Номер 29.2, страница 141 - гдз по алгебре 10 класс сборник задач Арефьева, Пирютко

Алгебра, 10 класс Сборник задач, авторы: Арефьева Ирина Глебовна, Пирютко Ольга Николаевна, издательство Народная асвета, Минск, 2020, белого цвета

Авторы: Арефьева И. Г., Пирютко О. Н.

Тип: Сборник задач

Издательство: Народная асвета

Год издания: 2020 - 2025

Уровень обучения: базовый и повышенный

Цвет обложки: белый, голубой с графиком

Допущено Министерством образования Республики Беларусь

Популярные ГДЗ в 10 классе

Глава 5. Производная. Параграф 29. Наибольшее и наименьшее значения функции - номер 29.2, страница 141.

№29.2 (с. 141)
Условие. №29.2 (с. 141)
скриншот условия
Алгебра, 10 класс Сборник задач, авторы: Арефьева Ирина Глебовна, Пирютко Ольга Николаевна, издательство Народная асвета, Минск, 2020, белого цвета, страница 141, номер 29.2, Условие

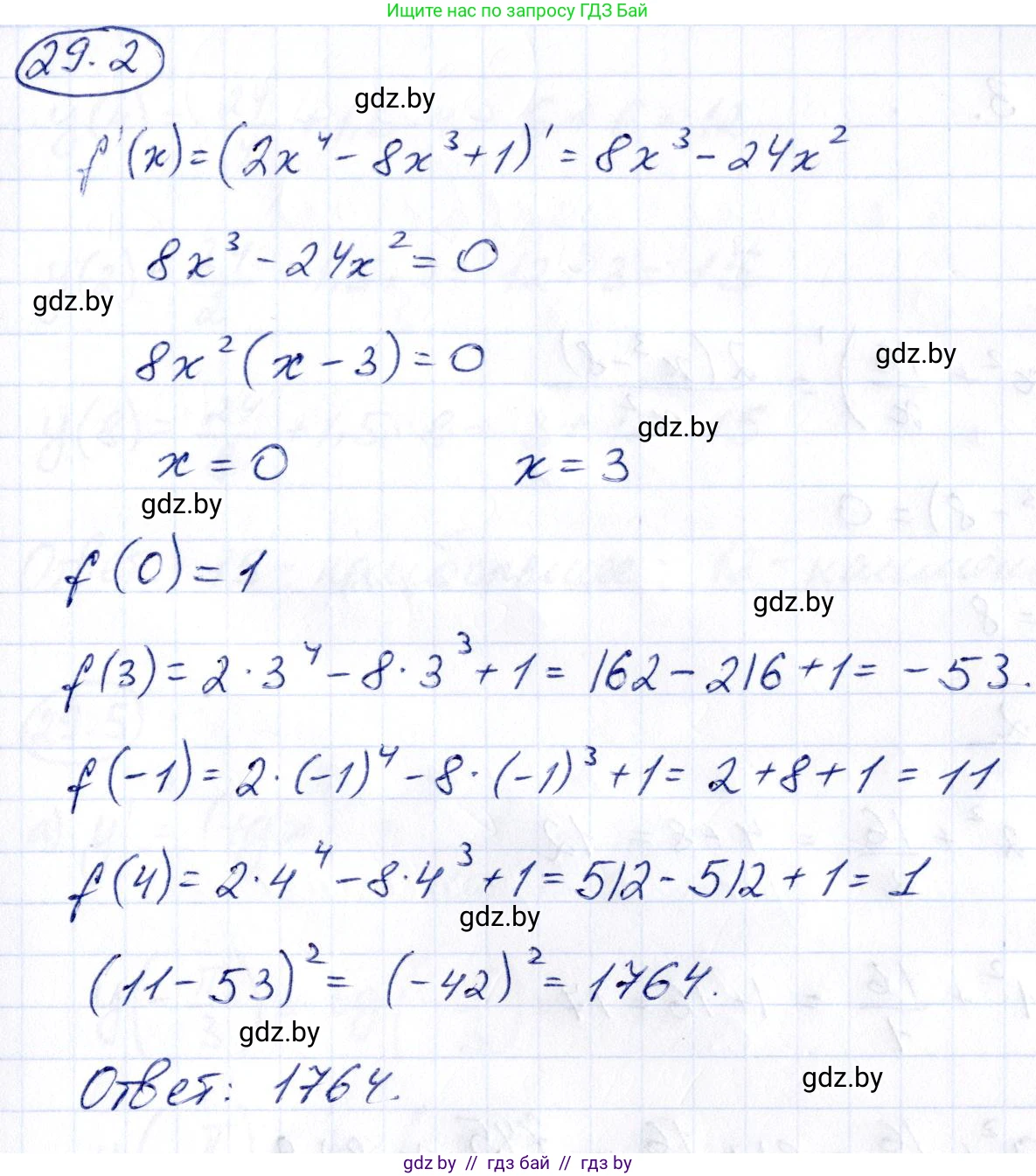
29.2. Найдите квадрат суммы наибольшего и наименьшего значений функции $f(x)=2x^4-8x^3+1$ на отрезке $[-1;4]$.

Решение. №29.2 (с. 141)
Алгебра, 10 класс Сборник задач, авторы: Арефьева Ирина Глебовна, Пирютко Ольга Николаевна, издательство Народная асвета, Минск, 2020, белого цвета, страница 141, номер 29.2, Решение
Решение 2. №29.2 (с. 141)

Для решения задачи необходимо найти наибольшее и наименьшее значения функции $f(x) = 2x^4 - 8x^3 + 1$ на отрезке $[-1; 4]$. Эти значения достигаются либо в критических точках функции, принадлежащих отрезку, либо на его концах.

1. Находим производную функции:

$f'(x) = (2x^4 - 8x^3 + 1)' = 8x^3 - 24x^2$.

2. Находим критические точки, решая уравнение $f'(x) = 0$:

$8x^3 - 24x^2 = 0$

$8x^2(x - 3) = 0$

Отсюда получаем критические точки $x_1 = 0$ и $x_2 = 3$. Обе точки принадлежат заданному отрезку $[-1; 4]$.

3. Вычисляем значения функции в критических точках и на концах отрезка:

$f(-1) = 2(-1)^4 - 8(-1)^3 + 1 = 2 \cdot 1 - 8 \cdot (-1) + 1 = 2 + 8 + 1 = 11$.

$f(0) = 2(0)^4 - 8(0)^3 + 1 = 0 - 0 + 1 = 1$.

$f(3) = 2(3)^4 - 8(3)^3 + 1 = 2 \cdot 81 - 8 \cdot 27 + 1 = 162 - 216 + 1 = -53$.

$f(4) = 2(4)^4 - 8(4)^3 + 1 = 2 \cdot 256 - 8 \cdot 64 + 1 = 512 - 512 + 1 = 1$.

4. Сравнивая полученные значения ($11, 1, -53, 1$), определяем наибольшее и наименьшее значения функции на отрезке:

Наибольшее значение $y_{наиб} = 11$.

Наименьшее значение $y_{наим} = -53$.

5. Находим сумму наибольшего и наименьшего значений:

$11 + (-53) = -42$.

6. Находим квадрат полученной суммы:

$(-42)^2 = 1764$.

Квадрат суммы наибольшего и наименьшего значений функции: Ответ: 1764.

Помогло решение? Оставьте отзыв в комментариях ниже.

Присоединяйтесь к Телеграм-группе @gdz_by_belarus

Присоединиться

Мы подготовили для вас ответ c подробным объяснением домашего задания по алгебре за 10 класс, для упражнения номер 29.2 расположенного на странице 141 к сборнику задач 2020 года издания для учащихся школ и гимназий.

Теперь на нашем сайте ГДЗ.ТОП вы всегда легко и бесплатно найдёте условие с правильным ответом на вопрос «Как решить ДЗ» и «Как сделать» задание по алгебре к упражнению №29.2 (с. 141), авторов: Арефьева (Ирина Глебовна), Пирютко (Ольга Николаевна), базовый и повышенный уровень обучения учебного пособия издательства Народная асвета.