Номер 29.1, страница 141 - гдз по алгебре 10 класс сборник задач Арефьева, Пирютко

Алгебра, 10 класс Сборник задач, авторы: Арефьева Ирина Глебовна, Пирютко Ольга Николаевна, издательство Народная асвета, Минск, 2020, белого цвета

Авторы: Арефьева И. Г., Пирютко О. Н.

Тип: Сборник задач

Издательство: Народная асвета

Год издания: 2020 - 2025

Уровень обучения: базовый и повышенный

Цвет обложки: белый, голубой с графиком

Допущено Министерством образования Республики Беларусь

Популярные ГДЗ в 10 классе

Глава 5. Производная. Параграф 29. Наибольшее и наименьшее значения функции - номер 29.1, страница 141.

№29.1 (с. 141)
Условие. №29.1 (с. 141)
скриншот условия
Алгебра, 10 класс Сборник задач, авторы: Арефьева Ирина Глебовна, Пирютко Ольга Николаевна, издательство Народная асвета, Минск, 2020, белого цвета, страница 141, номер 29.1, Условие

29.1. Найдите сумму наибольшего и наименьшего значений функции:

a) $f(x) = \frac{x}{4+x}+1$ на отрезке $[-3; 1];$

б) $f(x) = \frac{2}{x+1}+\frac{x}{2}$ на отрезке $[0; 2,5].$

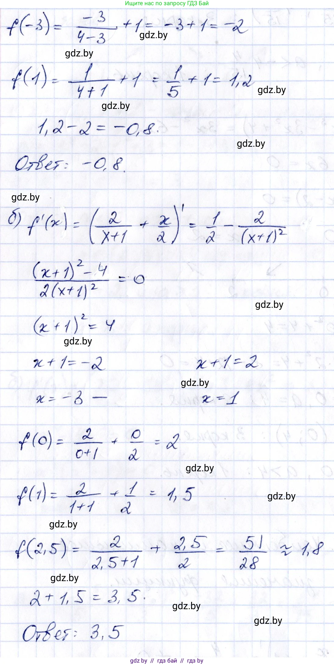
Решение. №29.1 (с. 141)
Алгебра, 10 класс Сборник задач, авторы: Арефьева Ирина Глебовна, Пирютко Ольга Николаевна, издательство Народная асвета, Минск, 2020, белого цвета, страница 141, номер 29.1, Решение Алгебра, 10 класс Сборник задач, авторы: Арефьева Ирина Глебовна, Пирютко Ольга Николаевна, издательство Народная асвета, Минск, 2020, белого цвета, страница 141, номер 29.1, Решение (продолжение 2)
Решение 2. №29.1 (с. 141)

а) Для нахождения наибольшего и наименьшего значений функции $f(x) = \frac{x}{4+x} + 1$ на отрезке $[-3; 1]$, найдем ее производную и критические точки. Область определения функции $x \neq -4$, заданный отрезок входит в область определения.

Сначала преобразуем функцию для удобства дифференцирования:

$f(x) = \frac{x}{4+x} + \frac{4+x}{4+x} = \frac{2x+4}{x+4}$.

Найдем производную функции, используя правило дифференцирования частного $(\frac{u}{v})' = \frac{u'v - uv'}{v^2}$:

$f'(x) = \frac{(2x+4)'(x+4) - (2x+4)(x+4)'}{(x+4)^2} = \frac{2(x+4) - (2x+4) \cdot 1}{(x+4)^2} = \frac{2x+8-2x-4}{(x+4)^2} = \frac{4}{(x+4)^2}$.

Производная $f'(x) = \frac{4}{(x+4)^2}$ всегда положительна, так как числитель $4 > 0$, а знаменатель $(x+4)^2 > 0$ для всех $x$ из области определения. Это означает, что на отрезке $[-3; 1]$ нет критических точек, и функция $f(x)$ является строго возрастающей.

Следовательно, наименьшее значение функция принимает на левом конце отрезка, а наибольшее — на правом.

Наименьшее значение: $f_{наим} = f(-3) = \frac{2(-3)+4}{-3+4} = \frac{-6+4}{1} = -2$.

Наибольшее значение: $f_{наиб} = f(1) = \frac{2(1)+4}{1+4} = \frac{6}{5}$.

Сумма наибольшего и наименьшего значений равна:

$S = f_{наиб} + f_{наим} = \frac{6}{5} + (-2) = \frac{6}{5} - \frac{10}{5} = -\frac{4}{5}$.

Ответ: $-\frac{4}{5}$.

б) Для нахождения наибольшего и наименьшего значений функции $f(x) = \frac{2}{x+1} + \frac{x}{2}$ на отрезке $[0; 2,5]$, найдем ее производную и критические точки. Область определения функции $x \neq -1$, заданный отрезок входит в область определения.

Найдем производную функции:

$f'(x) = (\frac{2}{x+1} + \frac{x}{2})' = (2(x+1)^{-1} + \frac{1}{2}x)' = -2(x+1)^{-2} + \frac{1}{2} = -\frac{2}{(x+1)^2} + \frac{1}{2}$.

Найдем критические точки, приравняв производную к нулю: $f'(x) = 0$.

$-\frac{2}{(x+1)^2} + \frac{1}{2} = 0 \implies \frac{1}{2} = \frac{2}{(x+1)^2} \implies (x+1)^2 = 4$.

Из этого уравнения получаем два решения: $x+1 = 2$ или $x+1 = -2$.

Критические точки: $x_1 = 1$ и $x_2 = -3$.

Заданному отрезку $[0; 2,5]$ принадлежит только одна критическая точка: $x = 1$.

Теперь вычислим значения функции в критической точке $x=1$ и на концах отрезка $x=0$ и $x=2,5$.

Значение на левом конце отрезка: $f(0) = \frac{2}{0+1} + \frac{0}{2} = 2$.

Значение в критической точке: $f(1) = \frac{2}{1+1} + \frac{1}{2} = 1 + \frac{1}{2} = \frac{3}{2}$.

Значение на правом конце отрезка ($2,5 = \frac{5}{2}$): $f(2,5) = \frac{2}{2,5+1} + \frac{2,5}{2} = \frac{2}{3,5} + 1,25 = \frac{2}{7/2} + \frac{5}{4} = \frac{4}{7} + \frac{5}{4} = \frac{16+35}{28} = \frac{51}{28}$.

Сравним полученные значения: $f(0)=2 = \frac{56}{28}$, $f(1)=\frac{3}{2} = \frac{42}{28}$, $f(2,5)=\frac{51}{28}$.

Отсюда, $f_{наим} = f(1) = \frac{3}{2}$ и $f_{наиб} = f(0) = 2$.

Сумма наибольшего и наименьшего значений равна:

$S = f_{наиб} + f_{наим} = 2 + \frac{3}{2} = \frac{4}{2} + \frac{3}{2} = \frac{7}{2}$.

Преобразуем неправильную дробь в смешанное число: $\frac{7}{2} = 3\frac{1}{2}$.

Ответ: 3$\frac{1}{2}$.

Помогло решение? Оставьте отзыв в комментариях ниже.

Присоединяйтесь к Телеграм-группе @gdz_by_belarus

Присоединиться

Мы подготовили для вас ответ c подробным объяснением домашего задания по алгебре за 10 класс, для упражнения номер 29.1 расположенного на странице 141 к сборнику задач 2020 года издания для учащихся школ и гимназий.

Теперь на нашем сайте ГДЗ.ТОП вы всегда легко и бесплатно найдёте условие с правильным ответом на вопрос «Как решить ДЗ» и «Как сделать» задание по алгебре к упражнению №29.1 (с. 141), авторов: Арефьева (Ирина Глебовна), Пирютко (Ольга Николаевна), базовый и повышенный уровень обучения учебного пособия издательства Народная асвета.