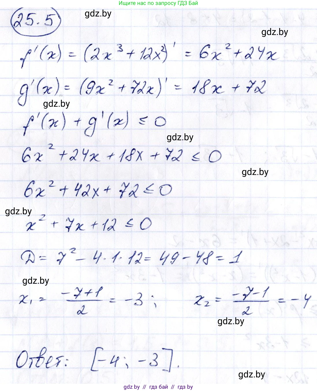
25.5. Найдите сумму целых решений неравенства $f'(x) + g'(x) \le 0$, если $f(x)=2x^3+12x^2$ и $g(x)=9x^2+72x$.

Решение. №25.5 (с. 122)
Алгебра, 10 класс Сборник задач, авторы: Арефьева Ирина Глебовна, Пирютко Ольга Николаевна, издательство Народная асвета, Минск, 2020, белого цвета, страница 122, номер 25.5, Решение
Решение 2. №25.5 (с. 122)

Для решения задачи сначала найдем производные функций $f(x)$ и $g(x)$.

1. Производная функции $f(x) = 2x^3 + 12x^2$ находится по правилам дифференцирования:

$f'(x) = (2x^3)' + (12x^2)' = 2 \cdot 3x^{3-1} + 12 \cdot 2x^{2-1} = 6x^2 + 24x$.

2. Аналогично находим производную функции $g(x) = 9x^2 + 72x$:

$g'(x) = (9x^2)' + (72x)' = 9 \cdot 2x^{2-1} + 72 \cdot 1x^{1-1} = 18x + 72$.

3. Теперь подставим найденные производные в исходное неравенство $f'(x) + g'(x) \le 0$:

$(6x^2 + 24x) + (18x + 72) \le 0$

Приведем подобные слагаемые:

$6x^2 + 42x + 72 \le 0$

4. Для решения полученного квадратного неравенства разделим все его члены на 6 (поскольку 6 > 0, знак неравенства не меняется):

$x^2 + 7x + 12 \le 0$

Найдем корни соответствующего квадратного уравнения $x^2 + 7x + 12 = 0$. По теореме Виета, сумма корней равна $-7$, а их произведение равно $12$. Отсюда корни:

$x_1 = -4$

$x_2 = -3$

Графиком функции $y = x^2 + 7x + 12$ является парабола с ветвями, направленными вверх. Значения функции не положительны ($y \le 0$) на отрезке между корнями.

Таким образом, решением неравенства является отрезок $x \in [-4; -3]$.

5. Нам нужно найти сумму целых решений. Целые числа, входящие в отрезок $[-4; -3]$, это $-4$ и $-3$.

Сумма этих решений:

$-4 + (-3) = -7$.

25.5. Ответ: -7

Помогло решение? Оставьте отзыв в комментариях ниже.

Присоединяйтесь к Телеграм-группе @gdz_by_belarus

Присоединиться

Мы подготовили для вас ответ c подробным объяснением домашего задания по алгебре за 10 класс, для упражнения номер 25.5 расположенного на странице 122 к сборнику задач 2020 года издания для учащихся школ и гимназий.

Теперь на нашем сайте ГДЗ.ТОП вы всегда легко и бесплатно найдёте условие с правильным ответом на вопрос «Как решить ДЗ» и «Как сделать» задание по алгебре к упражнению №25.5 (с. 122), авторов: Арефьева (Ирина Глебовна), Пирютко (Ольга Николаевна), базовый и повышенный уровень обучения учебного пособия издательства Народная асвета.